Universidad, Ciencia y Tecnología
versão impressa ISSN 1316-4821versão On-line ISSN 2542-3401
uct v.15 n.59 Puerto Ordaz jun. 2011
Comparación de cuatro métodos de extracción de parámetros para transitares MOSFET
Latorre Rey, Álvaro D(1) Lugo Muñoz, Denise C(1) Muci, Juan(1) Ortiz-Conde, Adelmo(1) García-Sánchez, Francisco J(1) Ho, Ching-Sung(2) Liou, Juin J(3)
(1) Dpto. de Electrónica, Universidad Simón Bolívar. Caracas, Venezuela.
(2) Hsinchu Science-Based Industrial Park, Hsinchu, Taiwan, ROC.
(3) University of Central Florida Zhejiang University, Hangzhou, China
Resumen:
En este trabajo se evalúan cuatro procedimientos de extracción de parámetros que logran separar los efectos de la resistencia en serie de drenador-surtidor, R, y del factor de degradación de movilidad, θ, a partir de mediciones ID(VG,VD) de transistores MOSFET operando en la región de triodo bajo inversión fuerte. Los métodos se basan en ajustar ecuaciones a mediciones bidimensionales ID(VG, VD) usando algoritmos en modos directo e indirecto. Además de R y θ, estos procedimientos extraen el parámetro de conducción, K, y el del efecto de carga de cuerpo, α. Todos los procedimientos son aplicados a datos experimentales y simulados para varios largos de canal. Los resultados son comparados en términos de eficiencia computacional y de su significado físico.Palabras clave: MOSFET/ Extracción de parámetros/ Resistencia drenador-surtidor/ Degradación de movilidad/ Ajuste Directo/ Ajuste Indirecto/ Optimización.
A comparisson of four parameter extraction methods for MOSFETs
Abstract:
Four MOSFET parameter extraction methods are evaluated and scrutinized. These methods, which are able to separate the effects of drain-to-source series resistance and mobility degradation factor, are based on direct and indirect fitting of the bidimensional measurements ID(VG,VD) of MOSFETs under strong inversion condition. The procedures also extract the conduction parameter, K, and the bulk charge effect parameters, α. The methods are tested with measured and simulated data for various channel lengths. The comparison is made in terms of computational efficiency and physical meaning.Key words: MOSFET/ Parameter extraction/ Source to drain resistance/ Mobility degradation/ Direct Fitting/ Indirect Fitting/ Optimization.
I. INTRODUCCIÓN
Actualmente la tecnología para la fabricación de transistores MOSFET ha permitido alcanzar dimensiones submicrométricas, y se necesita desarrollar modelos compactos y métodos de extracción de parámetros que permitan estudiar con precisión el comportamiento de los dispositivos.
Dos de los parámetros más importantes para el modelaje y simulación de circuitos MOS son la resistencia en serie parásita de drenadror-surtidor,
R, y el factor de degradación de movilidad, θ [1]. Estos parámetros se caracterizan por ser particularmente difíciles de extraer de forma independiente debido a que sus efectos sobre la característica de transferencia ID-VG son similares [2], [3].En años anteriores han sido propuestos algunos métodos que pretenden superar la dificultad para separar los valores de
R y θ, siendo el mas utilizado el procedimiento presentado por Terada y Muta [4] y por Chern et al. [5], a pesar que solo permite extraer el parametro R. Procedimientos mas recientes presentan importantes desventajas, como el incremento en los niveles de ruido en los parametros extraidos por utilizar derivadas [6], o la utilizacion de elementos circuitales externos para realizar las mediciones de corriente-voltaje que complican considerablemente la extraccion [7].También han sido desarrollados métodos basados en optimización directa [8], que consiste en minimizar el error cuadrático medio de la expresión de corriente ID, pero que generalmente son ineficientes en términos computacionales debido a la naturaleza implícita de dicha ecuación. Otro método más reciente [1] propone extraer estos parámetros a partir de la característica de transferencia ID-VG en la región de saturación utilizando varios dispositivos de diferentes largos metalúrgicos de canal. Otra alternativa propuesta [9] permite la extracción independiente de ambos parámetros basándose en utilizar condiciones de polarización bajo las cuales la movilidad de portadores en el canal se mantiene constante.
