Serviços Personalizados
Journal
Artigo
Indicadores
-
Citado por SciELO -
Acessos
Links relacionados
-
Similares em
SciELO
Compartilhar
Salus
versão impressa ISSN 1316-7138
Salus vol.16 no.2 Valencia ago. 2012
Patrón de los movimientos respiratorios en el feto sano con crecimiento normal
Marisol García Noguera
Unidad de Perinatología, Universidad de Carabobo. Correspondencia: Marisol García N. E-mail: mgarcia2@uc.edu.ve
Financiamiento: CDCH-UC
RESUMEN
La investigación tuvo como objetivo teorizar sobre el patrón de los movimientos respiratorios en el feto sano. Se abordó un modelo descriptivo de corte transversal que estudió la variable mediante tecnología Doppler color a través de análisis de series temporales y la teoría de los sistemas dinámicos. La población constituida por embarazadas y la muestra por 30 señales de audio de las pacientes que cumplieron con los criterios de inclusión. Éstas se adquirieron con un equipo de ultrasonido-Doppler color Marca APOGEE 800 PLUS con transductor convex de 3,5 Mhz que recogió la señal analógica de audio a través de una conexión BNC a RCA de la salida de audio y video delequipo almacenándose en computadora personal, bajo Windows con software Adobe Systems y Audacity, que permitió exportar los datos de audio a datos numéricos y aplicar análisis matemático. Para el análisis no lineal se procesaron los datos con los paquetes fdm, Rtisean y tseriesChaos bajo programación R. Obtenida la dimensión de correlación (DC), se dividió la muestra en 2 grupos: embarazos con fetos prematuros (32 a 36 semanas) y a término (37 a 38 semanas). La Χ ± DS de la DC en fetos a término fue = 0, 71 ± DS 0,06 y en el grupo prematuro de 0,73 ± DS 0,06 con una prueba t = - 2,304 y un P valor < 0,023* estadísticamente significativa. Se concluye que la identificación de los patrones de los MRF durante la gestación engloba una variabilidad y complejidad del comportamiento de un sistema dinámico.
Palabras clave: Movimientos respiratorios fetales, muestras de audio, serie temporal.
Pattern of respiratory movements in the healthy fetus with normal growth
ABSTRACT
The research aimed to theorize about the pattern of respiratory movements in the healthy fetus. A descriptive cross sectional model that studied the variable using color Doppler technology through time series analysis and the theory of dynamical systems was used. The population consists of pregnant and sample audio signals for 30 of the patients met the inclusion criteria. These were acquired with a team of color Doppler ultrasound Mark APOGEE 800 PLUS 3.5-MHz convex transducer that picked up the analog audio signal through a BNC connector to RCA audio output and video equipment being stored in computer staff under Windows with Adobe Systems and Audacity software, which allowed to export the audio data to numeric data and apply mathematical analysis. For nonlinear analysis the data were processed with the packages fdm, and tseriesChaos Rtisean on schedule A. Obtained the correlation dimension (CD), the sample was divided into 2 groups: pregnancies with preterm fetuses (32 to 36 weeks) and term (37 to 38 weeks). The Χ ± SD of the DC in fetuses at term was = 0, 71 ± SD 0.06 and in the premature group 0.73 ± 0.06 SD with a test t = -2.304 and a P value <0.023 * statistically significant. We conclude that the identification of patterns of MRF during pregnancy includes variability and complexity of the behavior of a dynamical system.
Key words: Fetal respiratory movements, audio samples, time series
Recibido: Octubre 2011 Aprobado Enero 2012
INTRODUCCIÓN
El descenso de la mortalidad perinatal a 12 por 1000 en la mayoría de los centros en relación a la década pasada se debe a la aplicación de técnicas específicas de evaluación fetal. Es así como, a través de la ecografía de alta resolución se ha hecho cada vez más posible el diagnóstico preciso no sólo de la asfixia aguda y crónica sino de la salud fetal (1).
Para ello se han estudiados diversas variables biofísicas del feto indicadores de bienestar fetal como el tono fetal, los movimientos fetales espontáneos, la cantidad de líquido amniótico, la presencia de movimientos respiratorios fetales (MRF) descritos por Manning en el perfil biofísico fetal (2) y la relación aorto-cava (2:1) propuesta por el Dr. Inaudy Bolívar en 1983, donde señala que en condiciones normales el diámetro de la aorta por lo general es casi el doble de la vena cava inferior y que esta última se colapsa durante los movimientos respiratorios fetales (3).
El feto humano presenta episodios más o menos rítmicos de movimientos respiratorios, intercalados con períodos más largos de apnea. Estos movimientos respiratorios fetales forman parte de los parámetros de estudio de los distintos perfiles biofísicos diseñados para evaluar el bienestar fetal, y además constituyen una de las variables que determinan los distintos estados de conducta fetal, junto con la frecuencia cardiaca y los movimientos corporales y oculares.
