Universidad, Ciencia y Tecnología
versión impresa ISSN 1316-4821
uct vol.21 no.82 Puerto Ordaz mar. 2017
MODELADO, SIMULACIÓN Y DISEÑO DE UN BANCO DE PRUEBAS APLICADO A UN CONTROLADOR DE CICLOS USADO EN UN SISTEMA DE CALENTAMIENTO INSTALADO EN UNA PLATAFORMA COSTA AFUERA
Herman E. Fernádez H. Ingeniería SGI C.A. Editor de la UCT. hfernandez@unexpo.edu.ve
Resumen:
El método de control de ciclos completos o disparo por ráfagas es una estrategia adecuada in aplicaciones de calentamiento, donde la potencia transferida a elementos resistivos es controlada por regulación de ciclos completos ON-OFF de la fuente de suministro. El método es apropiado para cargas de alta inercia tal cual a los calentadores industriales. El calentador de Glicol instalado en la plataforma costa afuera es usado para evaporar el agua contenida en el gas recirculado. El sistema trabaja basado en control de ciclos pero con un patrón de frecuencia variable cuando la señal de referencia es ajustada. Aunque es un diseño con una topología muy simple, desafortunadamente son desconocidos algunos aspectos técnicos: estructura en bloques, diagrama electrónico del circuito, estrategia de control, ecuaciones y una metodología enfocada para desarrollar pruebas en el laboratorio. En este artículo, en primer lugar, es discutida la descripción global de la unidad de control. Segundo, cada etapa es modelada acorde a términos de funcionalidad: circuito de sincronización, el detector de voltaje cero y la unidad de temporizado donde son calculados los intervalos de conexión y desconexión, inherentes al método de control. Tercero, son mostrados los resultados de la simulación tomando en cuenta cada etapa separadamente y evaluando todo el sistema. Cuarto, el comportamiento experimental es examinado usando un prototipo efectivo para evaluar el controlador. Quinto, las simulaciones con PSpice y las pruebas experimentales son discutidas para verificar la vialidad del análisis teórico. Por último, un arreglo con un controlador lógico programable es propuesto como una posible opción para reemplazar la unidad analógica.
Palabras Clave: Sistema de Calentamiento, Convertidor AC/AC, Control de Ciclos Completos, Control por Ráfagas, PSpice, Modelado, Simulación, Plataforma Petrolera.
MODELLING, SIMULATION AND TEST BENCH DESIGN APPLIED TO INTEGRAL-CYCLE CONTROLLER USED ON HEATING SYSTEM INSTALLED IN OFFSHORE PLATFORM
Abstract:
Integral-cycle or burst firing method is a strategy suited in heating applications, where power transfer to the resistive elements is controlled by regulation whole cycles ON-OFF of supply voltage. This method is appropriate for high-inertia load such as industrial heaters. Heater-Glycol installed in off-shore platform is used to evaporate the water contained on the recirculated gas. This system works based on integral-cycle principle but to variable frequency pattern when reference signal is adjusted. Although is a design with a very simple topology, unfortunately are unknown some technical aspects: block structure, circuit schematic diagram, control strategy, equations and a methodology focused to develop laboratory tests. In this paper, first, an overall description of control unit is discussed. Second, each stage is modeled according functionality terms: synchronization circuit, voltage zero detector and timing unit where are computed intervals both connection and blocking inherent to the control method. Third, simulation results are showed taking account each stage separately and evaluating whole system. Fourth, experimental behavior is examined using an effective prototype to evaluate it controller. Fifth, PSpice simulations and experimental tests are discussed to verify the viability of theoretical analysis. At last, an array with a programmable logic controller is proposed as a possible option to replace the analog unit.
Key words: Heating system, AC/AC Converter, Integral-Cycle Control, Burst Firing, PSpice, Modelling, Simulation, Oil Platform.
Recibido (10/05/16), aceptado (06/03/17)
I. INTRODUCCIÓN
El siguiente trabajo contempla el análisis, el modelado, la simulación, el diseño de un banco de pruebas para la unidad de control y una alternativa para el reemplazo del controlador analógico del calentador de Glicol, instalado en la Plataforma Petrolera 4F, ubicada a 5Km de Pedernales y a 70Km de Güiria en Venezuela, donde diariamente se extraen más de treinta mil barriles de petróleo a cargo de PDVSA.
Se trata de una aplicación crítica, por cuanto el calentador se encarga de remover el agua contenida en el gas extraído en un ciclo continuo de producción, lo cual amerita, contar con la información detallada orientada a describir el modo de funcionamiento del controlador, con el objeto de facilitar pronta y eficazmente, las labores de mantenimiento correctivo.
Hasta el penúltimo trimestre del año 2015, el personal de la planta, disponía como soporte un informe enmarcado en una visión global de las tarjetas electrónicas; específicamente lo concerniente a: 1) la identificación de las borneras o conectores, guiando al usuario en la conexión de la alimentación AC, los puertos destinados para la activación de un relé de estado sólido de potencia colocado externamente, así como las distintas alternativas para la admisión de la señal de referencia (rango de trabajo y tipo de perfil, esto es, corriente o voltaje), 2) la tabla de especificaciones técnicas (rango de operación) y 3) una visión general de la técnica de control usada para el ajuste de la temperatura, sin mencionar su utilidad en el propio calentador de Glicol.
