Universidad, Ciencia y Tecnología
versión impresa ISSN 1316-4821
uct vol.20 no.81 Puerto Ordaz dic. 2016
Ampliación del rango de operación de plantas no lineales usando algoritmos de control difuso basados en el modelo TSK-LMI
Fandiño, Luis; Sarmiento, Saturno; Rosales, Luis
fandinoluism, ssunexpo, luis.rosales2@gmail.com
Universidad Nacional Experimental Politécnica "Antonio José de Sucre"
Resumen:
El presente trabajo de investigación propone el diseño de un algoritmo de control difuso Takagi-Sugeno-Kang, basado en inecuaciones matriciales lineales y técnicas de optimización convexa, para la ampliación del rango de operación de un sistema no lineal. Esto es estabilizar el sistema y dar seguimiento de la referencia para un intervalo del punto de operación elegido arbitrariamente pero cuidando de las limitaciones reales de la planta. El algoritmo de control consiste en un compensador (matriz de ganancia y estimador) difuso además del diseño de un sistema de seguimiento tipo 1 para sistemas sin integrador, en este caso se trabajará con un sistema de levitación magnética, haciendo uso de un esquema extendido difuso. El esquema de control se diseñó de tal manera que garantice la estabilidad y el desempeño deseado del sistema en lazo cerrado. Este sistema se implementó y evaluó en Matlab y Simulink, además del uso de la Toolbox Yalmip para Matlab.
Palabras Clave: Inecuaciones matriciales lineales, control difuso-Takagi-Sugeno-Kang, rango de operación, estabilidad.
Working range extension for nonlinear plants using fuzzy control algorithms based on TSK-LMI model
This paper proposes the design of a Takagi-Sugeno-Kang Control Fuzzy algorithm based on Linear Matrix Inequalities and convex optimization techniques, therefore extending to a wide working range around the equilibrium point for the Non-linear system. This means to stabilize the system and signal tracking the reference, in a chose working range, regarding the actual limitation of the system. The control algorithm consists in a fuzzy compensator (gain matrix and estimator) with a Type 1 signal tracking system for plants without integrator, for instance a Magnetic Levitator System, using an extended fuzzy scheme. So the schematic control is designed to guarantee the stability and desire performance for the closed loop system. This algorithm has been implemented and evaluated using Matlab and Simulink, also using Yalmip Toolbox for Matlab.
Key words: Linear matrix inequations, Takagi-Sugeno-Kang fuzzy control, working range, stability.
Recibido: (23/10/15), aceptado: (21/11/16)
I. INTRODUCCIÓN
El modelado difuso ha sido ampliamente reconocido como una herramienta poderosa para facilitar la creación de modelos de sistemas altamente complejos, principalmente por su capacidad de integrar información de diferentes fuentes, como leyes físicas, modelos empíricos, datos del proceso, conocimiento experto, entre otros.
En los últimos años, el diseño de controladores difusos, más exactamente los basados en modelos Takagi Sugeno Kang (TSK) o simplemente T-S [1], ha registrado avances significativos gracias a la teoría de las Desigualdades Matriciales Lineales (LMIs) y al análisis de estabilidad de Lyapunov [2]-[5], [7]. Los modelos difusos T-S representan el comportamiento dinámico de un sistema no lineal a través de una interpolación convexa de modelos lineales locales, donde las funciones de interpolación son funciones de pertenencia difusa. Esta representación T-S se ha caracterizado por ser un enfoque más analítico que el resto de modelos difusos. Debido a ello, trabajos como los de Sugeno y Kang lograron establecer un procedimiento de diseño de controladores difusos a partir de un modelo difuso T-S, mediante la técnica que denominaron Compensación Distribuida Paralela (CDP) [6]-[8]. Este artículo está estructurado de la siguiente manera. La sección I es la presente introducción. En la sección II se definen los conceptos fundamentales que sustentan el algoritmo de diseño de control difuso en tiempo continuo. En la sección III se detalla el diseño del algoritmo de control difuso TSK utilizando técnicas LMI, así como el diseño del esquema extendido difuso y del observador de estado difuso. En la sección IV aplicaremos el algoritmo de control difuso TSK a un sistema de levitación magnética y en la sección V y VI se muestra los resultados y conclusiones respectivamente.
II. CONCEPTOS FUNDAMENTALES
A. Modelo Difuso TSK de la Planta
Los modelos difusos continuo TSK están descritos por reglas IF-THEN, la cuales representan relaciones lineales de entrada y salida locales de un sistema no lineal, como en (1). En nuestro caso el modelo difuso TSK de la planta estará formado por un conjunto de reglas difusas. El antecedente de cada regla contiene la descripción lingüística de las variables premisas y el consecuente contiene los modelos lineales locales (subsistemas) del sistema no lineal.