En 1971 Boddly y Robinson (4) determinaron por primera vez mediante ecografía la existencia de movimientos respiratorios fetales. Los músculos respiratorios se desarrollan en etapas tempranas del embarazo, y mediante ultrasonido se pueden demostrar movimientos respiratorios del tórax fetal desde las 11 semanas de gestación (5).
Es así como, desde el comienzo del cuarto mes el feto es capaz de realizar movimientos respiratorios con intensidad suficiente como para mover el líquido amniótico hacia adentro y hacia fuera del tracto respiratorio, resultando una corriente fluida bidireccional.
El conocimiento anatómico del tracto aerodigestivo superior derivado de estudios de cadáveres de fetos y recién nacidos, así como los realizados mediante estudios radiológicos neonatales, demuestran que la laringe de los fetos humanos en edades comprendidas entre las 27 y 40 semanas, y la de los recién nacidos, se localiza en las porciones altas del cuello fetal, es decir, a nivel cefálico, donde se establece una confluencia de las vías respiratorias superiores con las digestivas, constituyendo dicha integración el tracto aero-digestivo superior, de gran importancia clínica, ya que a través del mismo se llevan a cabo tres funciones vitales: la respiración, la deglución y la fonación.
La evaluación anatómica de dicha área en el feto, derivó importante información acerca de la anatomía evolutiva, pero limitada en cuanto a funcionalismo; aspecto éste que, si bien ha sido objeto de investigación en animales, se ha evaluado muy poco en fetos humanos por el riesgo que entrañan los diseños experimentales que exige una investigación de este tipo.
De tal manera que en los últimos 20 años diversos investigadores han intentado registrar y cuantificar los MRF, tratando de relacionarlos con el grado de bienestar fetal. Éste es el motivo por el que se inicia esta investigación, la cual intenta encontrar la utilidad de la exploración ultrasonográfica mediante tecnología Doppler de las vías respiratorias fetales al teorizar sobre el patrón de los movimientos respiratorios en el feto sano.
Hoy, a través de la evaluación cualitativa o semicuantitativa de las ondas de velocidad de flujo (OVF) obtenidas en diversos sectores vasculares materno y placenta-fetales ha sido posible establecer el comportamiento de las mismas a lo largo del embarazo, tanto en circunstancias de normalidad como en situaciones de salud fetal comprometida, cambios hemodinámicos progresivos que han permitido una mejor comprensión de la historia natural del deterioro de la salud fetal como consecuencia del intercambio nutricional materno fetal. En el caso de la arteria pulmonar, se podrían evidenciar los cambios que tienen que ver con el desarrollo madurativo pulmonar fetal y la impedancia de la red vascular pulmonar, a medida que avanza la gestación (6).
Actualmente, es posible observar los MRF en tiempo real, visualizando el diafragma, el movimiento torácico y abdominal, ya que en el feto, al contrario del adulto, existe un movimiento torácico paradójico en la inspiración con depresión de la pared torácica y expansión de la pared abdominal (7). Si bien la calificación de movimientos respiratorios no es exacta, ya que se supone que no hay intercambio de gases respiratorios, su evaluación parece poseer cierto valor pronóstico con respecto a la vitalidad fetal. Su presencia intraútero representa un entrenamiento o ejercicio isométrico de los músculos torácicos, fundamental para la respiración neonatal. Puede afirmarse también que los MRF constituyen una manifestación del grado de madurez de los centros y estructuras nerviosas fetales involucradas en la función respiratoria, tales como el centro de la respiración, sistema reticular, tallo encefálico y nervio frénico. (1)
Esta actividad respiratoria fetal iniciada en etapas tempranas de la gestación va sufriendo un proceso de maduración progresiva que culmina con la regularización de la frecuencia, simetría de flujos y duración de los tiempos inspiratorios y espiratorios (8), así también el desarrollo pulmonar fetal pasa por una serie de etapas alrededor de las 16 semanas de gestación que tienen por finalidad incrementar el proceso de arborización de bronquios pre terminales y terminales, multiplicación de alvéolos y por ende incremento de la red capilar peri alveolar responsable final de la hematosis que se inicia con la primera respiración extrauterina. (9)
Esto supone una disminución progresiva de la impedancia vascular del lecho pulmonar a medida que avanza el embarazo y que se reduce a su mínima expresión, una vez que se inicia la respiración y que el alvéolo se estabiliza a los cambios de presiones. Esta caída de la resistencia, además, contribuye al cierre del ductus y a la desaparición de la circulación fetal, sustituyéndose ésta por la del adulto, lo cual hace que dentro de los primeros minutos posteriores al nacimiento el sistema respiratorio deba ser capaz de obtener oxígeno y de eliminar dióxido de carbono. En las últimas 10 semanas de la gestación los movimientos respiratorios espontáneos se detectan en 30% de un período de observación fetal de 24 horas; actividad ésta que estimula el desarrollo del pulmón por distensión intermitente del pulmón y expansión de los alvéolos por el líquido inspirado desde el interior de la tráquea hasta éstos. Cuando no hay MRF la presión en la tráquea se encuentre elevada de manera permanente y estable, lo cual puede ser importante para regular la presencia de líquido en el pulmón al actuar como un expansor interno, distendiendo las potenciales vías respiratorias, estimulando el crecimiento y desarrollo pulmonar (10).
