1. INTRODUCCIÓN
Por muchos años el concreto elaborado con cemento Portland tipo 1 ha sido utilizado en la construcción debido a su alta resistencia y durabilidad, sin embargo, por la necesidad de disminuir el impacto ambiental en términos de ahorro de energía y reducciones del CO2, las industrias y los entes constructores se han visto en la necesidad de producir con cementos alternos que satisfagan estas necesidades, es por ello, que han desarrollado concretos con adicionados, los cuales han modificado sus propiedades con la finalidad de aportar mejoras en sus cualidades físicas y mecánicas. Los cementos adicionados según la Norma Venezolana COVENIN 3134-2004 (1) se definen como el producto obtenido por la pulverización conjunta de Clinker Portland y otros materiales como caliza, cenizas volantes, puzolanas, con la adición de agua y sulfato de calcio, para ser usados en la producción de concretos y morteros según usos específicos.
Considerando los numerosos estudios realizados en base al uso del cemento Portland tipo 1 y adicionados, se presenta en este artículo el análisis estadístico de los resultados obtenidos en trabajos de grado realizados en el Decanato de Ingeniería Civil (DIC) de la Universidad Centroccidental Lisandro Alvarado (UCLA), cuyo estudio haga referencia a la resistencia a la compresión y porosidad de concretos elaborados con cemento Portland tipo 1 y con cemento adicionado con CPCA1, y CPCA2. Se utilizó un diseño completamente al azar con cero factores de bloque y nivel de confianza de 99%, mediante la técnica del análisis de varianza ANOVA y procesamiento a través del paquete estadístico Statgraphics Centurión V19 (https://www.statgraphics.com/).
Por lo tanto, de la siguiente investigación surgen las siguientes hipótesis ¿El concreto con cementos adicionados de tipo CPCA puede considerarse como resistente estructuralmente?, ¿El concreto con cemento adicionado de tipo CPCA es altamente poroso?, ¿Cuál es la resistencia y porosidad promedio de los concretos con cementos adicionados de tipo CPCA? ¿Son estadísticamente significativas las diferencias obtenidas?
2. DESARROLLO
2.1. Concreto
De acuerdo con Porrero, se define el concreto como un material pastoso y moldeable que tiene la propiedad de endurecer con el tiempo, conteniendo también trozos pétreos. A su vez la pasta está constituida por agua y un producto aglomerante o conglomerante que es el cemento, aquí el agua brinda fluidez a la mezcla y permite al cemento su endurecimiento (2).
2.2. Cemento
El cemento es el componente activo del concreto influyendo en todas las características de ese material, constituye aproximadamente el 10 a un 20 % el peso del concreto. Ahora bien, al hablar de cemento implícitamente se hace referencia al cemento Portland, constituyéndose como una especie de cal hidráulica perfeccionada. Se produce haciendo que se combinen químicamente una materia de carácter ácido, proveniente de la arcilla, con otras de carácter básico aportada por caliza (2).
2.3. Cemento Portland
El cemento Portland se produce haciendo una combinación química de materiales de carácter acido como sílice y alúmina principalmente provenientes de arcillas, con otras de carácter básico como la cal aportada por calizas. La reacción tiene lugar entre las materias primas, finamente molidas, calentadas en hornos a temperaturas de semi-fusión (2).
2.4. Cemento Adicionado
El cemento adicionado corresponde al resultado obtenido de la pulverización de clinker Portland y otros elementos tales como puzolanas, la escoria y sulfato de calcio, mayores al 5%. Este cemento resulta en cuanto a calidad similar al Portland.
Cemento Portland con adición de caliza o materiales calcáreos. Según la norma COVENIN 3134 (1), el cemento Portland con adiciones es el producto obtenido por la pulverización conjunta del clinker Portland y caliza o materiales calcáreos, más agua y sulfato de calcio, para ser empleado en la producción de concreto y morteros de los cuales se requiera estabilidad, durabilidad, plasticidad, adherencia y capacidad de retención de agua. Ahora bien, existe el cemento Portland CPCA1, que de acuerdo con la Norma Covenin 3134-04 es aquel cuyo contenido de caliza y otro material calcáreo es menor o igual al 15% del peso total. Y se tiene también, el cemento Portland CPCA2 cuyo contenido de caliza u otro material calcáreo es mayor al 15% y menor o igual al 30% del peso total (1).
