Universidad, Ciencia y Tecnología
versión impresa ISSN 1316-4821versión On-line ISSN 2542-3401
uct v.15 n.59 Puerto Ordaz jun. 2011
Influencia de las tensiones armónicas en el comportamiento térmico de transformadores de distribución sumergidos en aceite
(1)Vásquez Stanescu Carmen Luisa, (1)Naranjo Ervin, (1)González Chrisitan, (1)Osal Herrera William José
(1)Departamento de Ingeniería Eléctrica de la UNEXPO, Venezuela carmenluisavasquez@gmail.com
Resumen: Una causa de las fallas en los transformadores de distribución sumergidos en aceite son las armónicas. Éstas provocan la variación de su comportamiento térmico, al elevar la temperatura de su punto más caliente y superar su capacidad, reduciendo su vida útil. Sin embargo los modelos publicados para estimar este efecto sólo consideran el comportamiento de la variación de la temperatura ambiente, de la carga y de las corrientes armónicas. El propósito de esta investigación es determinar la influencia que tienen adicionalmente las tensiones armónicas en este comportamiento. En este sentido se modifica el modelo dinámico propuesto por Elmoudi y otros para que incluya la influencia de las tensiones armónicas entre las variables. Para validarlo fueron monitoreadas la temperatura ambiente, carga y presencia de armónicas en transformadores ubicados en conjuntos residenciales. El período de monitoreo fue de una semana con intervalos de cada 10 minutos. Los resultados muestran la variación de su comportamiento térmico, una diferencia de 8.69% entre las temperaturas del punto más caliente con y sin tensiones armónicas. Se concluye que la presencia de las tensiones armónicas no puede ser omitida para el comportamiento térmico de este tipo de transformador.
Palabras clave: Armónicas/ Tensiones Armónicas/ Transformadores de Distribución.
The harmonics influences in the thermal behavior of distribution transformer oil
Abstract: One of the faults cause in the oil submerged distribution transformers is the harmonics. These produce a variation in their thermal behavior by raising the temperature of its hottest point and exceed its capacity, reducing its useful life. The purpose of this research is to determine the influence of harmonics in the thermal behavior. However, the published models to estimate this effect only consider the behavior of the variation of the ambient temperature, the load and current harmonics. In this sense, the dynamic model proposed by Elmoudi and others is modified to include additionally, the influence of harmonic voltages between these variables. The ambient temperature, the load and presence of harmonic voltages in transformers located in residential were monitored to validate this new model. The monitoring period was one week at 10 minutes intervals. The results show the variation of their thermal behavior, a difference of 8.69% between the hottest temperatures point with and without harmonics. It is concluded that the presence of harmonic voltages can not be omitted for analysing the thermal behavior of this type of transformer.
I. INTRODUCCIÓN
Una de las causas de fallas en los transformadores de distribución sumergidos en aceite es el incremento de su temperatura interna, que acelera el envejecimiento de su aislamiento. Como referencia para determinar su envejecimiento se considera el incremento de su punto más caliente cuando se encuentra por encima de los 110ºC. Este incremento y su influencia se pueden observar en el comportamiento térmico del transformador, el cual refleja una relación entre la temperatura diaria en su punto más caliente Una de las causas de fallas en los transformadores de [1,2,3,4], que tradicionalmente ha sido modelada en función distribución sumergidos en aceite es el incremento de su de la variación de la temperatura ambiente [5,6] y de la carga.
Las armónicas en el sistema eléctrico de distribución se envejecimiento se considera el incremento de su punto más presentan por la conexión de cargas no lineales, las cuales se caliente cuando se encuentra por encima de los 110ºC. Este han incrementado sustancialmente con la incorporación de incremento y su influencia se pueden observar en el nuevos equipos electrónicos. Éstas son causantes de las deformaciones de las ondas de tensión y corriente de alimentación y del incremento de las pérdidas. Adicionalmente éstas ocasionan incrementos de la temperatura en los equipos de los sistemas eléctricos produciendo: operaciones erráticas de las protecciones, deterioro de los conductores y equipos eléctricos y el envejecimiento prematuro de los equipos de este sistema [7,8].