Mediante Doppler color es posible visualizar el movimiento del líquido amniótico hacia el árbol respiratorio, tanto por las fosas nasales como por la boca, siendo factible medir las ondas de velocidad de dicho flujo, lo cual permite estudiar si existe una buena relación entre la velocidad inspiradora máxima y el intervalo inspirador con respecto a la edad gestacional. Pero el principal problema que comporta el estudio pronóstico de los MRF es la imposibilidad de control continuado.
Dado que las observaciones deben limitarse a intervalos de tiempo concretos, puede producirse confusión entre episodios de apnea normales y patrones apneicos patológicos (7).
Sosa en 1998, evaluó las OVF Doppler de la arteria pulmonar fetal en 355 pacientes con edades gestacionales comprendidas entre las 17 y 42 semanas, e intentó establecer el comportamiento morfológico y semicuantitativo de la misma y su capacidad diagnóstica de las condiciones de pre término y a término. Estableciendo los valores del índice de resistencia (tiempo de aceleración/tiempo de eyección) de ≥0,31, como una evidencia de la disminución progresiva de la resistencia en el lecho pulmonar. (6)
Wolfson VP y Laitman JT (11) combinaron el estudio de las estructuras de las vías respiratorias digestivas superiores y los MRF con la ultrasonografía y aplicación de videos secuenciales para examinar su desarrollo. Siendo el primer aporte para las investigaciones de las estructuras de las vías respiratorias y digestivas superiores con los MRF en la vida fetal.
Badalian y col. (12) por su parte, para determinar las características del ultrasonido Doppler de los MRF relacionándolos con las OVF del fluido nasal en embarazos no complicados evaluaron 52 embarazos normales entre las semanas 22 y 41 de gestación con Doppler color y análisis espectral, encontrando que el intervalo de duración entre respiración y respiración en la fase inspiratoria aumenta entre las 22 y 35 semanas y se duplica entre las 33 y 35 semanas para luego disminuir subsecuentemente entre las 38 y 40 semanas. Concluyen que los cambios en la actividad respiratoria en embarazo no complicados pueden ser determinados por la medición a través la OVF del fluido nasal relacionándolo con la respiración fetal, pudiendo ser usadas en los embarazos complicados con riesgo, tales como la hipoplasia pulmonar.
Cosmi y col. (13), en un modelo de evaluación durante el embarazo de los movimientos respiratorios fetales (MRF) mediante MM y velocimetría Doppler, en 1882 casos no complicados durante un período de 4 años, estudiaron los movimientos toraco-abdominales entre las 14 y 40 semanas de gestación mediante análisis de imágenes espectrales, asociando los MRF con la velocidad de fluido nasal. Concluyeron que los MRF son producto de un fenómeno complejo con un patrón compuesto progresivo durante el embarazo.
MATERIAL Y MÉTODOS
El diseño de investigación denominado serie temporal versó sobre la obtención de la secuencia de valores observados a lo largo del tiempo y ordenados cronológicamente, de tipo descriptiva y corte transversal en el análisis de las muestras de audio de las señales espectrales del fluido transnasal del líquido amniótico producido durante los MRF en pacientes embarazadas durante el tercer trimestre de la gestación y agrupadas en 2 grupos: pre término de 32 a 36 semanas y a término de 37 a 38 semanas, cuyos fetos tenían curva de crecimiento y pruebas de salud fetal normales (14-16Para efectos de esta investigación, la población estuvo constituida por todas las embarazadas de ≥ de 29 semanas de gestación que acudieron para la evaluación perinatal a la Unidad de Perinatología de la Universidad de Carabobo, en la Ciudad Hospitalaria Dr. Enrique Tejera de Valencia, entre Agosto 2005 y Diciembre 2006, a quienes se les practicó un estudio ultrasonográfico bidimensional en tiempo real con la finalidad de establecer la edad gestacional, la curva de crecimiento fetal y el bienestar fetal, complementado con el perfil hemodinámico feto placentario de los sectores vasculares para evaluar la salud fetal mediante tecnología Doppler, permitiendo además recoger las muestras de audio de las señales espectrales en tiempo real de los MRF objeto de nuestro estudio. La muestra estuvo constituida por 30 muestras de audio de las señales espectrales producidas durante los MRF (Fig. 1 y 2) y recogidas durante la exploración a las embarazadas con los siguientes criterios de inclusión: feto hijo de padres sanos y embarazo normal de constitución fenotípica normal con perfil de crecimiento normal entre P10 y P90 según