En la ecuación (1) x(t) ∈ ℝn, u(t) ∈ ℝm y y (t) ∈ ℝq representan el vector de estado, vector de control y de salida respectivamente, mientras que Ai ∈ ℝ nxm , Bi ∈ ℝnxm , Ci ∈ ℝ qxn , Di ∈ ℝ mxq son las matrices de estado, de control, de salida y transmisión directa respectivamente. Para efecto de simplicidad la matriz de transmisión directa será considerada igual a cero.
La salida del sistema difuso, dado los vectores y , es inferido como la suma de los niveles de activación o de ponderación de la contribución de cada subsistema [6].


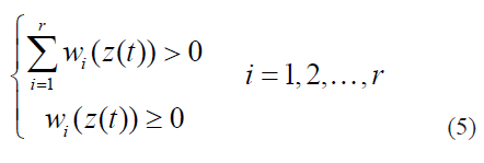
Donde representa los niveles de ponderación de las reglas en (4) y satisface la propiedad (5).


Mij (zj (t)) representa el grado de membresía de zj (t) en Mij . Sin embargo, en (2) y en (3) podemos simplificar y obtener que:



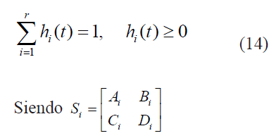
satisface la siguiente propiedad para todo:

Siendo hi la función de activación normalizada.
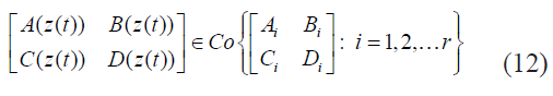
El modelo difuso continuo TSK puede ser también considerado como un "sistema cuasilineal" [10], esto es un sistema lineal politópico en x(t) y u(t) donde las matrices A,B,C,D varían de acuerdo:

![]()
Por tanto, estas matrices representan el sistema politópico cuyos vértices están dadas por cada una de las reglas:

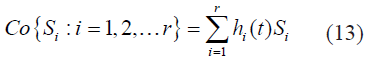
Donde Co representa la envolvente convexa de los sistemas politópicos Si , esto es:


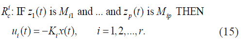
B. Modelo Difuso TSK del Regulador
La obtención de un regulador continuo por medio del método explicado anteriormente, fue propuesta por Kang y Sugeno, como en [8], mejorada y estudiada en [6], [11] y [12]. Este procedimiento, llamado compensación distribuida paralela (CDP), Fig. 1, implica que cada regla de control es correspondiente a cada regla del modelo difuso continuo TSK de la planta. En otras palabras comparten los mismos conjuntos difus
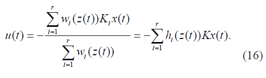
La salida del controlador es inferida como:

Sustituyendo (16) en (6) obtenemos que:


donde

El objetivo entonces del diseño del regulador es determinar las matrices de ganancia Ki tales que permitan un desempeño deseado del sistema en lazo cerrado, así como asegurar la estabilidad local del sistema.
Estas matrices de ganancia Ki se calculan mediante LMI a través de funciones cuadráticas de Lyapunov,
como se explica en la definición [6]:
Definición 2.1: El equilibrio de un sistema difuso continuo en lazo abierto es asintóticamente estable en el rango de operación, si existe una matriz simétrica positiva común P tal que:

para toda i=1, 2,...,r .
Aplicando la definición anterior al sistema en lazo cerrado obtenido en (18) se tiene la siguiente definición extraído de [10].
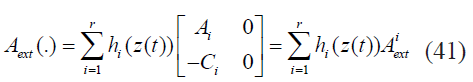
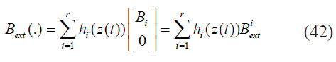
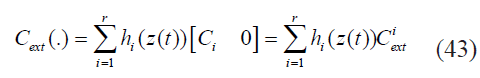
Definición 2.2: El equilibrio de un sistema continuo difuso definido en (18) es asintóticamente estable en el rango de operación si existe un matriz simétrica positiva común P tal que:


para toda i y j excepto los pares (i, j) tales que hi (z (t)) h j ( z ( t )) = 0, ∀t. la prueba puede verse en [13].
En la Fig. 1 se puede observar también el diagrama de un sistema de control continuo difuso TSK por realimentación de estado.
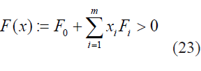
C. Inecuaciones matriciales lineales
Una inecuación matricial lineal es una restricción de la forma, [2]

donde x= [x1 x2 . .. xm ]T ∈ ℝn es la variable de interés o de optimización, Fi = FiT ∈ ℝ nxn, i= 1, m, son matrices dadas. La desigualdad " >0 " es la validación para obtener una definición positiva, esto equivale a que los valores propios de F(x) sean positivos.
D. Problemas generales LMI
Existen varios tipos de problemas que se resuelven mediante LMI, como lo son el problema de factibilidad y el problema de optimización.
1) Problema de factibilidad
Es el proceso o la prueba que consiste en encontrar una solución (xfac) tal que F(xfac) > 0, o determinar que tal x no existe.
2) Problema de valores propios
Consiste en minimizar el máximo valor propio de una matriz que depende de forma afín de una variable, sujeto a una restricción LMI o determinar que dicha restricción no tiene solución [2], es decir:

donde A y B son matrices simétricas que dependen de manera afín de la variable de optimización x. Esto es un problema de optimización convexa.
III. SÍNTESIS DE DISEÑO DEL ALGORITMO DE CONTROL DIFUSO TSK
A. Diseño del regulador vía LMI
Las desigualdades (21) y (22) presentan multiplicación de las variables P y Ki , lo que indica que son no lineales. Por tal motivo, con el fin de reescribir la condición de forma lineal, se multiplica a ambos lados de cada desigualdad por P-1 y se define una nueva variable X= P-1 , de tal manera que puede ser reescrito de la forma (34) y (35).
Para todo i, j = 1, 2,..., r excepto los pares (i, j) tales que hi (z (t)) h j ( z ( t )) = 0, ∀t. Siendo Ki =Mi X-1 para todo X > 0 .
B.Formulaciones de diseño LMI para el control difuso TSK
En adición a la condición de estabilidad asintótica descrita anteriormente, a continuación se presentan otras restricciones LMI, para el diseño de las ganancias de realimentación. Esto con el propósito de mejorar las prestaciones dinámicas de la síntesis de control difuso TSK, tales formulaciones permite plantear requerimientos como supresión del máximo sobre-impulso, limitar factor de amortiguamiento y frecuencia natural, tasa de decaimiento, etc.
Tasa de decaimiento: También conocido como el mayor exponente de Lyapunov [2], consiste en encontrar el mayor a

De esta manera, en la siguiente definición adaptada de [17], se tiene una condición suficiente que cumpla con (25) para un sistema difuso:
Definición 3.1: Los polos en lazo cerrado del sistema difuso (6) y (7), se ubican en la región S(a
Para todo i , j = 1, 2,..., r excepto los pares (i, j) tales que hi (z (t)) h j ( z ( t )) = 0, ∀t. Siendo K i = Mi X−1. A esta restricción también se le conoce como sector semiplano izquierdo.
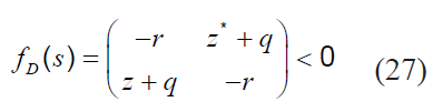
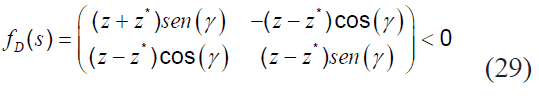
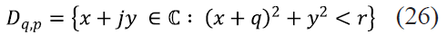
Sector disco: De acuerdo con [9] y [19], a partir de la región circular LMI:
![]()
cuyo centro es (−q, 0) y con radio r > 0 , la función característica es:

A partir de la siguiente definición [18] se obtiene una función extendida de Lyapunov que permite obtener un controlador en la región D.
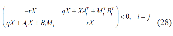
Definición 3.2: El sistema de lazo cerrado difuso (17) es D- estable, es decir todos los polos caen dentro de la región LMI D, si y solo si existe una matriz simétrica definida positiva X tal que

donde K i = Mi X−1. para todo i, j = 1, 2,...,r.
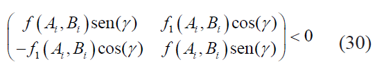
Sector cono: Centrado en el origen con ángulo de apertura g, está definida por la siguiente función característica:

De [10] se tiene que la función de Lyapunov para el controlador en la región definida por el sector cónico, es:

Siendo f (Ai, Bi) y f1 (Ai, Bi) definidas por (38) y (39), para todo i, j = 1, 2,..., r excepto los pares (i, j) tales que hi (z (t)) h j ( z(t)) = 0, ∀t. Con K i = Mi X−1 . En la Fig. 2 están representadas las regiones LMI (sector semiplano izquierdo, sector disco y sector cono) en el plano complejo.
C. Esquema extendido difuso
En la formulación difusa descrita anteriormente, el modelo CDP está hecho para una referencia igual a cero (ref = 0). En [10] se define un EFS (Extended Fuzzy Scheduler), como un controlador con seguimiento de la señal, un error de estado estable igual a cero, para un valor dado en la referencia, esto mediante la introducción de una acción integral en la trayectoria directa [20].
En la Fig. 3 se observa el sistema en lazo cerrado, donde la planta se asume representada en ecuaciones integro-diferenciales y en el bloque del controlador difuso se encuentra implementado el algoritmo TSK. Este algoritmo consiste en un bloque seguidor y un compensador difuso TSK (regulador y observador), lo cual termina derivando en un algoritmo EFS.
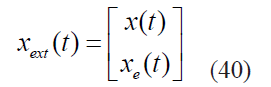
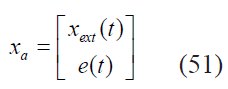
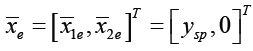
El seguidor consiste en una acción integral y una ganancia Vi , con i = 1,..., r que permite eliminar el error de estado estable en la salida, Fig. 5. Para ello una nueva variable xe es introducida para integrar el error de seguimiento, es definida como:

De este modo el sistema extendido difuso es:

yext (t) = Cext (.) xext (t) (33)
AiX + XAiT - BiMi - MiT BiT < 0, (34)
AiX + XAiT + Aj X + XAjT - BiMj - MjT BiT - MiT BjT £
AiX + XAiT - BiMi - MiT BiT - 2 a X < 0 (36)
AiX + XAiT + Aj X + XAjT - BiMj - MjT BiT - MiT BjT - 4 a X £


donde




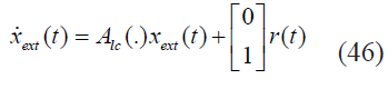
mientras que u(t) es la señal de control del EFS, el cual consiste en dos partes U1 (t) basado en las variables de estado y U2 (t) basado en el estado adicional xe (t):
u(t) = U2(t) - U1(t) (44)

con Kiext = [Ki −Vi] .
En la Fig. 6 está representado el consecuente del regulador difuso TSK y el cálculo de U1 (t) mediante (16).
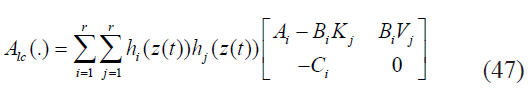
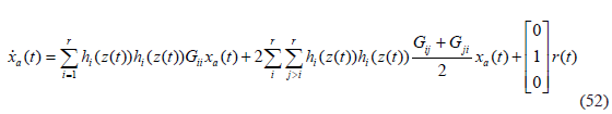
El sistema difuso extendido en lazo cerrado es

donde

De esta manera (47) puede ser usado para todos los teoremas anteriores en sustitución de (17), y así aplicar el diseño EFS.
Finalmente, en la Fig. 4 se tiene el diagrama correspondiente al consecuente de las reglas difusas del observador TSK, cuyos estados y salidas estimadas son calculados por (49) y (50), que se explican a continuación.
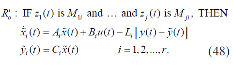
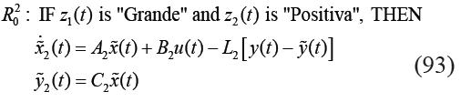
D. Observador de estado difuso
Asumiendo que el sistema es observable, se puede diseñar observadores que estimen los valores de los estados desde la entrada hasta la salida. Se sabe que el objetivo del observador es hacer e(t) →0 cuando t →∞ , donde
es el error entre los vectores
de estados de la planta y los vectores de estados estimados. Se puede entonces diseñar un observador difuso TSK de acuerdo con [6]