Las consecuencias de conectar cargas no lineales al transformador se detallan a continuación: se produce un incremento de su temperatura, del ruido y la vibración que da como resultado deformaciones en sus partes y producción de gases disueltos en el aceite, lo que reduce su rigidez dieléctrica. Esta situación provoca el envejecimiento prematuro de su aislamiento y, finalmente, de la vida útil del transformador, estimada en 20 años [9].
Para las empresas del sector eléctrico, la presencia de armónicas en los transformadores produce un incremento de las pérdidas técnicas, que se ven reflejadas en los costos operacionales del sistema [10, 11], siendo estimadas para la Unión Europea en cinco (5) TWh/año, que es el equivalente a la energía suministrada por ocho (8) centrales nucleares. Adicionalmente considerando que este equipo es el elemento más costoso y vital de estas empresas, las fallas que se presentan, a consecuencia de interrupciones provocadas, generan incrementos de los costos de mantenimiento y la desmejora en la calidad de la energía eléctrica, lo que se ve reflejado en el deterioro de la calidad de vida de los usuarios del servicio.
Tradicionalmente la capacidad de diseño del transformador, que es función de su comportamiento térmico, hay sido seleccionada considerando sólo la temperatura ambiente, las variaciones de carga y los tipos de materiales utilizados para su construcción [5,6]. Sin embargo, el creciente incremento de la presencia de cargas no líneas y, por ende, de las armónicas ha ocasionado que se incluyan en la modelación de su comportamiento la presencia de las armónicas de corrientes [12].
Elmoudi y otros [12] desarrollan un modelo para predecir la temperatura del punto más caliente del transformador, considerando un ciclo de carga y temperatura ambiente variable, lo que permite aproximar su comportamiento real en un período de tiempo. Estos autores analizan los efectos de las armónicas en su vida útil, utilizando las recomendaciones establecidas en las normas ANSI/IEEE C57.91-1995 [13] y ANSI/IEEE C57.110-1998 [14]. Demostraron que el modelo presenta errores menores al 3%, al monitorear perfiles de carga a varios transformadores de diferentes capacidades y realizar mediciones de las temperaturas que se presentan en el aceite superior y de su temperatura en el punto más caliente. Concluyen que los mismos pueden trabajar bajo condiciones de sobrecarga por cortos periodos de tiempo, considerando que se va a producir una reducción de su vida útil. Similares conclusiones la obtiene Aponte [15]. Sin embargo, ambos autores sólo relacionan los efectos de las corrientes armónicas, sin considerar el efecto de las de tensión.
En tal sentido se presenta la siguiente investigación, que tiene como propósito determinar la diferencia que introduce en el comportamiento térmico de los transformadores de distribución sumergidos en aceite las corrientes y tensiones armónicas. Se plantea un análisis del comportamiento térmico del transformador, considerando el perfil de armónicas de la carga, a partir de modificar el modelo propuesto por Elmoudi y otros [12] para que incluya, adicionalmente, los efectos de las tensiones armónicas. Se utilizan el monitoreo del perfil de carga y de armónicas y de la temperatura ambiente en transformadores instalados actualmente, para así verificar la influencia en la vida útil estimada en estos equipos. Este monitoreo se realiza con un equipo analizador de la calidad de la energía por un período de una (1) semana, en intervalos de 10 min. Los valores temperatura ambiente son obtenidos a través de los datos publicados por estaciones meteorológicas de acceso libre [16].
El trabajo se encuentra estructurado en tres (3) acápites dedicados al desarrollo del modelo modificado de Elmoudi y otros [12], al detalle de la metodología empleada y a el análisis de los resultados obtenidos con las estimaciones de la vida útil de los transformadores monitoreados que consideren y no el efecto de las corrientes y tensiones armónicas.