tablas de crecimiento utilizadas en la Unidad de Perinatología, feto exento de malformaciones, actividad vital intrauterina normal, crecimiento y desarrollo placentario normal, perfil de madurez fetal ajustado a la edad gestacional, fecha de última regla precisa (FUR), altura uterina acorde con tiempo de amenorrea, ganancia ponderal adecuada de acuerdo a los criterios internacionales, signos vitales dentro de la normalidad, exámenes de laboratorio de la rutina prenatal dentro de la normalidad y test de movimientos fetales (TMF) satisfactorio a partir de las 32 semanas, frecuencia cardiaca fetal (FCF) entre 120 y 160 latidos por minuto, perfil biofísico fetal normal y perfil hemodinámico feto placentario normal. (Fig. 1 y 2)

Se adquirieron las muestras de audio de las señales espectrales de los MRF mediante efecto Doppler pulsado a través del abdomen materno con la paciente en posición decúbito ventral, colocando el transductor en un primer momento en el sitio donde se visualizaba el tórax fetal para verificar la presencia de los movimientos respiratorios y luego se trasladaba hacia el rostro fetal buscando las fosas nasales, las cuales deberían estar libres de partes fetales como miembros superiores o inferiores, cordón umbilical, placenta, etc., para lograr mejor captación del sonido producido por paso del líquido amniótico a través de ellas y visualizar la imagen espectral en pantalla.
El tiempo de registro se ubicó entre 15 segundos y 5 minutos 31 segundos recogido en las distintas edades gestacionales seleccionadas, que fue el tiempo en el que permanecieron los MRF. Se utilizó un equipo de ultrasonido- Doppler color Marca APOGEE 800 PLUS con un transductor convex de 3,5 Mhz, a una velocidad máxima de 4.7 m/s y profundidad máxima de 23 cm. con Doppler pulsado con volumen de la muestra de amplitud de 2 a 20 mm. a intervalos de 1 mm., calibración angular, filtro de pared para distintas frecuencias: 100, 200, 400 y 800 HZ, inversión de la polaridad, desplazamiento de la línea cero, intensidad regulada automáticamente desde el 5% al 10 %, ajuste de amplificación de recepción de 30 a 60 dB, representando el espectro de frecuencias como distribución de intensidades de grises con valor máximo y medio de velocidad, valor del pico y señal de audio.
La muestra de audio de las 30 señales espectrales producido por el paso del líquido amniótico a través del fluido transnasal durante los MRF es capturada en dos computadoras portátiles TOSHIBA de la serie Satélite mediante una conexión BNC a RCA de la salida de audio/ video del equipo de ultrasonido-Doppler que recogió la señal analógica del sonido.
La captura del audio de tales señales espectrales se efectuó en virtud de la siguiente distribución: 1) 19 de las señales fueron grabadas con el Grabador de Windows a una tasa de muestreo de 22.050 Hz y un canal de audio (monoaural) bajo Windows ME (Millenium Edition), en una laptop con un procesador Intel Pentium III a 750 MHz de velocidad y 256 MB de memoria RAM y, 2) 11 de las señales fueron grabadas con Audacity a una tasa de muestreo de 44.100 Hz y dos canales de audio (estéreo) bajo Windows XP Professional con Service Pack 2, en una laptop con procesador Intel Centrino a 1,75 GHz de velocidad y 1GB de memoria RAM. Las muestras de audio de las señales espectrales grabadas permitieron reproducir en forma cuantitativa diversas características del ruido de los movimientos respiratorios en el feto. Posteriormente, las señales espectrales recolectadas fueron analizadas con Audacity, que es un programa para la grabación de pistas de audio, es también de libre distribución (freeware) y código abierto (open source) para la edición y mezclado de pistas de audio. Este programa se encuentra disponible en la Internet bajo la licencia pública GNU para ser utilizado en diversas plataformas computacionales (Windows, Linux, Mac OS, etc.) y constituye la principal competencia de programas de licencia privativa como Audition de Adobe Systems Incorporated.
Para demostrar la metodología propuesta se analizó la muestra de audio de las señales espectrales, divididas en 2 grupos. (Se excluyó un caso de 29 semanas para lograr la igualdad de los 2 grupos de estudio) Una primera muestra donde se estudió el comportamiento de los MRF en embarazos prematuros o pre término (32 a 36 semanas) y una segunda muestra de embarazos a término (37 a 38 semanas), recogidas con los software Windows y Audacity que permiten la exportación de los datos de audio a datos numéricos, de manera tal que se pueda aplicar un análisis matemático de los mismos.
