Universidad, Ciencia y Tecnología
versión impresa ISSN 1316-4821
uct vol.16 no.63 Puerto Ordaz jun. 2012
INFLUENCIA DE LAS DILATACIONES TÉRMICAS EN LA DESCALIBRACIÓN DEL MOVIMIENTO PARALELO DE LAS TRES CUCHILLAS DE PUESTA A TIERRA DE UN SECCIONADOR ELÉCTRICO
Mendoza, Jesús Alberto1 Caraballo, Simón Antonio1, Solis, Daniela de Jesús1 Gómez, Orlando José1
UNEXPO, Vicerrectorado Puerto Ordaz, Dpto. de Ingeniería Mecánica. Venezuela. Email: jesus_mendozaq@yahoo.com
UNEXPO, Vicerrectorado Puerto Ordaz, Dpto. de Ingeniería Mecánica. Venezuela. Email: simoncaraballo@hotmail.com
UNEXPO, Vicerrectorado Puerto Ordaz, Dpto. de Ingeniería Mecánica. Venezuela. Email: dscasillas@hotmail.com
UNEXPO, Vicerrectorado Puerto Ordaz, Dpto. de Ingeniería Mecánica. Venezuela. Email: ogomez_17339210@yahoo.es
Resumen:
Entre otros tipos de seccionadores eléctricos, CORPOELEC usa, en la subestación de Macagua 400 kV, seis seccionadores Hapam modelo HAC-EV, fabricados en Los Países Bajos e instalados en 2002. Cada uno de estos seccionadores eléctricos tiene un mecanismo secundario de palancas, de accionamiento manual, usado para la puesta a tierra, constituido por dieciséis elementos móviles más un bastidor. Los elementos de salida del mecanismo son tres brazos mecánicos comúnmente denominados cuchillas, cada una de las cuales tiene dos etapas de movimiento. La etapa inicial es de rotación pura en un plano vertical y la etapa final es de traslación pura ascendente en el mismo plano. Este trabajo presenta el desarrollo del modelo matemático que permite calcular cómo las dilataciones térmicas de los eslabones del mecanismo pueden desajustar el movimiento simultáneo y paralelo de las tres cuchillas y producir un atasco de las partes en movimiento. Como resultado del análisis se concluye que debido a su principio de operación, éste mecanismo es susceptible de desajustarse debido a las dilataciones térmicas y se aconseja modificar su diseño, tomando en cuenta la influencia de estas dilataciones en su desajuste, antes de usarse como mecanismo de puesta a tierra en nuestras latitudes.
Palabras clave: Ajuste/ Calibración/ Mecanismos de Puesta a Tierra/ Seccionador Eléctrico/ Dilatación Térmica.
INFLUENCE OF THERMAL EXPANSIONS ON THE DECALIBRATION OF THE PARALLEL MOVEMENT OF THE THREE KNIVES OF A GROUNDING SWITCH MECHANISM
Abstract:
Among other types of grounding switches, CORPOELEC uses six Hapam HEC-EV switch operating mechanisms at Macagua 400 kV electrical substations, manufactured in the Netherlands and installed in 2002. Each of these devices has a secondary mechanical linkage for grounding, which is manually operated. The mechanism consists of sixteen mobile elements plus a frame, which work together to move simultaneously a set of three rotary output links, currently called knives, each of which has two stages of movement. The initial stage is a pure rotation in a vertical plane and the final stage is a pure upward translation at the same plane. This paper presents a development of a mathematical model to find out how the thermal expansion of the grounding linkage may disarrange the simultaneous and parallel movement of the three knives and produce a blockage of the moving parts. The results show that this mechanism is susceptible of disarranging due to thermal expansions and is advised to modify the original design, taking into account the influence of these expansions before using this mechanism for grounding in this latitude.
Keywords: Adjust/ Calibration/ Grounding Mechanism, Switch Operating Mechanism/ Thermal Expansion
(Recibido febrero 2012, Aceptado mayo 2012)
I. INTRODUCCIÓN
Un seccionador eléctrico es un artificio mecánico de seguridad usado durante las maniobras de operación y mantenimiento de una subestación eléctrica y sirve para separar físicamente de la red eléctrica, cada uno de los tres cables de conducción principal que han sido primero previamente desconectados del sistema de alimentación por otro dispositivo mecánico conocido con el nombre de interruptor eléctrico. Cada uno de estos seccionadores tiene, adicional al propio mecanismo principal de seccionamiento, un mecanismo secundario de seguridad usado para la puesta a tierra. Entre otros tipos de seccionadores eléctricos, CORPOELEC usa, en la subestación de Macagua 400 kV, seis seccionadores Hapam modelo HAC-EV, fabricados en los Países bajos e instalados en el año 2002. Tres de estos han presentado roturas en sus mecanismos manuales secundarios de puesta a tierra. Los elementos de salida del mecanismo secundario son tres brazos ranurados numeradas como 5, 9 y 13 en la Figura 1, en cuyos extremos superiores se fijan las cuchillas de puesta a tierra, no representadas en el esquema. Cada brazo (en adelante se usará el término cuchilla para designar a estos brazos) tiene dos etapas de movimiento: una inicial de rotación pura y otra posterior de traslación ascendente.