II. DESARROLLO
1.Comportamiento térmico del transformador
La determinación del comportamiento térmico de transformadores de distribución sumergidos en aceite depende de las características de la carga que este se encuentre alimentando y de su construcción. Para obtener el comportamiento de la carga alimentada por el mismo es necesario, como primer paso, realizar una caracterización de los perfiles diarios de las variables consideradas. Esto se logra mediante el uso de dispositivos electrónicos de almacenamiento masivo, conocidos como analizadores de la calidad de energía, que permiten registrar y almacenar los eventos, tanto de corriente como de tensión, en intervalos de 10 minutos durante una (1) semana, según lo recomendado en la NCSDE [17]. Estos equipos permiten obtener los valores eficaces de las corrientes y tensiones fundamentales, así como también, de las armónicas en el punto de muestreo. La generación de los perfiles diarios de las variables consideradas implica representar los eventos de una muestra de característica aleatoria, que en el caso de la investigación son obtenidos por medio del analizador de la calidad de energía, por medio de evaluaciones probabilísticas que permitan inferir un valor que represente el comportamiento del total de eventos en el lapso deseado para la representación del perfil diario.
Esta caracterización es aplicada a cada una de las componentes fundamentales y armónicas, tanto de corriente como de tensión de la carga, permitiendo obtener un valor característico por cada una de las horas para la construcción del perfil de la carga.
Por otra parte, la definición de los parámetros eléctricos del transformador evaluado debe ser considerada al momento de definir el modelo dinámico utilizado para la representación de su comportamiento térmico. Entre los parámetros considerados se encuentran las pérdidas en el núcleo (P NL,N) y las del devanado (PLL,N). Por lo general estas últimas no son desglosadas en los reportes de prueba realizados a los transformadores, por lo que se deben utilizar suposiciones conservadoras que permiten determinarlas mediante el uso de recomendaciones establecidas en la ANSI/IEEE C57.1101998 [14], entre otras. Estas pérdidas son conocidas como las debidas a las corrientes de Foucault (PEC,N) y las que se presentan en componentes metálicos (POP,N).
La caracterización de los perfiles de temperatura se hace uso de datos publicados por estaciones meteorológicas de acceso libre [16] que permiten realizar estimaciones del comportamiento de la temperatura diaria para el mes del año que se considere más crítico para la realización de la evaluación.
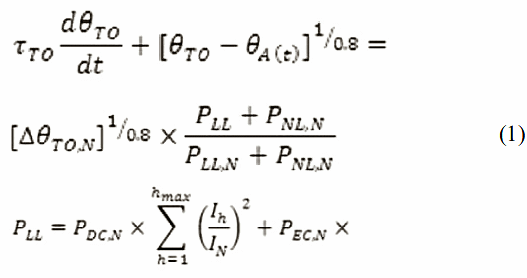
La determinación del comportamiento térmico del transformador implica utilizar modelos que permitan estimar la temperatura del punto más caliente a la que el transformador se ve sometido, para saber si se ve envejecido prematuramente. La ANSI/IEEE C57.110-1998 [14] propone un modelo que permite obtener esta temperatura para una condición puntual. Cuando se desea evaluar el comportamiento térmico continuo de la temperatura es necesario utilizar modelos dinámicos que permitan considerar que sucede cuando se presentan cambios en las variables que afectan a la temperatura. Es por esto que luego de definido los perfiles de corriente, tensión y temperatura, así como también los parámetros eléctricos del transformador, se evalúa el modelo dinámico propuesto por Elmoudi y otros [12]. Este modelo permite determinar la temperatura total que presenta el aceite en su parte superior (qto )cuando existen variaciones de la carga y de la temperatura ambiente, mediante la solución a una ecuación diferencial que controla el comportamiento de la temperatura. Este modelo se muestra en la ecuación (1). Adicionalmente, la ecuación (2) representa la dependencia de las corrientes armónicas y de la fundamental para la determinación de las pérdidas que se presentan en el devanado del transformador.
Donde:

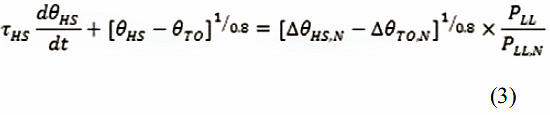
La solucion a la ecuacion diferencial (1) permite evaluar el comportamiento termico del punto mas caliente del transformador, a traves de obtener su temperatura maxima (
qHS). La ecuación (3) muestra la ecuación diferencial propuesta por Elmoudi y otros [12] para determinar esta temperatura.Los valores de t en las ecuaciones (1) y (3) se expresan en segundos y corresponden a las constantes de tiempo asociadas a las temperaturas del transformador, siendo las mismas dependientes de sus características. Su solución puede compararse con la temperatura máxima de soporte del transformador y decidir si el mismo trabaja en condiciones inadecuadas.