De las muestras de audio obtenidas (se registraron las señales por cada una de las embarazadas que cumplían los criterios de inclusión); se seleccionaron las libres de artefactos. Los registros de las series contenían frecuencias de 22 y 44 KHz. No se aplicó ningún tipo de filtro de los datos originales, dado que no se recomienda su uso en el estudio de la dinámica de un sistema (17). Una vez recolectada la información se procedió a elaborar una tabla contentiva de la información sobre las muestras de audio.
Para el análisis de las series temporales se usaron los paquetes fdim aplicados por Martínez de Pinson, J, Ordieres, J, Castejón, M & De la Cos, F 2004 (18) que permiten calcular la dimensión fractal, el paquete Rtisean y tseries Chaos implementado por Di Narzo 2007 (19), utilizados para el análisis de series de tiempo no lineal. Las rutinas fueron realizadas bajo el ambiente de programación R, el cual es desarrollado bajo Licencia Pública GPL y GNU y se encuentran en URL http://tsnonlinear.uniud.it http://www.rproject.org/doc/packages/RTisean.pdf
En primer lugar se aplicó la curva de densidad a la muestra que permitió verificar si la distribución era normal o no gausiana y luego se fueron aplicando los estadísticos para la serie de tiempo no lineal a fin de obtener la dimensión de correlación. Se aplicó el método de información promedio AMI para estimar el tiempo para realizar la reconstrucción del atractor en el espacio de fases. Se calculó la integral de correlación simple del conjunto de datos en un espacio vectorial que generó la estructura fractal o atractor que puede ser analizada mediante la obtención de su dimensión geométrica. Para diferenciar variabilidad caótica de una estocástica o para detectar cambios de estado en la evolución de un sistema se realizó el gráfico de recurrencia que agrupa los valores de la serie formando vectores, cuyas coordenadas son los valores de la serie y sus consiguientes retardos. Además, este grafico muestra los puntos en la bisectriz del cuadrado de línea más cortos que se ubican paralelamente con el criterio de proximidad establecido en el sistema caótico.
Para estudiar la sensibilidad a las condiciones iníciales de las series y la estabilidad del sistema en la dinámica compleja se determinó el valor del máximo exponente Lyapunov, donde si éste es mayor a 0 se considera que es positivo y el sistema es inestable. El sistema será tanto más estable conforme mayor sea el exponente, en valor absoluto. Y finalmente se generaron series vicarias con series aleatorias para comprobar la existencia de no linealidad del sistema. (20-33)
La variable analizada de cada grupo fue la dimensión de correlación. Debido a que esta variable cuantitativa seguía una distribución normal, se aplicó la prueba de Kolmogorov- Smirnov. Para proceder a la realización de cuadros y gráficas apropiados se promediaron los resultados de la dimensión de correlación de cada grupo en el paquete estadístico SPSS Versión 10.0 para Windows en español mediante las siguientes técnicas: Se calculó media, el valor mínimo, el primer cuantil, la mediana, el tercer cuantil, el valor máximo y la varianza de cada muestra analizada: Embarazo con fetos a término (37 a 38 semanas) y prematuros (32 a 36 semanas), fijándose como criterio de significación un valor de 5% o menos (P ≤ 0.05) de diferencias de promedio evaluadas. (14,16) También se realizaron los histogramas para ambos grupos con sus respectivas curvas de normalidad y Boxplot de las muestras estudiadas con las medias, desviación estándar y valor máximo y mínimo.
RESULTADOS
En las embarazadas a término la DC fue de X = 0, 71 ± S 0,06 y en el grupo de 32 a 36 semanas la DC fue de X = 0,73 ± S 0,06 con una prueba t = - 2,304 y un P valor < 0,023* y un intervalo de confianza al 95% para la diferencia de las medias igual a 0.6930, 0.72725 para los fetos a término y 0.72067, 0.75624 para los fetos prematuros, cuyo intervalo no contiene 0. Tabla 1
Se muestra la media (X) y la desviación (S) de las dimensiones de correlación (DC) de los MRF en los dos grupos. Además el valor mínimo, el primer cuantil, el tercer cuantil, el valor máximo, la diferencia de media (IC 95%) y la varianza muestral. Tabla 2.
Se muestra un boxplot de la dimensión de correlación para los grupos estudiados mostrando la media, la desviación estándar, el valor máximo, el valor mínimo de las dos muestras estudiadas, con una diferencia entre los dos grupos y distribución asimétrica de los datos. Figura 3.
El histograma de la función de densidad con la curva de normalidad de las dimensiones de correlación de grupo de los embarazos con fetos a término mostrando una curva bimodal. Figura 4.
El histograma de la función de densidad con la curva de normalidad de las dimensiones de correlación de los embarazos con fetos prematuros mostrando una curva bimodal.

Para ejemplificar el uso de las herramientas en el estudio de los sistemas no lineales y sus índices de complejidad (26- 33) se muestran:
Se muestran gráficas que indican las funciones de densidad de probabilidades con su respectiva edad gestacional de las DC evidenciándose una distribución asimétrica bimodal cuyas curvas tienen 2 máximos, lo cual muestra la no linealidad de los datos. Figura 6.