Para superar las dificultades planteadas, nuestro grupo ha trabajado recientemente [10], [11] en procedimientos de extracción de parámetros que se basan en realizar ajustes bidimensionales de ecuaciones matemáticas a mediciones bidimensionales ID(VG, VD). Algunos de estos procedimientos usan la resistencia medida Rm = VD / ID, en lugar de la corriente ID para hacer el ajuste.
En el presente artículo se comparan los cuatro métodos de extracción de parámetros recientemente propuestos en términos de la eficiencia computacional y de su significado físico.
II. DESARROLLO
1. Ecuaciones Básicas del MOSFET
La corriente de drenador ID para la region de triodo bajo inversion fuerte puede ser modelada como [12]:

Las ecuaciones que definen los voltajes de drenador y compuerta intrínsecos, se obtienen del circuito del MOSFET presentado en la Figura 1 que ilustra la conexión en serie de las resistencias de drenador y de surtidor, tal que:
![]()
![]()

VG es el voltaje de compuerta extrínseco, VD es el voltaje de drenador extrínseco, R es la Resistencia de drenador-surtidor, θ es el factor de degradación de movilidad, α es el factor de efecto de carga de cuerpo y K es el parámetro de conducción. Los demás parámetros mantienen su significado usual.
2. Procedimientos de extracción
A continuación se explican los cuatro procedimientos desarrollados por nuestro grupo [10], [11], objeto de estudio en el presente artículo. Se realiza la deducción de las ecuaciones matemáticas inherentes a cada procedimiento, seguida por la presentación de los pasos para realizar la extracción.
2.1. Ajuste Directo a ID
Usando las ecuaciones (1)-(3) obtenemos [10,11] una solución explícita de ID:

donde la resistencia de drenador a surtidor medida Rm resulta:

y los términos
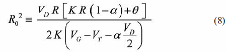
RON y R02 vienen dados por 

En lugar de aplicar un ajuste a la ecuación implicita (1), el procedimiento de Ajuste Directo a
ID consiste en realizar un ajuste bidimensional (VG, VD) directo a la ecuación explicita de ID definida en (5).El procedimiento de extracción se puede resumir en los siguientes pasos: a) extraer el valor del voltaje de umbral
VT con algún método reconocido [13], sobre mediciones de ID(VG, VD) de un solo dispositivo, en nuestro caso se utilizo el método de transición desarrollado anteriormente por el grupo [14], b) extraer los parámetros R, θ, α, y K realizando un ajuste directo del conjunto de ecuaciones (5), (6) y (7) a las mediciones ID(VG, VD) utilizando como datos VG, VT, ID y VD.2.2. Ajuste Indirecto a Rm
Usando (5)-(8), obtenemos la siguiente ecuación implícita de Rm [10]:
donde los coeficientes aVD y aVG vienen dados por

A partir de las ecuaciones (9)-(11), es posible extraer los parametros R,
θ, α y K, realizando un ajuste bidimensional (VG, VD) indirecto (o ajuste a cero 0) de la expresión (9), a mediciones de la característica ID(VG, VD) de un solo dispositivo, utilizando el valor de VT extraído previamente.El procedimiento de extracción se puede resumir en los siguientes pasos: a) extraer el valor del voltaje de umbral
VT con algún método reconocido [13], sobre mediciones de ID(VG, VD) de un solo dispositivo, en nuestro caso utilizamos el método de transición [14], b) calcular el valor de le resistencia medida Rm como Rm = VD/ID, c) extraer los parámetros R, θ, α, y K realizando un Ajuste Indirecto, o ajuste a cero 0, de la ecuación (9), usando como datos Rm, VG, VT, ID y VD.2.3. Ajuste Indirecto a
Rm utilizando dos valores de LmSi en las ecuaciones (9) a (11) el parámetro
K es reemplazado por una definición que depende del largo metalúrgico de canal Lm, entonces serian necesarias mediciones ID(VG, VD) de multiples dispositivos de diferentes Lm simultaneamente para realizar la extraccion de parametros.A partir de la definición del parámetro