Debido a la escasa información detallada de la unidad de mando integrada en el calentador o hervidor de Glicol, los gerentes de la planta aprobaron adjudicar un contrato a una empresa especializada en ingeniería electrónica, con el objeto de desarrollar un informe técnico del equipo. Consecuentemente a las operaciones de inspección, se ha logrado consignar un documento inédito, el cual cubre los detalles de la unidad de mando, contemplando los pormenores del plano electrónico, los ensayos computacionales, el diseño de un emulador o bancada de prueba, y considerando por último como opción emergente, la posibilidad de sustitución de las tarjetas electrónicas [1].
Esencialmente, el trabajo está organizado bajo las siguientes pautas: diagrama de bloques de la unidad de mando a partir del plano elaborado, exposición de los modelos enfocados en las distintas etapas del controlador, presentación de los ensayos de simulación, exhibición del banco de pruebas junto a las mediciones realizadas, comentarios relacionados a la validación de los resultados, y descripción breve de una opción de sustitución de las tarjetas electrónicas en base a un autómata programable o PLC. Finalmente, se exponen las conclusiones del trabajo.
II. DESARROLLO
2.1 Diagrama de bloques del controlador
La Fig.1 muestra el diagrama de bloques de la unidad de mando del calentador de Glicol, elaborado en base al plano desarrollado, tras la inspección de las tarjetas electrónicas [1].
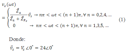
Acorde a los ensayos de simulación y a las pruebas experimentales con la bancada, se ha determinado el funcionamiento del circuito fundamentado en el método llamado Control de Ciclos (Integral-Cycle Control o Burst Firing) [2]. Esta modalidad proporciona en los terminales de la carga, una onda periódica formada por la combinación de ciclos completos de encendido o Ciclos ON ( N ), seguido por una secuencia de ciclos de apagado o Ciclos OFF ( M ). Bajo diversas opciones de relación entre N , M y T (período de la red AC) se consigue regular la potencia en la salida. Esta estrategia es efectiva en aplicaciones donde la carga está caracterizada por una alta constante térmica, tal como se evidencia en el calentador de Glicol.
En la Fig.1 se ilustra el conexionado de la tarjeta con la señal de mando y con la fuente de 24VAC, así como la disposición para adaptarse a un relé de estado sólido o SSR ( Solid State Relay ) de uso externo, destinado a dosificar la potencia sobre elementos calefactores (no mostrados en el esquema, por ser poco pertinentes al análisis expuesto a continuación).
A partir del suministro AC, se obtiene mediante el proceso combinado de rectificación, filtrado y regulación, la fuente estabilizada de 10VDC, la cual abastece a los circuitos integrados y polariza ciertos componentes de la tarjeta.
El controlador se sincroniza a la red sinusoidal por intermedio de dos secciones:
1) Por el tratamiento de la señal sinusoidal rectificada de media onda con retardo de fase de 0° eléctricos, a través de la red de atenuación, el comparador de nivel cero U1D y el circuito derivador conectado a la entrada del comparador U1B.
2) Tratando la señal sinusoidal rectificada de 180° eléctricos de desfasaje con la red de fijación o Clamping. Circuito encargado de limitar la tensión en su salida a 6,2V, durante el semiciclo comprendido entre 180° a 360° eléctricos de la señal sinusoidal, mientras la salida Q permanece en cero voltios.
El voltaje registrado en la entrada no inversora del amplificador U1A, está acorde a la señal de referencia aplicada en la entrada, donde se establece una relación proporcional con la señal de corriente proveniente del PLC.
La tensión resultante en este punto, modifica la magnitud de la intensidad que carga el condensador del integrador U1A, impactando los parámetros de control N y M .
El comparador con banda de histéresis confeccionado con el U1C, fija el rango de la tensión de carga y de descarga del condensador del U1A. Concretamente, los ciclos de conexión de las resistencias del calentador de Glicol, están relacionados con la corriente de carga determinada por la señal de mando aplicada en W. La salida del comparador U1C se acondiciona con el MOSFET Q1, para activar (Q1 ON) o desactivar (Q1 OFF) al relé de estado sólido conectado en los terminales +H1 y H1.
2.2. Modelado y simulación del controlador
A continuación se describen las etapas del controlador a fin obtener el modelo correspondiente, el cual facilita la comprensión de los distintos modos de funcionamiento, la formulación de las pruebas, así como la validación de los ensayos.
2.2.1 Sincronismo con la red AC
El diseño toma dos señales de referencia para el sincronismo con la red AC. Se aprecia en la Fig.2, el esquema que describe al circuito de atenuación conectado al amplificador operacional U1D.
La salida de la red de atenuación responde a las siguientes condiciones:

Vs: es el voltaje RMS que ingresa del transformador externo.
Para el cálculo se ha considerado la impedancia en paralelo formada por:


Por tratarse de una fuente sinusoidal, la tensión en el mismo punto es:

Esta ecuación indica la presencia de una señal sinusoidal de amplitud máxima igual a 4,79V y con un retardo de fase de 32,13° eléctricos en los extremos del condensador.
El voltaje de referencia impuesto en la terminal e(-) del amplificador U1D se calcula aproximadamente por:

Consecuentemente, la tensión de referencia en el terminal inversor del amplificador U1B es:

2.2.2 Detector de ciclos
La operación matemática del circuito de la Fig.3 está sujeta a la condición
<T/2, la cual se cumple considerando que
siendo T/2=8,33ms (f=60Hz).
Si se considera la caída de tensión en 0,5V correspondiente a los diodos que conducen en cada flanco de la señal cuasi-cuadrada, además de tomar en cuenta la tensión de referencia calculada anteriormente, se puede calcular la duración del pulso emitido por el amplificador U1B, como:
En consecuencia, el ancho del pulso es:

Como se expondrá posteriormente, el valor aportado por el ensayo de simulación es de 453μs, el cual se ajusta al valor calculado.

2.2.3. Temporización de ciclos
En razón a la incidencia de las señales de entrada del amplificador U1A sobre la corriente de carga y descarga del condensador de temporización
elemento fundamental junto a la señal de referencia externa para determinar los parámetros de ajuste del control de ciclos, es conveniente proceder con los cálculos en las redes asociadas, sin descartar, los puntos de graduación de los potenciómetros 
A partir del circuito de la Fig.4 se determina el voltaje Thevenin el cual se aplica en el terminal e(+) del opamp U1A:

Donde se cumple: 
Siendo: I PLC : corriente de referencia proporcionada por el PLC a fin de corregir la temperatura del calentador. Ámbito de ajuste 4 a 20mA. Como la función de temporización de los intervalos del control de ciclos está determinada por los estados del interruptor ilustrado en la figura, se han considerado los dos estados por separado.
A un valor de referencia de 10mA y x=0,85, la corriente de carga del condensador C T es aproximadamente 3,125μA [1].
En el ciclo de apertura, la corriente de descarga tomando en cuenta las cuantificaciones indicadas se calcula como [1]:


Como se ha indicado previamente, los límites de carga y descarga dependen de la condición del comparador de histéresis U1C y el interruptor electrónico U2D, ver la Fig.5.
El valor de tensión en el terminal e(-) del comparador con histéresis es de 5,46V. Cuando VG=0, la tensión del condensador se limita en el terminal e (+) del U1C a:

Se considera como valor límite una tensión de 7V. Tomando el voltaje de saturación del comparador U1C idealmente como 10V, es decir, VG =10, se plantea la siguiente inecuación:

Se deduce entonces que:
![]()
El rango ideal de carga y descarga del condensador se establece aproximadamente de 4 a 7V. La variación de tensión en un condensador está confinada a:


Siendo
I la magnitud de la corriente la cual cambia de acuerdo al modo de carga o descarga del condensador ![]()
El ciclo de carga se evidencia durante el intervalo
, por tanto:
)
Aplicando el mismo procedimiento precedente, se obtiene:

El número de ciclos de la red AC que se transfieren o bloquean a los elementos calefactores del sistema se puede calcular a partir del período de la señal sinusoidal que equivale a 16,66ms, esto es:

A partir de los cálculos mostrados, se confirma la operación del circuito bajo la técnica Control de Ciclos . Al establecer dos niveles prácticamente fijos en la banda de 4-7V, se limita la tensión de carga y de descarga del condensador C T , modificando el parámetro N + M acorde a la corriente extraída o inyectada en el dispositivo. Bajo tal circunstancia, se puede afirmar que el controlador instalado en el calentador de Glicol trabaja a frecuencia variable, diferenciándose de las propuestas clásicas donde regularmente es constante el parámetro N + M [3]-[5].
III. RESULTADOS
3.1 Registro de múltiples señales con el simulador
Uno de los programas de simulación acreditado para analizar circuitos eléctricos y electrónicos es el PSpice. A lo largo de los años ha demostrado su potencial en múltiples escenarios. Citando casos emblemáticos como herramienta didáctica [6]-[9], de investigación [10]- [12], orientada al entrenamiento de personal externo a la universidad [13-14], para atender casos industriales, e incluso, en el área vinculada con las fuentes de energías renovables [15]-[19]. Por estar el lineamiento de esta disertación relacionada en el área de los circuitos, se ha elegido el PSpice para explorar por simulación, las etapas y en un contexto global, al controlador de ciclos integrado en el calentador de Glicol.
Seguidamente, se agrupan secuencialmente las señales en distintos puntos del circuito, a fin de validarlas posteriormente con los patrones correspondientes captados en el banco de pruebas.
La Fig.6 agrupa un registro de señales en distintas etapas del circuito. Específicamente se ilustra en arreglo descendente: la tensión en el capacitor del circuito atenuador junto al nivel DC establecido por el potenciómetro R2_Zero, la respuesta del comparador U1D, la tensión proporcionada por el circuito derivador comparada con la tensión resultante del divisor mostrado en la Fig.3, y la salida del amplificador U1B, caracterizada por un pulso con duración de 453μs. Se distinguen como los parámetros de las señales mostradas, se adaptan a los cálculos presentados en al apartado anterior.
La Fig.7 permite corroborar la proporción de ciclos de conexión N=6 y por desconexión M=5 , cuando se aplica una señal de referencia equivalente a 10mA, conforme a los cálculos expuestos.

En la Fig.8 se agrupan las señales captadas en distintas etapas del controlador. En ambos casos se ordenan en arreglo descendente: la señal AC de media onda, la conversión sinusoidal a cuadrada, la respuesta del derivador, los pulsos por cada ciclo, la tensión de salida proporcionada por el integrador y los pulsos de mando del transistor Q1, equiparables a los intervalos ON-OFF que componen el control de ciclos.