La representación de una integral de correlación y su respectivo atractor reconstruido (3 dimensiones) con el m = 3 y τ = 2, encontrando una correlación integral de correlación cercana a 1 valor que representa P que es el estimador de la dimensión del atractor al estabilizarse. Igualmente se evidencia que existe cierta similitud geométrica en cada uno de los atractores; sin embargo es posible visualizar una mayor complejidad de la señal en el atractor en los embarazos con fetos a término con respecto al atractor de los embarazos con fetos prematuros, donde se observa menor complejidad de la señal. También se muestra que a medida que la edad gestacional se acerca al término existen más falsos vecinos cercanos, donde los valores en las órbitas en el espacio de fase se alejan de un punto fijo a otro, y en la edades gestacionales con fetos inmaduros los valores de las órbitas de dichos atractores son más puntuales, o con ciclo límite y periódico. Figura 7.
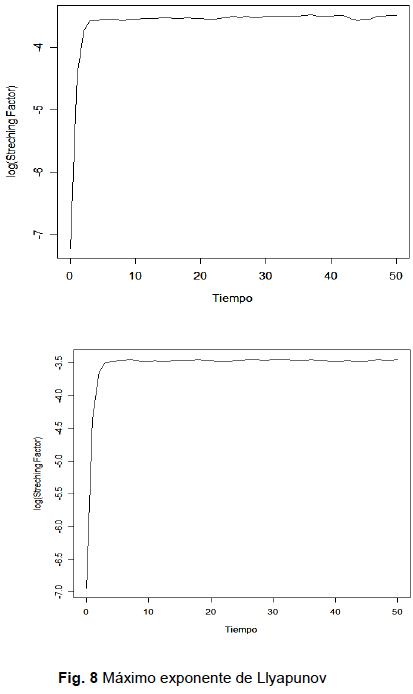
Los exponentes de Lyapunov tienen un valor cercano a la unidad observable en la gráfica.
Si nos imaginamos trazando una bisectriz que interceda con el sitio donde la curva se aplana, obtendremos el valor del ex ponente, que cuando es mayor a 0 se considera que es positivo en el sistema inestable y si es negativo, el sistema es estable. En estos datos el exponente de Lyapunov es positivo, característico de un sistema inestable. Figura 8.
DISCUSIÓN
Las variables analizadas de cada grupo fueron los MRF y la dimensión de correlación de 51 embarazadas con fetos a término (37 a 38 semanas de gestación) y 51 embarazadas con fetos prematuros (32 a 36 semanas de gestación). Se presentan los histogramas y las curvas de normalidad con las respectivas medias y su respectiva desviación estándar de las dimensiones de correlación (DC) de los MRF en los dos grupos de estudio. Además el valor mínimo, el primer cuantil, el tercer cuantil, el valor máximo, la diferencia de media (IC 95%) y la varianza muestral de las muestras analizadas mediante programación R. (ver tabla nº 1 y 2).
Una vez obtenidos los valores de las variables estudiadas, se promediaron los resultados de cada grupo. Para obtener mayor confiabilidad en el análisis y suponiendo que los grupos son independientes e idénticamente distribuidos en la muestra, y para discernir si la diferencia entre dos medias es azar o es real, se realizó un test de contraste de hipótesis, la prueba t con el paquete estadístico SPSS, obteniéndose un valor de - 2,304, que indica que hay diferencia significativa entre los promedios de las DC de embarazadas con fetos a término y aquéllas con fetos prematuros con un intervalo de confianza al 95% (p < 0,05) para la diferencias de medias iguales a 0.6930, 0.72725 para los fetos a término y 0.72067, 0.75624 para los fetos prematuros, cuyo intervalo no contiene 0 lo que indica que hay una diferencia entre las medias.
Los métodos actuales de análisis de series de tiempo, si bien representan una aproximación diferente al análisis de señales con respecto a técnicas más clásicas como el análisis espectral, no se debe dejar de señalar que, aunque poseen imperfecciones técnicas, de modo particular, se han discutido exhaustivamente por la imposibilidad de obtener señales que cumplan rigurosamente con los requisitos del teorema de Takens, no sin menospreciar la escasa estabilidad de los algoritmos ante la longitud de la señal y la presencia de ruido (23).
Dentro de la teoría de los sistemas dinámicos se ha prestado especial atención a la descripción del caos clásico; éste ha sido muy estudiado, sobre todo en sistemas de ecuaciones diferenciales y de ecuaciones en diferencias que son hoy sistemas clásicos en la literatura dentro del tema (17,33). Sin embargo, no es trivial la tarea de demostrar que datos reales obtenidos a partir de la experimentación están regidos por este tipo de dinámica.