K dada por (4), definimos el parámetro Ko comodonde
W es el ancho del canal, μo es la movilidad de los portadores, Cox es la capacitancia por oxido de compuerta y Leff es el largo efectivo de canal. Substituyendo la definición del largo efectivo de canal Leff = Lm - ΔL , donde ΔL denota el acortamiento de largo de canal, y la ecuación (12) de Ko en (4) encontramos:que es una expresión de la conductancia de canal
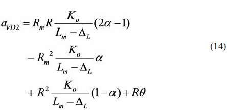
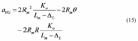
K con dependencia respecto al largo metalúrgico de canal Lm.Finalmente reemplazando (13) en (10) y en (11) se obtienen los nuevos coeficientes, que definen a la expresión (9), como
Con las ecuaciones modificadas definidas por (9), (14) y (15) además de
R, θ, y α se extraen los parámetros ΔL y Ko, mediante un ajuste bidimensional (VG, VD) indirecto de (9) a mediciones de la característica ID(VG, VD) de dos dispositivos simultáneamente cuyos largos metalúrgicos de canal Lm sean cercanos. A partir de Ko y ΔL es posible calcular K utilizando la ecuación (13).Es importante destacar que el conjunto de parámetros R,
θ, α, Ko y ΔL extraídos con este procedimiento, es valido para los 2 dispositivos cuyas mediciones ID(VG, VD) sean utilizadas simultáneamente. Por esta razón se debe tener en cuenta que la validez de los parámetros va a depender de la diferencia entre los Lm utilizados para realizar la extracción.El método de extracción puede ser resumido en los siguientes pasos: a) extraer el valor del voltaje de umbral
VT con algún método reconocido [13], sobre mediciones de ID(VG, VD) de cada uno de los 2 dispositivos a utilizar en el ajuste, en nuestro caso se utilizo el método de transición [14], b) calcular el valor de la resistencia Rm = VD/ID para cada dispositivo, c) extraer los parámetros R, θ, α, Ko y ΔL realizando un Ajuste Indirecto (ajuste a cero 0) bidimensional de las ecuaciones (9), (14) y (15) a mediciones ID(VG, VD) , usando como datos VG, VT, ID, VD y Rm.2.4. Ajuste con aproximación de R a un valor
RFIJO constanteLa resistencia medida
Rm se define como Rm = Rch + R donde Rch es la resistencia del canal, y R es la resistencia parasita de drenador-surtidor. Mientras que el valor de Rch es proporcional al largo metalúrgico de canal Lm, la resistencia parasita R es independiente del mismo y por ende su comportamiento teórico esperado es el de tendencia hacia un valor constante para todo Lm. Bajo esta premisa se infiere que para transistores de canal largo el efecto de la resistencia del canal Rch puede enmascarar el efecto de la resistencia parasita R, dificultando su extracción efectiva.Para superar esta dificultad, recientemente se presento como alternativa de extracción [11] suponer
R constante para todo Lm, cuyo valor RFIJO es extraído para el dispositivo de canal mas corto donde su efecto es mas significativo, y extraer los demás parámetros como función del largo de canal Lm.La Aproximación de
R a un valor RFIJO constante se puede aplicar tanto para el caso de Ajuste Directo a ID como para el caso de Ajuste Indirecto a Rm. En este sentido el procedimiento de extracción se puede resumir en los siguientes pasos: a) realizar la extracción de los parámetros R, θ, α y K para el dispositivo de canal mas corto disponible, en nuestro caso Lm =0.15μm., b) para canales de Lm superior mantener constante el valor de R extraído (RFIJO) y realizar la extracción de los parámetros θ, α y K como función de Lm.En la Tabla I se presenta un resumen de las características de los procedimientos que serán comparados en este artículo, en términos de variación de parámetros extraídos y de eficiencia computacional.