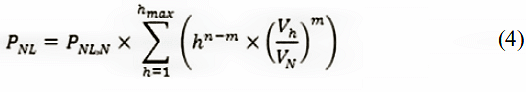
El principal problema del modelo propuesto por Elmoudi y otros [12] es que no consideran el impacto que presenta el contenido armónico en las tensiones sobre la temperatura del punto más caliente del transformador. Tal como se observa en la ecuación (1), las pérdidas en el núcleo afectan a la temperatura de forma directa y la final del transformador. Este modelo considera a las pérdidas en el núcleo constante, invariante ante los cambios de las tensiones a lo largo del día, generando que el efecto producto de las mismas sea despreciado. La modificación incorporada al modelo de Elmoudi y otros [12] consiste en incorporar la dependencia de las variaciones de tensión a las pérdidas en el núcleo y de las tensiones armónicas obtenidas en los perfiles durante el monitoreo de las variables consideradas. Estas variaciones se muestran en la ecuación (4).
Donde:
PNL Pérdidas en el núcleo o en vacío o No Load (W).
PNL,N Pérdidas nominales en el núcleo o en vacío (W)
Vh Tensión correspondiente al armónico H monitoreado (V).
VN Tensión nominal del transformador (V).
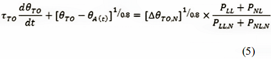
En este sentido la ecuación (1) se expresada como la ecuación (5), cuando se es incorporada las variaciones de las pérdidas en el núcleo del transformador, siendo está la base fundamental para la evaluación de su comportamiento térmico.
2. METODOLOGÍA
La estructura general de la metodologia es la siguiente:
1. Seleccion de los puntos de monitoreo.
a. Consideraciones sobre el equipo de medicion.
b. Criterios de seleccion de los puntos de monitoreo.
c. Monitoreo de las corrientes y tensiones armonicas.
2. Procesamiento de las mediciones.
a. Ordenamiento de eventos.
b. Evaluacion de la estadistica de la muestra.
c. Caracterizacion de la carga por perfiles de corriente y tension.
d. Obtencion del espectro de frecuencia.
3. Definicion de los parametros propios e incidentes sobre el comportamiento termico del banco de transformadores.
a. Definicion de las perdidas totales en el devanado y en el nucleo en condicion nominal.
b. Definicion de las perdidas totales nominales en el devanado, desglosadas segun la recomendacion ANSI/IEEE C57.110-1998.
c. Definicion de los coeficientes de perdidas en el nucleo bajo carga.
d. Definicion del perfil de la temperatura ambiente.
e. Incrementos de temperatura del aceite superior y del punto mas caliente.
f. Definicion de las constantes de tiempo.
i. Constante de tiempo de la temperatura superior del aceite.
ii. Constante de tiempo de la temperatura del punto mas caliente.
4. Evaluacion de los modelos para determinar la temperatura del punto mas caliente y el comportamiento térmico.
a. A partir del modelo de Elmoudi y otros [12].
b. A partir del modelo Elmoudi y otros [12] considerando adicionalmente las tensiones armónicas.
5. Comparacion de los modelos evaluados.
Para la medicion, registro y monitoreo de las variaciones de la carga y de las tensiones y corrientes armonicas fue utilizado el analizador de redes EAGLE 440R. El periodo de medicion fue establecido de cada 10 minutos durante una (1) semana, segun las recomendaciones establecidas en las NCSDE [17]. Una vez importados estos valores medidos a la hoja de calculo Excel fue determinada si los mismos cumple con la distribución normal, para obtener el valor más probable de ocurrencia de estas variables. El perfil de la temperatura ambiente se obtuvo del historial meteorológico publicado en [16].