Los estados y las salidas del observador son inferidas como:


El sistema difuso con compensador (Ki y Li), se representa mediante (52) donde


AiT P + PAi - NiCi - NiTCiT - 2 a P < 0 (53)


El diseño de estabilidad basado en LMI para el controlador, (21) y (22), también se aplica para el sistema con compensador [6].
Definición 3.3: El equilibrio del sistema continuo difuso descrito por (52) es asintóticamente estable si existe una matriz positiva definida P tal que
GiiT P + PGii < 0 (56)

para toda i y j excepto los pares (i, j) tal que hi (z (t)) h j ( z ( t )) = 0, ∀t.
Por ende, para la ubicación de los polos del observador en regiones LMI, se aplican las mismas definiciones del controlador. Para la tasa de decaimiento, aplicando la Definición 3.1 se tiene a (53) y (54) siendo Li = P-1N i .
IV. CASO DE ESTUDIO: SISTEMA DE LEVITACIÓN MAGNÉTICA
A. Descripción del proceso
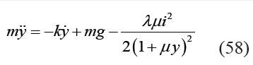
En la presente investigación se desea diseñar un controlador difuso TSK para un sistema de levitación magnética, basado en las definiciones previas de estabilidad mediante LMI. En la Fig. 7 se puede observar la configuración de la planta, cuyo modelo matemático está dado por [21]:

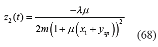
donde m representa la masa de la esfera, g es la aceleración de la gravedad, μ y k son constantes positivas, i es la corriente eléctrica e y es la posición de la esfera.
De acuerdo con [21] las variables de estados del sistema se definen como
, se tiene la siguiente representación:
![]()

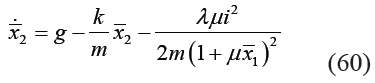
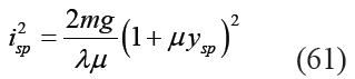
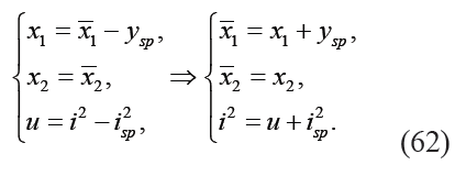
A fin de mantener la bola en la posición deseada sp y y = (punto de equilibrio), se puede entonces, obtener la corriente necesaria para alcanzar el objetivo, haciendo
en (59) y (60), se tiene

Como se puede observar el punto equilibrio del sistema no es el origen, si no que se encuentra en
, para el análisis de estabilidad es necesario trasladarlo al origen
, para ello definimos las nuevas coordenadas:

Por tanto, se tiene que
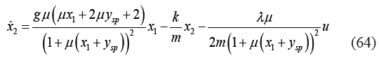
. Sustituyendo (62) en (60) y realizando operaciones algebraicas, el nuevo sistema queda:
![]()

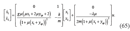
Finalmente de (63) y (64) se tiene el modelo en espacio de estado definido en (65) y (66).


Los valores de los parámetros de la planta son: m = 0.05Kg, l = 0.460H, g = 9.8m/s2, k = 0.001N/m y m = 2m-1.
B. Diseño del modelo difuso
En la obtención del modelo difuso se utilizó el método de sector de no linealidad local [17], donde en este caso, la variable de referencia que es la posición, es una variable física y puede ser acotada dentro de una región local, esto es un rango de trabajo en la región
y el punto de operación . ysp (t) ∈[0.04, 0.11]m.
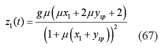
Para ello tomamos los términos no lineales del sistema en espacio de estado y los definimos como:


El sistema en espacio de estado (65) queda entonces definido como:

A continuación se calculan los máximos y mínimos [23], de (67) y (68)




De este modo el sistema en espacio de estado pueden ser representados como un modelo Takagi-Sugeno- Kang [17], dados en (6) y (7), esto es una combinación lineal convexa de sub-modelos locales:


siendo:

Mientras que hi(z (t)) está dado por (8) con wi(z (t)) igual a

![]()
![]()
![]()
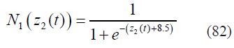
donde Mi (z1(t)) y Ni (z2(t))son las funciones de membresía, la cual corresponde a la función sigmoidal, Fig. 8:



![]()
Cada función de membresía se puede nombrar como "Grande", "Pequeña", "Positiva" y "Negativa", respectivamente. El sistema no lineal puede ser representado mediante el siguiente modelo difuso:








En el diseño del observador difuso se definen el conjunto de sub-modelos locales difusos de acuerdo a (48), donde se comparten los mismos antecedentes del modelo difuso T-S para la elaboración de cada regla, esto es:




Ahora para el diseño del compensador TSK mediante LMI, consiste entonces en obtener un controlador Ki ext que satisfaga las restricciones (28),(29) , (36), (37) y un observador Li que cumpla con las restricciones (53) y (54). Siendo Ki ext = MiX-1 y Li = P-1 Ni.
Mientras que los parámetros de diseño para el regulador son a= -8, q = -8 r = -30, g = p/4 y para el observador es α= -70 con condiciones iniciales


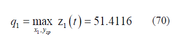
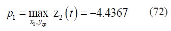
Se realizaron las simulaciones correspondientes a la salida del sistema y el esfuerzo de control, para variaciones en la referencia, esto es ysp = [0.1,0.05, 0.08 ]m para un tiempo de t =5s. Se midieron la posición de la esfera y, Fig. 9, la cual sigue fielmente la señal de referencia en el tiempo, para el primer punto de operación de 0.1 m se observa un desempeño de td = 0.094s tr = 0.25s ts = 0.5s y en todos los puntos de operación un Mp < 5% .
El esfuerzo de control del sistema se puede observar en la Fig. 10, su valor pico es de 3.1 A2, por tanto el consumo máximo de corriente es entonces de 1.76 A. Es decir el sistema cumple con los requisitos de diseños planteados, esto claro está usando una función de membresía sigmoidal, la cual es la que mejor representa al comportamiento sistemas no lineales.
VI. CONCLUSIONES
En este trabajo se ha presentado y empleado el concepto de esquema difuso extendido para el diseño de controladores y observadores difuso TSK. Esto permite ampliar el rango de operación de sistemas no lineales, lo cual brinda una mayor flexibilidad en sistemas de naturaleza inestable ya que se puede elegir un punto de operación arbitrario dentro de una región definida previamente, pero que, junto con un esquema difuso extendido se obtiene un seguimiento robusto de la referencia.
El diseño del algoritmo difuso TSK usando inecuaciones matriciales lineales, permite formular nuevas condiciones de estabilidad como restricciones de los parámetros de desempeño transitorio, garantizando un desempeño deseado del sistema en lazo cerrado, como el que se obtuvo en este trabajo.
Estos algoritmos de control difuso TSK-LMI, resultan de este modo, ser muy eficientes y presentan excelente desempeño para procesos complejos y altamente no lineales.
RECONOCIMIENTO
Un reconocimiento especial al Centro de Investigación de Instrumentación y Control de la UNEXPO, Puerto Ordaz, Venezuela, por avalar esta investigación.