3. Comprobación y Resultados
Para los cuatro procedimientos propuestos se realizó la validación con datos sintéticos, obteniendo que los valores de los parámetros extraídos coincidieron exactamente con los valores utilizados para la generación de los datos.
Posteriormente se realizo la extracción de parámetros a mediciones experimentales
ID(VG,VD) de dispositivos MOSFET DRAM de espesor de oxido tox = 4nm y largos de canal Lm = 0.15, 0.23, 0.6, 1 y 2μm. En este caso la validación se realizó mediante la comparación gráfica de las curvas experimentales de corriente-voltaje ID-VD e ID-VG y de resistencia voltaje Rm-VD, con las curvas correspondientes generadas a partir de los parámetros extraídos, obteniendo para los cuatro procedimientos una adecuada reproducción.En las Figuras 2 y 3 se ilustra el resultado de la validación del modelo correspondiente a un dispositivo de
Lm =0.15μm, para el procedimiento de Ajuste Indirecto a Rm. Resultados similares se obtuvieron en el resto de los casos.4. Análisis Comparativo de los cuatro procedimientos
Una vez que los procedimientos propuestos han sido aplicados a datos experimentales, se hace indispensable la aplicación de una serie de pruebas que permitan comparar el desempeño de cada uno de ellos en términos de comportamiento de los parámetros extraídos y en términos de eficiencia computacional. Gracias a estas pruebas es posible determinar las condiciones bajo las cuales se puede utilizar cada uno de los métodos y a partir de ellas inferir cuál de los procedimientos es el más recomendable.
4.1. Variación de Parámetros en función del largo de canal Lm
Tomando los resultados obtenidos de la extracción de parámetros a partir de datos experimentales, en la Figura 4 se muestra la variación de los parámetros R, θ, α y K-1, en función del largo metalúrgico del canal Lm para los cuatro procedimientos propuestos. Para el de Ajuste con Aproximación de R a un valor RFIJO constante, se presenta la aplicación tanto del caso de Ajuste Directo a ID como del caso de Ajuste Indirecto a Rm.
La variación de la resistencia de drenador-surtidor R en función de Lm es presentada en la Figura 4a. En ella se observa un incremento significativo y sostenido del valor de R extraído en función de Lm para los procedimientos de Ajuste Directo a ID y de Ajuste Indirecto a Rm, mostrando una dependencia casi lineal. Este hecho difiere del comportamiento de R independiente del largo de canal, esperado teóricamente.
El comportamiento observado sugiere que el valor de R extraído para canales largos corresponde mayoritariamente al valor de la resistencia de canal Rch que sí depende del largo metalúrgico Lm. Por las razones anteriores se considera que la aplicación de los procedimientos de Ajuste Directo a ID y de Ajuste Indirecto a Rm debe limitarse a dispositivos de canal corto.
Para el procedimiento de Ajuste Indirecto a Rm utilizando dos valores de Lm, se evidencia una variación del valor de R en función del largo de canal significativamente menor que para los casos de Ajuste Directo a ID y Ajuste Indirecto a Rm. Este comportamiento tiene una posible explicación en que al utilizar más de un dispositivo de forma simultánea se cuenta con más curvas, lo que incrementa la cantidad de información sobre el efecto de la resistencia parásita R para el ajuste. Esta ventaja también se manifiesta para la extracción de los parámetros θ, α y K.
Sin embargo, para obtener valores de parámetros extraídos que se ajusten a la realidad no basta con proporcionar más curvas al ajuste, es de vital importancia utilizar los datos adecuados, específicamente en términos del largo metalúrgico de canal Lm.
Utilizar dispositivos que difieran poco en Lm para la extracción simultanea es un factor crítico para canales cortos, debido a que el efecto que tiene sobre la característica de transferencia la resistencia parásita R es mayor para éstos que para dispositivos de canal largo, donde la resistencia de canal Rch es dominante. Como el conjunto de parámetros extraídos es común a los dos dispositivos utilizados simultáneamente, mientras menos difieran en términos de largo de canal, los valores extraídos serán más apropiados.