Los pares A, D, O y O´ son fijos. Los eslabones 14, 15 y 16 son los rodillos seguidores. Los pares L, T y T´ son pares de contacto puntual entre los rodillos y las levas. Las cuchillas se fijan a los brazos 5, 9 y 13. Las cuchillas están vinculadas al bastidor por los pares especiales de doble propósito G, R, y R´. Estos pares son de doble propósito porque durante la primera etapa de movimiento de las cuchillas, son rotatorios y durante la segunda, son cilindro-plano. La separación nominal entre los centros de los nodos cinemáticos de estos pares es de 7 m a lo largo de la horizontal. Las cuchillas deben moverse siempre paralelas en un plano vertical para cerrar y abrir cuando sea necesario, el circuito de puesta a tierra.
Los eslabones 2, 6 y 10 del mecanismo son los tres eslabones de calibración longitudinal que corrigen los errores de posicionamiento de las cuchillas con el fin de lograr que estas marchen simultáneamente paralelas durante su operación.
Además de una ranura, cada una de las tres cuchillas tiene en su pie una prolongación protuberante como se indica en la Figura 2. En la zona protuberante del pie de cada cuchilla se articula un rodillo seguidor que rueda sobre una leva fija en el bastidor. La leva fija tiene un perfil compuesto por un tramo curvo semicircular y por un tramo de línea recta vertical. La zona de transición de la leva fija es aquella que marca su cambio de perfil.
El subconjunto bastidor 0, brazo o cuchilla 9 y rodillo 15, de la Figura 2 conforma durante la primera etapa de movimiento de esta cuchilla, un tren epicíclico en el que la cuchilla 9 en movimiento de rotación pura transporta consigo al rodillo seguidor 15. De esta manera, en este tren epicíclico, la cuchilla 9 tiene la entrada de movimiento y es el portasatélite del tren. La leva fija funge de sol detenido y en consecuencia es parte del bastidor. Los otros subconjuntos cinemáticos de este tipo son los conformados por los eslabones 0-14-5 y 0-16-13.

Una vez que cada rodillo seguidor recorre, arrastrado por su cuchilla correspondiente, todo el tramo circular del perfil de cada leva fija y se encuentra justo en posición vertical teórica, entonces está listo para iniciar la segunda etapa de movimiento en la que cada cuchilla se moverá sólo en traslación ascendente vertical a lo largo de la ranura practicada en el brazo portador de cada cuchilla.
Para lograr el correcto funcionamiento del mecanismo de puesta a tierra, las tres cuchillas deben iniciar la segunda etapa de movimiento, al mismo tiempo, y esto sólo ocurre si las cuchillas están verticales y paralelas entre sí y todos los rodillos han finalizado simultáneamente sus carreras de rodadura sobre sus correspondientes tramos circulares de leva. Sin embargo, esto dependerá de la precisión de fabricación y montaje de los eslabones del mecanismo y de la influencia o no de las dilataciones térmicas.
La sincronización y paralelismo del movimiento de las tres cuchillas cuando sus rodillos están moviéndose en torno a la zona de transición de las levas es fundamental porque un error de paralelismo entre ellas, fuera de los límites permitidos, hace que al menos uno de los rodillos seguidores se atasque alrededor de esta zona, ocasionando la rotura de la cuchilla trabada, en su región más débil. El atascamiento se debe a que el rodillo trabado no ha terminado de finalizar su carrera sobre el perfil curvo de la leva cuando los otros dos rodillos si lo han hecho, de modo que estos se encuentran libres para ascender sobre sus correspondientes perfiles rectos pero el trabado todavía no lo está y al intentar ascender choca contra la superficie curva.
Este trabajo presenta el desarrollo del modelo matemático que permite encontrar cómo las dilataciones térmicas que ocurren principalmente sobre los eslabones más grandes del mecanismo de puesta a tierra estudiado, desajustan durante el verano la calibración previa del mecanismo. Como resultado, se llega a la conclusión de que este mecanismo, fabricado en Los Países Bajos, es susceptible de desajustarse al calor del trópico y de trabarse y por lo tanto no debería ser adquirido por CORPOELEC a menos que sea modificado su diseño para evitar la trabadura durante su operación.
II. DESARROLLO