Los datos de los materiales utilizados para la construcción de los transformadores son suministrados por la empresa CAIVET. Este material corresponde de acero al silicio al 3%, con láminas de 2 mm. Adicionalmente en [18] se establecen los coeficientes m y n para determinar la constante de tiempo, para este tipo de material, los cuales se muestran en la Tabla 1. Adicionalmente fue utilizado el PSCAD V4.0 para obtener la temperatura más caliente del transformador y su comportamiento térmico.
Tabla 1. Coeficientes m y n para núcleos de acero al silicio al 3% con 2mm [18].
| Coeficiente derivados de las características del acero al silicio al 3% de 2mm utilizado para la fabricación del núcleo | |
| m | 1,73 |
| n | 1,26 |
3. RESULTADOS
Se monitorearon tres (3) bancos de transformadores de distribucion sumergidos en aceite ubicados en conjuntos residenciales que permitieran el acceso para la instalacion de los equipos y su resguardo. Es conjuntos son los edificios Los Alamos, Luis Miguel y el Metropolitan, ubicados en la ciudad de Barquisimeto. Las Figura 1 y 2 muestran las variaciones de la cargas y de las tensiones y corrientes armonicas, por ejemplo, para el edificio Metropolitan. Adicionalmente las Tablas 2 y 3 muestran la caracterizacion de estas variables y a los parametros electricos que permiten definir el comportamiento termico para cada uno de los puntos evaluados en la investigacion respectivamente. Finalmente las Tablas 4 y 5 muestran las temperaturas calculadas para el punto mas caliente del transformador utilizando el modelo de Elmoudi y otros [12], sin considerar e incluyendo las tensiones armonicas, respectivamente. La Figura 3 muestra el comportamiento termico del transformador determinado por este modelo incluyendo la influencia de las tensiones y corrientes armonicas.
4. ANÁLISIS DE LOS RESULTADOS
Se analizaron un total de
290.304 registros procedentes del analizador de redes que permiten obtener los espectros de frecuencia para las corrientes que genera el maximo valor de TDDi. La Figura 4 muestra como ejemplo el espectro armonico obtenido para el edificio Metropolitan.Adicionalmente la Tabla 6 muestra el TDDi y los porcentajes de distorsión armónica según los límites establecidos en la norma COVENIN 110:7-001 [19]. Basado en estos resultados, para el caso del Edificio Metropolitan es necesario realizar un análisis de las técnicas de filtrado que permita reducir la contribución de los armónicos 3ero, 5to y 7mo, a fin de que los mismos se encuentren dentro de los límites permitidos por esta norma.
La Figura 5 muestra los porcentajes de cargas de los transformadores bajo estudio donde se puede apreciar que el banco de transformadores del Edificio Metropolitan es el que se encuentra más descargado, a pesar de verse sometido mayormente sometido a la presencia de las corrientes y tensiones armónicas. La Figura 6 muestra la diferencia en el comportamiento térmico del transformados considerando o no las presencia de las tensiones y corrientes armónicas en este edificio. Finalmente la Tabla 7 muestra las diferencias porcentuales de las temperaturas estimadas en el comportamiento térmico de los bancos de transformadores en estudio, demostrando que a pesar que el perteneciente al edificio Metropolitan es el menos cargado se ve sometido a mayores porcentajes de distorsión de la corrientes y tensión y que su diferencia de temperatura estimada para el punto más calientes supera el 8%.
CONCLUSIONES
Se propone un nuevo modelo para determinar el punto mas caliente de los transformadores sumergidos en aceite que incorpora el efecto generado por las tensiones armonicas de la carga basada en el modelo propuesto por Elmoudi y otros. Este modelo posee variaciones significativas al considerar o no las tensiones armonicas. Este modelo puede ser incorporado en programas de analisis de ecuaciones diferenciales como el PSCAD, utilizado en el estudio.
AGRADECIMIENTO
Los autores de la presente publicacion quieren agradecer, especialmente, a las instituciones que han patrocinado sus investigaciones UNEXPO, CYTED y EFESOS.