Con el procedimiento de Ajuste con Aproximación de R a un valor RFIJO constante, tanto para el caso de Ajuste Directo a ID como para el caso de Ajuste Indirecto a Rm, evidentemente R no presenta variación en función de Lm ya que su valor es mantenido constante en un valor RFIJO extraído para el Lm más pequeño, en este caso 0.15 μm.
En las Figuras 4b y 4c se presenta la variación del valor extraído de θ y α en función de Lm respectivamente. Se observa nuevamente que tanto para el Ajuste Directo a ID como para el Ajuste Indirecto a Rm, la variación de estos parámetros no corresponde a la tendencia esperada teóricamente.
Nótese que a medida que el valor de R aumenta, el valor de θ disminuye, poniéndose de manifiesto la similitud de sus efectos sobre la característica de transferencia, traducida en compensación numérica impuesta por el ajuste al converger. Por el contrario, para los procedimientos de Ajuste Indirecto a Rm utilizando dos valores de Lm y de Aproximación de R a un valor RFIJO constante, se observa que los valores de θ y α se saturan a un valor cercano a la unidad a medida que aumenta Lm.
Finalmente, en la Figura 4d se presenta la variación del inverso del parámetro K en función del largo de canal. Los resultados obtenidos para todos los procedimientos aplicados se corresponden con la tendencia lineal creciente esperada teóricamente. Para poder incluir el procedimiento de Ajuste Indirecto a Rm utilizando dos valores de Lm, el valor de K fue calculado a partir de los parámetros extraídos Ko y ΔL con la expresión (13).
Es importante resaltar que el procedimiento de Ajuste con Aproximación de R a un valor RFIJO constante para el caso de Ajuste Directo a ID arrojó resultados muy similares a los obtenidos para el caso de Ajuste Indirecto a Rm del mismo procedimiento, por lo tanto para pruebas posteriores se ilustrarán los resultados de la aplicación a sólo uno de ellos como muestra representativa del Ajuste con Aproximación de R a un valor RFIJO constante.
4.2. Eficiencia Computacional
Los cuatro procedimientos fueron sometidos a pruebas de eficiencia computacional, con el objetivo de evaluar el desempeño de cada uno de ellos en términos de número de iteraciones requeridas para la convergencia y en términos de convergencia de los procedimientos a los valores esperados. En esta sección se presentan los resultados del procedimiento de Ajuste con Aproximación de R a un valor RFIJO constante sólo para el caso de Ajuste Indirecto a Rm.
4.2.1. Número de Iteraciones requeridas para la Convergencia
La primera prueba dentro del estudio de eficiencia computacional aplicada a cada uno de los cuatro procedimientos, consistió en determinar el número de iteraciones requeridas por cada procedimiento para converger al valor correcto de los parámetros en función de la variación de los valores iniciales de iteración. Para cuantificar el incremento en los valores iniciales, se definió un factor multiplicativo denominado "f", como el cociente entre el valor inicial de iteración (
Vinicial) y el valor correcto del parámetro (Vcorrecto) 
Los resultados de esta prueba se presentan en la Figura 5; en ella se observa que los cuatro procedimientos requieren un número de iteraciones similares para valores de f
<2.25. Para un valor superior a 2.25 el número de iteraciones que requiere el Ajuste Directo a ID comienza a aumentar sostenidamente presentando un crecimiento abrupto para f=3.5, comportamiento que se mantiene hasta f=3.89 cuando el procedimiento deja de converger.Por su parte, para los procedimientos de Ajuste Indirecto a Rm, Ajuste Indirecto a Rm utilizando dos valores Lm y Ajuste con aproximación de R a un valor RFIJO constante, el número de iteraciones presenta fluctuaciones alrededor de 25 iteraciones y el mayor valor de f al cual estos procedimientos convergen a los parámetros correctos es f =6 para el Ajuste Indirecto a Rm y f =23 para el Ajuste Indirecto a Rm utilizando dos valores de Lm. Respecto al procedimiento de Ajuste con aproximación de R a un valor RFIJO constante, se verificó que para un factor de escalamiento f superior a 1000 aún se logra extraer de forma correcta los parámetros.