La Fig.8a contiene las señales tomadas a una entrada de referencia igual a 10mA. Luego, se repite la misma secuencia en la Fig.8b, pero ahora incrementando la señal de referencia a 15mA. Es notoria la respuesta del circuito permitiendo la apertura del ciclo de activación de la salida, lo cual conlleva al aumento de la potencia de los elementos calefactores en el sistema real.
Durante la fase de carga, es imperceptible el efecto de conmutación del interruptor conectado en la salida del opamp U1A. De hecho la señal registrada, presenta un perfil tipo rampa acorde a los cálculos expuestos.
3.2 Bancada de prueba y registro de señales
La plataforma diseñada de acuerdo a la Fig.9 permite comprobar el funcionamiento de las tarjetas del equipo. En principio, la fuente variable en la entrada emula la señal proveniente del PLC. Su ajuste permite apreciar el cambio de la frecuencia en la intermitencia del bombillo y del LED integrado en cada tarjeta. La Fig.10 resume en cada recuadro, las señales registradas en distintas etapas del controlador, manteniendo la misma secuencia conforme a la Fig.7 y Fig.8, a fin de facilitar la validación del estudio a simple vista. Se aprecia en orden descendente: la señal del circuito atenuador, la salida del comparador de la etapa de sincronismo, las entradas del circuito derivador, los pulsos de mando del interruptor conectado al integrador, la rampa de temporización y los intervalos de conexión y desconexión impuestos por el método.


El recuadro de la derecha muestra la incidencia en el control ON-OFF al incrementar la señal de referencia. La recopilación de los trazos es similar a las señales captadas en la pruebas de simulación.
3.3. Control directo con el PLC
Finalmente, se propone el principio de una estrategia para llevar a cabo el control de ciclos mediante un PLC, si el autómata dedicado a la aplicación, dispone de los medios necesarios (hardware) y un tiempo suficiente de barrido o Scan, para implantar el control de ciclos, regular la temperatura del calentador (rutina PI), así como para atender la gestión de vigilancia y otras tareas asignadas en el sistema.
La Fig.11 es un esquema general de la propuesta. El sincronismo con la red AC es opcional, por cuanto los relés de estado sólido cuando son activados y perdure tal condición en un intervalo considerable, transfieren energía a las resistencias de potencia en ciclos completos de la señal sinusoidal.
Otra causa para prescindir del sincronismo indicado, es la digitalización de los intervalos de temporizado en la memoria del autómata, equiparables a los ciclos de conexión y desconexión en función a la señal de referencia, siguiendo los criterios obtenidos en los ensayos de simulación y a los datos aportados por la plataforma diseñada para el registro de señales. En tal circunstancia, el PLC pudiese establecer aproximadamente los ciclos ON-OFF según los datos indicados en la Tabla I.
Un aspecto favorable de la propuesta, es la conexión directa del PLC a cada SSR por cuanto los relés de estado sólido admiten por lo general, señales de 0 a 24V, además de garantizar el aislamiento galvánico del PLC con la red AC.
Los tiempos recopilados en la Tabla I deben ser ajustados para confeccionar la operación del calentador.
IV. DISCUSIÓN DE RESULTADOS
A rasgos generales, las señales captadas en la bancada experimental, son semejantes a las obtenidas con la herramienta de simulación PSpice: etapa de atenuación con retardo de fase respecto a la red AC, circuito derivador, salida del integrador, control ON- OFF, así como también, la respuesta asociada a cada comparador.