REFERENCIAS
1. Jauregui-Rivera L., Tylavsky D. Acceptability of Four Transformer Top-Oil Thermal ModelsPart I: Defining Metrics. IEEE Transactions on Power Delivery, Vol 23, No. 2, APRIL 2008. Pp 860-865 [ Links ]
2. Norma IEC 60076-2 (2004). Power Transformer, Part 2, Temperature Raise, Pp 61. [ Links ]
3. IEEE Std C57.12.90-1999. IEEE Standard Test Code for Liquid-Immersed Distribution, Power, and Regulating Transformers. PP 87. [ Links ]
4. Hashmi G., lehtonen M., Millar J. Transformers Loading Conditions For Future Thermally Unfavorabe Environments. Power Systems and High Voltage Engineering Helsinki University of Technology (TKK), Espoo, Finland. The 3rd International Conference on Electrical and Control Technologies ECT-2008, May 89, 2008. Kaunas, Lithuania. [ Links ]
5. Cadavid H. y otros. Evaluación del Comportamiento Térmico del Transformador de Distribución. VIII Jornadas Latinoamericanas y V Iberoamericanas en Alta Tensión y Aislamiento Eléctrico ALTAE 2007. Cuernavaca, México. Noviembre, 2007. PP 6. [ Links ]
6. Stahlhut J., Heydt G., Selover N. A Preliminary Assessment of the Impact of Ambient Temperature Rise on Distribution Transformer Loss of Life. IEEE Transactions On Power Delivery, Vol. 23, No. 4, October 2008, PP 2000-2007. [ Links ]
7. Baggini, A. Handbook of Power Quality. Wiley & Sons Ltd, 2008. [ Links ]
8. Alberto, A., Bravo N., Llorent M. La amenaza de los armónicos y sus soluciones. Thomsom Learning, 2004. [ Links ]
9. Acevedo R., Ortiz S. Statistical Analysis of Distribution Transformers Lifetime Data. The 3rd International Conference on Electrical and Control Technologies ECT2008, May 8-9, 2008. Kaunas, Lithuania. PP 6. [ Links ]
10. Frau, J. Eficiencia Energética En Redes Eléctricas, Desde La Perspectiva De Las Empresas Distribuidoras. Jornadas de la Cátedra ENDESA de Innovación Energética. Barcelona, 29 de mayo de 2007. PP 6. [ Links ]
11. Frau, J. Amorphous versus Conventional core technology in Distribution Transformers. III International Conference on Energy Innovation. Barcelona, 30th May 2008. PP 9. [ Links ]
12. Elmoudi A. Effect of Harmonics on Transformers Loss of life. Dissertation for the degree of Doctor of Science in Technology to be presented with due permission of the Department of Electrical and Communications Engineering for public examination and debate in Auditorium S4 at Helsinki University of Technology (Espoo, Finland) on the 20th of April, 2006. [ Links ]
13. IEEE Std. C57.91-1995. IEEE Guide for Loading Mineral-Oil-Immersed Transformers. 1995. [ Links ]
14. IEEE Std. C57.110-1998. IEEE Recommended Practice for Establishing Transformer Capability When Supplying Nonsinusoidal Load Currents. 1998. [ Links ]
15. Aponte y otros. Evaluación de pérdidas en transformadores de distribución bajo condiciones no sinusoidales. VIII Jornadas Latinoamericanas en Alta Tensión y Aislamiento Eléctrico ALTAE 2007. Cuernavaca, México. Noviembre, 2007. PP 6. [ Links ]
16. Freemeteo.com (Beta), 2007-2008. Previsiones Meteorológicas para todo el Planeta. NETVOLUTION. Disponible en: www.fremeteo.com. [ Links ]
17. NCSDE. Normas de Calidad del Servicio de Distribución de Electricidad, 2003. Reglamento de Servicio. Caracas, Venezuela. [ Links ]
18. Colonel, W. Magnetic Core Selection Transformers and Inductors. 7ma edición. Marcel Dekker Inc. New York, USA. 1978. [ Links ]
19. NORMAS COVENIN. 2004. Control de Armónicos en Sistemas Eléctricos. Norma Venezolana 110:7-001. Caracas, Venezuela. [ Links ]











uBio 


