4.2.2. Convergencia de los procedimientos al valor correcto de los Parámetros
Se determinó la convergencia de cada uno de los procedimientos al valor correcto de los parámetros. Se estudió para cada método la evolución de los parámetros, desde el valor inicial de iteración hasta su convergencia al valor correcto a medida que aumenta el número de iteraciones.
Debido a que la convergencia de los ajustes es inmediata cuando el valor inicial de iteración es el valor esperado, se utilizó para esta prueba un factor f =3.89, ya que tal como se presentó en la sección anterior corresponde al máximo valor de f al cual el procedimiento de Ajuste Directo a ID converge. Los resultados de esta prueba se presentan en la Figura 6 de (a)-(d) para R, θ, α y K respectivamente, indicando con línea punteada el valor correcto de cada uno de ellos. Para el parámetro K se utilizaron dos valores diferentes: K =16.8 mA/V2 correspondiente al valor de convergencia de los procedimientos de Ajuste Directo a ID, de Ajuste Indirecto a Rm y Ajuste con aproximación de R a un valor RFIJO constante, y K =7.03 mA/V2 para el procedimiento de Ajuste Indirecto a Rm utilizando dos valores de Lm, calculado con los valores de Ko y ΔL.
A partir de los resultados graficados en la Figura 6, se evidencia que el procedimiento de Ajuste Directo a ID presenta una desventaja importante en términos de eficiencia computacional respecto al resto de los procedimientos, ya que requiere un mayor número de iteraciones para converger.
Para esta prueba en particular, el procedimiento de Ajuste Directo a ID requiere entre 90 y 100 iteraciones mientras que el resto de los procedimientos mencionados requieren entre 10 y 20 iteraciones para la convergencia. Todos los procedimientos fueron analizados bajo las mismas condiciones computacionales para esta prueba en particular.
4.3. Limitaciones en la Aplicación de los procedimientos
Una vez aplicadas todas las pruebas relativas a variación de parámetros en función del largo de canal y las pruebas de eficiencia computacional, en la Tabla II se muestra un resumen de los resultados obtenidos por los cuatro procedimientos de extracción de parámetros.
Para todos ellos se logra la comprobación del modelo con datos sintéticos, ya que los valores de los parámetros extraídos se corresponden con los valores utilizados para la generación de los datos. Al ser aplicados sobre datos experimentales también se logra realizar la extracción, hecho comprobado gráficamente al observar la coincidencia entre las curvas experimentales y las curvas de validación calculadas a partir de los parámetros extraídos.
En cuanto al comportamiento de los Parámetros en función de
Lm, se obtuvo que tanto para el Ajuste Directo a ID como para el Ajuste Indirecto a Rm, la variación de los parámetros no coincide con la tendencia esperada teóricamente, caso contrario al de los resultados obtenidos para los demás procedimientos.En relación al estudio de eficiencia computacional, se puede concluir que los procedimientos de Ajuste Indirecto a
Rm, Ajuste Indirecto a Rm utilizando dos valores de Lm y Ajuste con aproximación de R a un valor RFIJO constante, presentan una mayor eficiencia computacional en comparación con el Ajuste Directo a ID ya que logran la convergencia al valor correcto de los parámetros en un número de iteraciones significativamente menor.Además de ser más eficientes, los procedimientos basados en Ajustes Indirectos permiten un rango más amplio de variación de los valores iniciales, destacándose en este sentido el Ajuste con aproximación de R a un valor
RFIJO constante, siendo el menos sensible ante estas variaciones, con un valor de fmax>1000.En base a los resultados obtenidos en las pruebas aplicadas, se observa que los cuatro procedimientos presentan diferentes limitaciones asociadas a la naturaleza de cada uno de los ajustes utilizados, por lo tanto se concluye que los cuatro procedimientos pueden extraer de forma confiable los valores de los parámetros R,θ, α y K mientras se cumplan las restricciones inherentes a cada uno de ellos.