De igual manera, los cálculos desarrollados guardan similitud con los parámetros de las señales presentadas con el PSpice y a las obtenidas con el emulador.
Un aspecto resaltante del estudio, es la determinación del método de control de ciclos a frecuencia variable, tras variaciones de los parámetros N y M inherentes a la técnica. Aun cuando esta estrategia ha mostrado efectividad en la aplicación, no es la opción más conveniente, cuando se considera el tema de generación de armónicos que inclusive se sitúan en valores inferiores a la frecuencia de la red AC.
V. CONCLUSIONES
El trabajo presentado junto al informe consultado, son un aporte tecnológico para PDVSA, por cuanto expone detalladamente la descripción del circuito, los cálculos usados como soporte del modelo, los ensayos de simulación, las pruebas experimentales, la validación de los ensayos y por último, las opciones de sustitución del controlador.
Adicionalmente, se puede catalogar como un material inédito de interés capital para las labores de mantenimiento correctivo y especialmente, por facilitar la formación especializada del personal que atiende el calentador de Glicol.
El análisis expuesto está en correspondencia con el método de control de ciclos; técnica adoptada en sistemas usados para el calentamiento en base a resistencias de potencia o al calentamiento resistivo.
AGRADECIMIENTO
El autor expresa su especial agradecimiento al Ingeniero William Sosa , Ingeniería SGI C.A. Al personal de PDVSA y a los ingenieros de la Plataforma 4F: Josué Rondón, Pedro Gámez, José Escalante y José Dimas.
VI. REFERENCIAS
[1] Fernández, H. Evaluación Técnica de las Tarjetas de Control del Calentador de Glicol . Ingeniería SGI. C.A., Octubre 2015, pp.1-25.
[2] Rashid M. H. Power Electronics Handbook: Devices, Circuits and Applications . Third Edition. Academic Press, Elsevier, San Diego, 2007. [ Links ]
[3] Bhat A.K.S. Novel control schemes for 3-phase zero voltage switching . IEEE Trans. on Industrial Electronics and Control Instrumentation, Vol. IECI-27, No.2, May 1980, pp.81-86.
[4] Zrudsky D. and Webb J. Proportional AC Power Control with Zero-Fire Capability . IEEE Trans. on Industrial Electronics, Vol.40, No.4, August 1993, pp.453-458.
[5] Rahman A., Haque S.E. and Abdurahman I. A Digital Self-Compensating Method for Integral Cycle Power Control . IEEE Trans. on Industrial Electronics and Control Instrumentation, Vol. IECI-27, No.2, May 1980, pp.49-52.
[6] Rashid M. and Rashid H. Spice for Power Electronics and Electric Power . CRC, Second Edition, Boca Ratón, 2006.
[7] Mohan N. Power Electronics: Computer Simulation, Analysis and Education Using Pspice . Minnesota Power Electronics Research & Education. Minnesota, [ Links ] 1999.
[8] Ramshaw R. and Schuurman D. PSpice. Simulation of Power Electronics Circuits . Chapman & Hall. London, 1997.
[9] Maksimovic ́ D., Stankovic ́ A. M., Thottuvelil V. J. and Verghese G. C. Modeling and Simulation of Power Electronics Converters . Proceeding of the IEEE, Vol.89, No.6, pp.898-912.
[10] Biolek D., Biolkova V. and Kolka Z. Average modeling of switched converters based on SPICE models of semiconductors switches . Proceedings of the 7TH, WSEAS Int. Conf. on Circuits, Systems, Electronics, Control and Signal Processing (CSECS), 2008, pp.162-167.
[11] Shireen W. and Nene H. Control and Design Aspects of Power Converters Using PSpice . Advanced Technology for Learning, Vol.3, No.1, 2006, pp.42-48.
[12] Schwartzenberg J., Tsay C.L., and Fischi R. A Spice Model for Gate Turn-Off Thyristor . North American Power Symposium, October, 1990, pp.145-159.
[13] Fernández H. Simulación de Convertidores de Potencia con PSpice. Tomo I y II . Orientado a CVG Venalum. Formación y Educación Continua, Fundiup, Unexpo Puerto Ordaz, Marzo, 2007. [ Links ]
[14] Fernández H. Análisis y Simulación de Circuitos Eléctricos y Electrónicos con PSpice. Orientado a CVG Bauxilum. Formación y Educación Continua, Fundiup, Unexpo Puerto Ordaz, Abril, 2007.
[15] Mohan N. Learn a True Building-Block Approach to Power Electronics and, Using Unifying Analysis (Assisted by PSpice Modeling), to Design Feedback Controllers in Switch Mode DC Power Supplies, Power-Factor-Correction Circuits, and Motor Drives . Minessota, 1999- 2000.
[16] Mohan N. Explanation of De-tuning in Vector Controlled Induction-motor Drives Simplified by Physical-principles-based Analysis and PSpice Modeling . European Power Electronics Conference, Lausanne, 1999, p.1-10.
[17] Stier S.H. and Mutschler P. An Investigation of Reliable Behavioral IGBT Model in Comparison to PSpice and Measurement in Hard and Switching Applications . European Power Electronics Conference, Dresden, 2005, p.1-10.
[18] Castañer L. and Silvestre S. Modelling Photovoltaic Systems Using PSpice . John Wiley & Sons, LTD, Chichester, 2002.
[19] Fernández, H., Martínez A., Guzmán V., y Giménez M. A Simple, Low Cost Design Using Current Feedback to Improve the Efficiency of a MPPT-PV Systems for Isolated Locations . 13th International Conference, EPE-PEMC, September, Poznan, 2008, pp.1-5.











uBio 