Los MRF fueron descritos en el perfil biofísico por Manning y col en 1980, y su objetivo principal era conocer el estado de salud del feto antenatal en embarazo de riesgo cuya morbimortalidad perinatal llega hasta 57 % en la etapa fetal y 37 % en la neonatal, pero que dan una seguridad diagnóstica baja si se usan aisladamente; no obstante, al combinarlo con el perfil hemodinámico feto placentario mediante tecnología Doppler pueden mejorar sustancialmente los resultados neonatales (35). No existe un método sencillo y no invasivo ideal que permita conocer con exactitud la madurez pulmonar fetal. Sin embargo, la tecnología Doppler pulsado ha dado lugar a nuevas técnicas y metodologías de análisis (6-11).
Se ha hecho posible la descripción de la variable antes mencionada mediante métodos de no linealidad basados en un comportamiento caótico determinista por sus propiedades dinámicas y geométricas en el tiempo, proporcionándonos información oculta de señales que no es extraída con los métodos tradicionales. En concordancia con otros autores (13, 20, 26, 33) hemos encontrado que la complejidad de los MRF aumenta a medida que avanza la gestación, de manera especial en la aparición patrones y estructuras ocultas de una serie de tiempo aplicando la reconstrucción del espacio de fase.
La determinación de la dimensión de correlación como índice no lineal para cuantificar la complejidad de un sistema estima el número de variables que serían necesarias para describir el sistema caótico, aportando información valiosa que no es detectada por los análisis convencionales en el dominio del tiempo y la frecuencia. (26). El valor del máximo exponente Lyapunov en las muestras de audio estudiadas demostró una dinámica compleja. Se determinó la inestabilidad del sistema al encontrar valores absolutos en la serie, por lo que el análisis de recurrencia visual puede brindar una alternativa médica cualitativa del grado de orden en las señales de variabilidad de los MRF. Pero dada la dificultad teórica existente en la diferenciación de caos y ruido, creemos que quizás el método deba combinarse con otras medidas cuantitativas o, si es posible, derivar medidas informativas a partir de los gráficos de recurrencia (28).
En resumen, se puede afirmar que los eventos respiratorios fetales constituyen un complejo sistema dinámico no lineal, con ciclos variables que pueden diferenciar, a través del análisis fractal, el comportamiento de fetos de pre término y término con diferencias de significancia estadística. Se establece un nuevo paradigma no invasivo en estudio de variables biológicas del feto que abre el camino para su interpretación y futura aplicabilidad clínica, mediante la descripción de esta variable mediante métodos de no linealidad basados en un comportamiento caótico determinista por sus propiedades dinámicas y geométricas en el tiempo, proporcionándonos información oculta de señales que no es extraída con los métodos tradicionales. En concordancia con otros autores (13, 20, 26, 33, 34), hemos encontrado que la complejidad de los MRF aumenta a medida que avanza la gestación.
REFERENCIAS
1. Carrera J. Estudio ecográfico de cinética fetal. En: Kuryak A, Carrera J. Ecografía en Medicina Materno-Fetal. Barcelona: Editorial Masson; S.A. 2000 p. 515-526. [ Links ]
2. Johnson JA, Harman CR. Evaluación del perfil biofísico fetal. En: Rumak C, Wilson S, Charboneau J. Ecografía Obstétrica y fetal. Madrid: Marbán Libros; 2000; p: 161-170. [ Links ]
3. Sosa A, Inaudy E, Guigni G. La relación aorto-cava y su relación con la salud fetal. Rev. Obstet Ginecol Venez 1985; 45(3):126-30. [ Links ]
4. Boddy K, Robinson JS. External method for detection fetal breathing in útero. Lancet 1971; 2(7736):1231-1233. [ Links ]
5. Cunningham FG, Leveno KJ, Bloom SL, Hauth JC, Giltrap III LC, Wenstrom KD, editores. Williams Obstetricia 22ª ed. México: Editorial McGaw-Hill Interamericana; 2006. [ Links ]
6. Sosa A, García M, Guigni G. Evaluación de las ondas de velocidad de flujo Doppler de la arteria pulmonar fetal durante la gestación. Rev. Asociación Venezolana de Ultrasonido en Medicina 1998; 14: 1-5. [ Links ]
7. Sosa A. La exploración Doppler en Obstetricia. Valencia: Editorial Tatum; 1995. [ Links ]
8. Sosa A, Inaudy E. Evaluación anatomo-funcional de las vías respiratorias fetales por US. Rev. Asociación Venezolana de Ultrasonido en Medicina 1994;10:1-13. [ Links ]