En la Tabla III se presenta un resumen de las condiciones de aplicabilidad de los métodos en función de las características de los datos experimentales, indicando para cada tipo de medición los procedimientos que permiten la extracción confiable de los parámetros. La información presentada está basada en los resultados obtenidos para las pruebas aplicadas, sin embargo es razonable esperar la misma tendencia en otras pruebas mantengan cierta similitud con los principios aquí planteados.
Como se indica en la Tabla 3, para mediciones de uno o varios dispositivos de canal corto es posible extraer el valor de los parámetros
R, θ, α y K por los procedimientos de Ajuste Directo a ID y Ajuste Indirecto a Rm, ya que la limitación de estos métodos se presenta en la extracción de R sólo para dispositivos de canal largo.Si se cuenta con mediciones de múltiples dispositivos con diversos largos de canal, es posible realizar la extracción confiable de los parámetros mediante el de Ajuste Indirecto a Rm utilizando dos valores de
Lm, recordando que se requieren mediciones de dos dispositivos simultáneamente para realizar el ajuste y teniendo en cuenta que la precisión de los resultados obtenidos está sujeta a la diferencia entre los valores de Lm que se utilicen para extracción.Finalmente, el procedimiento de Ajuste con Aproximación de R a un valor
RFIJO constante, a pesar de utilizar un solo dispositivo para la extracción, sólo tiene sentido aplicarlo cuando se dispone de mediciones de múltiples dispositivos donde al menos haya uno de canal corto. Este método presenta como ventajas ser el más eficiente computacionalmente y el menos sensible a los valores iniciales de los cuatro procedimientos, además de ser el más preciso en la extracción de los parámetros para canales largos, ya que los valores extraídos no están alterados por la influencia de la resistencia de canal. III. CONCLUSIONES1. Se han evaluado cuatro procedimientos de extracción de parámetros para transistores MOSFET.
2. Los procedimientos logran separar y extraer los valores de la resistencia de drenador-surtidor
R y del factor de degradación de movilidad θ, a partir de mediciones ID(VG,VD).3. Además de
R y θ, los procedimientos extraen de manera efectiva los parámetros α y K que denotan el efecto de carga de cuerpo y el parámetro de conducción.4. Al aplicar los métodos a datos experimentales, con los valores extraídos se calculó la validación del modelo y se comparó gráficamente con los datos experimentales, mostrando buena coincidencia para todos los casos probados.
5. El procedimiento de Ajuste Indirecto a Rm utilizando dos valores de Lm presenta una importante restricción con respecto a la escogencia de los 2 dispositivos a utilizar simultáneamente para la extracción especialmente en el caso de transistores de canal corto.
6. Tanto para el procedimiento de Ajuste Directo a ID como para el de Ajuste Indirecto a Rm, los valores de R, θ, y α extraídos para canales largos no presentan la tendencia esperada lo que restringe su aplicabilidad a dispositivos de canal corto.
7. El comportamiento de los parámetros extraídos con el procedimiento de Ajuste Indirecto a Rm utilizando dos valores de Lm se ajusta a la tendencia teórica esperada y en términos de eficiencia computacional presenta poca sensibilidad a los valores iniciales utilizados.
8. Utilizando el procedimiento de Ajuste con Aproximación de R a un valor RFIJO constante, en sus dos casos, la variación de los parámetros respecto al largo de canal presenta la tendencia esperada. Con respecto a la eficiencia computacional, resultó ser el método menos sensible a los valores iniciales utilizados.
9. De las consideraciones anteriores, se concluye que el procedimiento de Ajuste con Aproximación de R a un valor RFIJO constante es el mejor de los procedimientos en términos de comportamiento de parámetros extraídos al variar Lm y en términos de eficiencia computacional. Además, es el procedimiento que presenta menos restricciones de aplicabilidad.
10. Para los casos probados, los procedimientos basados en Ajuste Indirecto presentaron un mejor desempeño computacional que los procedimientos basados en Ajuste Directo.