RESUMEN BIOGRÁFICO DE AUTORES
Saturno Sarmiento.
Profesión: Ingeniero Electricista, Abril 1987 - UNEXPO-POZ.
Estudios de especialización en Ingeniería Electrónica y Comunicaciones con la universidad de Zaragosa - España.
Estudios de Maestria en Ingeniería Electrónica con la UNEXPO - POZ.
Estudios Doctorales en Ciencias de la Ingeniería con la UNEXPO - POZ.
Profesor de Pre y Postgrado en el área de Sistemas de Control en la UNEXPO - POZ.
Lineas de investigación: Inteligencia Artificial aplicada a Redes de Control de Procesos y Sistemas Tolerantes a fallos.
Adscrito al Centro de Investigación de Instrumentación y Control de la UNEXPO - POZ.
Correo eléctronico: ssunexpo@gmail.com
REFERENCIAS
1. T. Takagi and M. Sugeno, "Fuzzy identification of systems and its applications to modeling and control," IEEE Transactions on Systems, Man and Cybernetics, vol. 15, no. 1, pp. 116132, 1985.
2. S. Boyd, L. E. Ghaoui, E. Feron, and V. Balakrishnan, "Linear Matrix Inequalities in System and Control Theory", vol. 15, Society for Industrial and Applied Mathematics, Philadelphia, Pa, USA, 1994. [ Links ]
3. S. Boyd, L. Vandenberghe, "Convex Optimization". Cambridge University Press, United Kingdom, Cambridge, 2004. [ Links ]
4. J. Sturm, "Using Sedumi 1.02, a Matlab Toolbox for Optimization over Symmetric Cones", Department of Econometrics, Tilburg University, October 2001. [ Links ]
5. P. Parrilo, "Algebraic Optimization and Semidefinite Optimization", CWI Amsterdam, May 2010. [ Links ]
6. K. Tanaka, T. Ikeda and H. Wang, "Fuzzy Regulators and Fuzzy Observers: Relaxed Stability Conditions and LMI-Based Designs". IEEE Transaction on Fuzzy Systems, vol. 6, No. 2, pp. 250-264 1998. [ Links ]
7. M. Sugeno and G. Kang, "Fuzzy Modeling and Control of Multilayer Incinerator", Journal of Fuzzy Sets Systems, Vol. 18, No. 3, pp. 329-345, April 1986. [ Links ]
8. G. Kang and W. Lee, "Design of TSK fuzzy controller based on TSK fuzzy model using pole-placement", IEEE International Conference on Fuzzy Systems, Vol. 1, pp. 246251, ISSN: 1098- 7584, Anchorage, Alaska, USA, May 4, 1998. [ Links ]
9. M. Chilali, P. Gahinet, H∞ Design with pole placement constraints: an LMI approach", IEEE Transactions on Automatic Control, Vol. 41, No. 3, pp 358-367, 1996. [ Links ]
10. P. Korba, R. Babuska, and H. Verbruggen, "Fuzzy Gain Scheduling: Controller and Observer Design Based on Lyapunov Method and Convex Optimization", IEEE Transaction on Fuzzy Systems, Vol. 11, No. 3, June 2003. [ Links ]
11. H. Wang, K. Tanaka, and M. Griffin, "Parallel distributed compensation of nonlinear systems by Takagi and Sugenos fuzzy model", in Proc. FUZZ-IEEE, pp. 531538, Yokohama, Japan, 1995. [ Links ]
12. K. Tanaka and M. Sugeno, "Stability analysis and design of fuzzy control systems", Fuzzy Sets Syst., Vol. 45, No. 2, pp. 135156, 1992. [ Links ]
13. K. Tanaka and M. Sugeno, "Stability analysis of fuzzy systems using Lyapunovs direct method", in Proc. NAFIPS, pp. 133136, Totonto, Canada, 1990. [ Links ]
14. S. Sarmiento, "Ampliación del rango de operación de plantas no lineales de naturaleza inestable usando algoritmos de control difuso TSK", UNEXPO, Ciudad Guayana, 2013. [ Links ]
15. S. Kawamoto, K. Tada, A. Ishigame, and T. Taniguchi, "An approach to stability analysis of second order fuzzy systems", in Proc. IEEE Int. Conf. Fuzzy Syst., pp. 14271434, 1992. [ Links ]
16. P. Korba and P. M. Frank, "An applied optimization-based gain-scheduled fuzzy control", in Proc. Amer. Control Conf., pp. 33833387, Chicago, IL, June 2000. [ Links ]
17. K. Tanaka and H. Wang, "Fuzzy Control Systems Design an Analysis", sJhon Wiley & Sons, Inc., New York, 2001. [ Links ]
18. S. Gutman and E. Jury, "A general theory for matrix root clustering in sub-regions of the complex plane", IEEE Transaction on Automatic Control, vol. 26, pp. 853-863, 1981. [ Links ]
19. F. Yacef, O. Bouhali and F. Boudjema, "Takagi- Sugeno Model for Quadrotor Modelling and Control using Nonlinear State Feedback Controller", International Journal of Control Theory and Computer Modelling (IJCTCM) Vol.2, No.3, May 2012. [ Links ]
20. K. Ogata, Modern Control Engineering, New Jersey: Prentice-Hall, 1998. [ Links ]
21. H. Marquez, "Nonlinear Control Systems Analysis and Design", Wiley, New Jersey, USA, 2003. [ Links ]
22. M. Santim, M. Teixeira, W. de Souza and R. Cardim, "Design of a Takagi-Sugeno Fuzzy Regulator for a Set of Operation Points", Mathematical Problem in Engineering, Vol. 2012, Article ID 731298. April 2012. [ Links ]











uBio 