9. Jobe A, Ikegami M. Lung Development and function in preterm infants in the surfactant treatment era. Annu Rev Physiol 2000;(62):825-46. [ Links ]
10. Sosa A. Flujometría Doppler en la evaluación hemodinámica del ductus arterioso-arteria pulmonar y venas pulmonares durante el segundo y tercer trimestre. Rev. Asociación Venezolana de Ultrasonido en Medicina 2003; 19:21-3. [ Links ]
11. Wolfson VP y Laitman JT. Ultrasound investigation of fetal human upper respiratory anatomy. Anat Rec 1990; 227(3):363-72. [ Links ]
12. Badalian SS, Chao CR, Fox HE, Timor-Tritsch HE. Fetal Breathing-Related Nasal Fluid Flow Velocity in Uncomplicated Pregnancies. Am L Obstet Gynecol 1993;169(3):563-7. [ Links ]
13. Cosmi EV, Anceschi MM, Cosmi E, Piazze JJ, La Torre R. Ultrasonographic patterns of fetal breathing movements in normal pregnancy. Int J Gynaecol Obstet 2003;80(3):285- 90. [ Links ]
14. Arias F. El Proyecto de investigación Introducción a la metodología científica Caracas, Editorial Episteme; 2004. [ Links ]
15. Chatfield C. The Analysis of Time Series: An Introduction. London, Ed. Chapman and Hall; 2003. [ Links ]
16. Namakforoosh N. Metodología de la investigación. México: Ed. Limusa S.A. de C.V. Grupo Noriega Editores; 2003. [ Links ]
17. Breakspear M, Terry JM. Detection and description of nolinear interdependence in normal multichannel human EEG data. Clinical Neurophysiology, 2002;113:735-753. [ Links ]
18. Martínez de Pinson, J. Ordieres, J, Castejón, M & De la Cos, F. The fdim Package, functions for calculating fractal dimensión.2004 [En línea] Fecha de acceso: 29 de mayo 2007. Disponible en: http://cran.rproject.org/src/contrib/Descriptions/tseries.html (gratuito) [ Links ]
19. Di Narzo, F. The tseries Chaos Package, for analysis of nonlinear time series, 2005 [En línea] Fecha de acceso: 29 de agosto 2007. Disponible en: http://www.r-project.org. (gratuito) [ Links ]
20. González X, Ortega J, García M. Análisis no lineal: señales biológicas. Rev. Salus 2007; 11(2):30-39. [ Links ]
21. González V, Guerrero C. Fractales: fundamentos y aplicaciones. Ingenierías 2001; 10(4): 53-59. [ Links ]
22. Amorer L, Bueno A, Fraudita F, Rodríguez E, Suárez K. Análisis espectral en el estudio de las señales ultrasónicas de un acero AISI-SAE 4340. Rev. De la Facultad de Ingeniería de la UCV 2004; 19(2): 89-98. [ Links ]
23. Takens F. Detecting Strange Attractors in Turbulence. Lect Notes in Math 1981; 898: 366-81. [ Links ]
24. Ruelle D, Takens F. On the nature of turbulence. Communications of Mathematical Physics, 1971; 20: 167- 192. [ Links ]
25. Ruelle D. «Small random perturbations of dynamical systems and the definition of attractors». Communications of Mathematical Physics, 1981; 82: 137-151. [ Links ]
26. Infante S, González X, Ortega J. Estimación de la dimensión fractal en series de tiempo de la frecuencia cardiaca fetal. Presentado en el XVI Simposio de Estadística Estadística Industrial, Santander, Colombia, Julio-Agosto, 2006. [ Links ]
27. Fraser AM, Swinney HL. Independent coordinates for strange attractors from mutual information. Phys Rev A 1986; 33:1134-40. [ Links ]
28. Kennel MB, Brown R, Abarbanel HDI. Determining embedding dimension for phase-space reconstruction using a geometrical construction. Phys Rev A 1992; 45:3403- 3411. [ Links ]
29. Grassberger P, Procaccia I. Dimensions and entropies of strange attractors from a fluctuating dynamics approach. Physica-D 1984; 13D(1-2):34-54. [ Links ]
30. Lai YC, Lerner D. Effective scaling regime for computing the correlation dimension from chaotic time series. Physica 9D 1998; 115:1-18. [ Links ]
31. Grassberger P, Procaccia I. Characterization of strange attractors. Phy Rev Let 1983; 50:346-49. [ Links ]
32. Grassberger P, Procaccia I. Measuring the strangeness of strange attractors. Phys D 1983; 9:189-208. [ Links ]
33. Sammer G. Heart period variability and respiratory changes associated with physical and mental load: non-linear analysis. Ergonomics 1998;41:746-55. [ Links ]
34. Sosa A. Ultrasonografía y clínica embrio-fetal. 2º edición. Valencia, Ed. Tatum. C.A. 2002. [ Links ]
35. Faneite P. Perfil Biofísico. En Zigelboim I, Guariglia D, Clinica Obstétrica editores. Clínica Obstétrica. Caracas: Editorial Disinlimed, C.A.; 2001:463-70. [ Links ]




