1. Análisis Cinemático
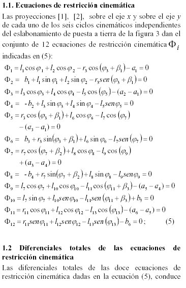
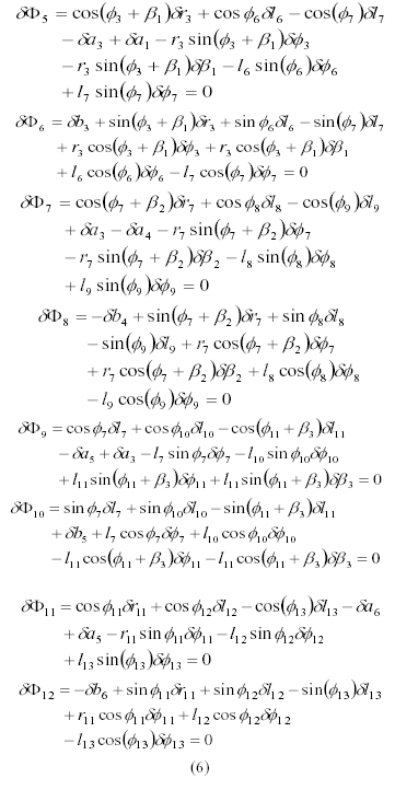
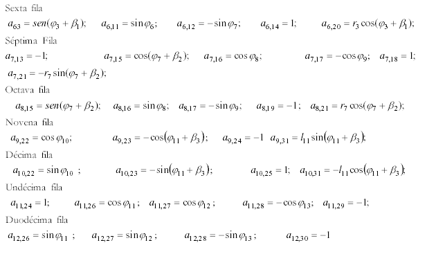
1.1. Ecuaciones de restricción cinemática









III. RESULTADOS Y DISCUSIONES




IV. CONCLUSIONES
1. La formulación de las doce ecuaciones diferenciales de restricción cinemática del mecanismo de puesta a tierra Hapam HAV-EV permite encontrar cómo las dilataciones térmicas afectan la calibración del mecanismo.
2. Un gradiente de temperatura de 170C puede producir en una barra de acero de 7 m de longitud una dilatación longitudinal de aproximadamente 1,428 mm. 3. Los errores de posicionamiento esperados alrededor de la posición vertical de la primera, segunda y tercera cuchilla, debidos a las dilataciones térmicas en el mecanismo son: -0,348830, +0,7050720 y -1,123700, respectivamente.
4. La cuchilla que tiene durante su movimiento y debido a las dilataciones térmicas, una mayor tendencia a retrasarse respecto a las otras, es la segunda. 5. La interferencia horizontal esperada entre el rodillo de la segunda cuchilla y la leva que éste rodillo recorre, debido a las dilataciones térmicas es aproximadamente igual a 1 mm.
6. El mecanismo de puesta a tierra Hapam HAV-EV tiene una tendencia a trabarse cuando sus tres cuchillas alcanzan la posición vertical simultánea.
V. REFERENCIAS
1. Fogarasy A., and Smith M., The case for a general method of kinematic analysis of plane mechanisms based on equations of constraint. Part C: Journal of Mechanical Engineering Science. Proc. Instn. Mech. Engrs. 209. pp. 337-343, United Kingdom, 1995. [ Links ]
2. Mendoza Jesús, and Otero Luis, Influence of clearances on the positioning error of the discharge mechanism doors on a rail wagon. ESDA2008- 59320, Proc. 9th Biennial Conference on Engineering Systems Design and Analysis, ASME, Haifa, Israel, 2008. [ Links ]
3. Fogarasy A., and Smith, M. The influence of manufacturing tolerances on the kinematic performance of mechanisms. Part C: Journal of Mechanical Engineering Science. Proc. Instn. Mech. Engrs. 209. pp. 35-45, United Kingdom, 1998. [ Links ]
4. Mendoza Jesús, Influencia de los errores dimensionales en la exactitud de posicionamiento del mecanismo de puesta a tierra de un seccionador eléctrico. Trabajo de ascenso a la categoría de profesor titular. UNEXPO. Puerto Ordaz, Venezuela, 2010. [ Links ]
5. Mendoza Jesús, Influencia de las tolerancias dimensionales y las holguras en la exactitud de posicionamiento de un mecanismo de cuatro barras. Tesis de doctorado, CUJAE, La Habana, Cuba, 2003. [ Links ]
6. Mendoza Jesús, and Otero Luis, Calibration of the tight seal of the discharge mechanism doors on a rail wagon using adjustable members. ESDA2006-95102, Proc. 8th Biennial Conference on Engineering Systems Design and Analysis, ASME, Turin, Italy, 2006. [ Links ]
NOMENCLATURA

APÉNDICE A

Apendice B


Apendice C

Apendice D




Apendice E












uBio 