IV. REFERENCIAS
1. García-Sánchez F. J., Ortiz-Conde A., Cerdeira A., Estrada M., Flandre D. and Liou J. J., "A Method to Extract Mobility Degradation and Total Series Resistance of Fully-Depleted SOI MOSFETs", IEEE Trans. Electron Devices, vol. 49, 2002, pp. 82-88. [ Links ]
2. Jeppson K. O., "Static Characterization and Parameter Extraction in MOS Transistors", Microelectronics Engineering, vol. 40, 1998, pp. 181-186. [ Links ]
3. García-Sánchez F. J., Ortiz-Conde A. and Liou J. J., "On the Extraction of the Source and Drain Series Resistances of MOFETs", Microelectronics Reliability, vol. 39, 1999, pp. 1173-1184. [ Links ]
4. Terada K. and Muta H., "A New Method to Determine Effective MOSFET Channel Length", Japanese Journal of Applied Physics, vol. 18, 1979, pp. 953-959. [ Links ]
5. Chern J. G. J., Chang P., Motta R. S. and Godinho N., "A New Method to Determine MOSFET Channel Length", IEEE Electron Device Letters, vol. 1, 1980, pp. 170-173. [ Links ]
6. Lou C. L., Chim W. K., Chan D. S. H. and Pan Y., "A Novel Single-Device DC Method for Extraction of the Effective Mobility and Source-Drain Resistances of Fresh and Hot-Carrier Degraded Drain-Engineered MOSFETs", IEEE Trans. Electron Devices, vol. 45, 1998, pp. 1317- 1323. [ Links ]
7. Lim G. M., Kim Y. C., Kim D. J., Park Y. W. and Kim D. M., "Additional Resistance Method for Extraction of Separated Nonlinear Parasitic Resistances and Effective Mobility in MOSFETs", IEEE Electron Device Letters, vol. 36, 1998, pp. 1233-1234. [ Links ]
8. McAndrew C. C. and Layman P. A., "MOSFET Effective Channel Length, Threshold Voltage and Series Resistance Determination by Robust Optimization", IEEE Trans. Electron Devices, vol. 39, 1992, pp. 2298-2311. [ Links ]
9. Lin D. W., Cheng M. L., Wang S. W., Wu C. C. and Chen M. J., "A Constant - Mobility Method to Enable MOSFET Series-Resistance Extraction", IEEE Electron Device Letters, vol. 28, 2007, pp. 1132-1134. [ Links ]
10. Ortiz-Conde A., García Sánchez F.J., Muci J., Lugo Muñoz D. C., Latorre Rey A. D., Ho C.-S, and Liou J.J., "Indirect fitting procedure to separate the effects of mobility degradation and source-and-drain resistance in MOSFET parameter extraction" Accepted in Microelectronics Reliability (2009). [ Links ]
11. García-Sánchez F.J., Muci J., Lugo Muñoz D.C., Latorre Rey A.D., Ortiz-Conde A., Ho C.-S., and Liou J.J., "Extraction of MOSFET Model Parameters from the measured Source-to-drain Resistance". Accepted in SBmicro (2009). [ Links ]
12. Liou J. J., Ortiz-Conde A. and García-Sánchez F. J., Analysis and Design of MOSFETs: Modeling, Simulation and Parameter Extraction. New York: Kluwer, 1998. [ Links ]
13. Ortiz-Conde A., García-Sánchez F. J., Liou J. J., Cerdeira A., Estrada M. and Yue Y., "A Review of Recent MOSFET Threshold Voltage Extraction Methods", Microelectronics Reliability, vol. 42, 2002, pp. 583596. [ Links ]
14. García-Sánchez F. J., Ortiz-Conde A., De Mercato G., Salcedo J. A., Liou J. J. and Yue Y., "New Simple Procedure to Determine the Threshold Voltage of MOSFETs", Solid-State Electronics, vol. 44, 2000, pp. 673-675. [ Links ]











uBio 