La importancia de emplear cemento adicionado de tipo CPCA se remite a:
Mejoramiento de las propiedades del cemento y de su calidad
Posibilidad de producir cementos especiales para aplicaciones específicas
Conservación de la energía térmica y de los recursos minerales
Necesidad de disminuir emisiones de C02 y de calor a la atmósfera
Posibilidad de usar subproductos de otras industrias
Incremento de productividad en industria cementera por reducción de costos de producción, confiabilidad al seleccionar sistema de molienda, y menor riesgo de inversión
2.5. Resistencia a la Compresión
La resistencia es la máxima respuesta que ofrece el material al ser sometido a cargas antes de fallar, depende fundamentalmente de la relación agua-cemento utilizada en la mezcla, sin embargo, existen otros parámetros que también la condicionan, como sería: la edad, la calidad de los materiales empleados y los aditivos y/o adiciones utilizadas. De acuerdo con el Manual de Inspección, Evaluación y Diagnóstico de Corrosión en Estructuras de Hormigón Armado (DURAR) (3), la resistencia a la compresión del hormigón es una de las propiedades más importantes y necesarias para realizar una evaluación general de la estructura, asumiendo su durabilidad, como la capacidad de resistencia mecánica.
2.6. Porosidad del Concreto
La porosidad es vista como espacios vacíos que quedan en la mezcla del concreto y morteros a consecuencia de la evaporación del agua excedente del amasado y del aire atrapado en la manipulación. Dependiendo de su tamaño se clasifica en:
Poros de gel, cuyo tamaño corresponde entre 15-25 Angstrom, son espacios intersticiales del gel de cemento. Estos poros sólo intercambian agua con el ambiente cuando se secan a humedades menores al 20%, son imperceptibles a la vista.
Poros capilares o poros efectivos, son de forma variable y tamaño del orden de 2 nm a 1μm. Cuando están interconectados y abiertos al exterior constituyen la causa principal de la permeabilidad de la pasta de cemento endurecida, así como su vulnerabilidad a la acción de agentes externos.
Poros de aire o porosidad aparente, se ocasionan por las burbujas de aire atrapadas en la masa del hormigón, en el proceso de manipulación tecnológica, generalmente son mayores de 0,05mm.
3. METODOLOGÍA
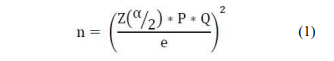
El estudio corresponde a una investigación de tipo descriptiva documental ya que por una parte recolecta, organiza, analiza, y describe situaciones predominantes de los resultados referentes a la resistencia y porosidad de las distintas investigaciones analizadas sin modificar sus resultados; y por otra, es un proceso de recolección, organización y análisis de una serie de datos que tratan sobre un tema en particular. La población objeto estudio son los resultados obtenidos en los trabajos de grado realizados en el DIC, y cuyo materia de estudio se basó en concreto elaborado con cemento Portland tipo 1 y cemento adicionado de tipo CPCA1 y CPCA2. Las variables consideradas fueron resistencia a la compresión y porosidad con a/c = 0,45 y a/c=0,60, tomadas como variables de tipo continuas. El tamaño muestral se obtuvo por muestreo aleatorio simple, empleando la expresión 1 para calcularlo.
Donde:
n = Tamaño muestral
Z (𝛼/2) = Factor de confianza definido por la tabla de distribución normal
P = Probabilidad de éxito
Q = Probabilidad de fracaso
e = Error de muestreo
Para el cálculo del tamaño muestral (n), se utilizó un nivel de confianza del 99% (1-𝛼) dándole valor a Z (??/2) = -2,57 según la tabla de áreas bajo la curva normal, con un error de estimación de la muestra (e) = 4% que por criterio del investigador se le asigna a este trabajo. Las probabilidades de éxito (P) y de fracaso (Q) se consideraron del 50% esto quiere decir P = Q = 0,50 con el fin de obtener el tamaño muestral máximo para la confiabilidad planteada, que se seleccionará de esta población.
Z (𝛼/2) = -2,57
P = 0,50
Q = 0,50
e = 0,04 n= (Z(α2⁄)∗P∗Qe)2 = (−2,57 ∗0,5∗0,50,04 )2=258
⸫ n = 258 muestras
3.1. Fases de la Investigación
Los datos fueron obtenidos de la plataforma virtual de la biblioteca del DIC, los trabajos recolectados debían cumplir con las siguientes características: contar con ensayos referidos a concretos elaborados con cemento Portland tipo 1, con cementos adicionados de tipo CPCA1 y CPCA2, y resultados de resistencia a la compresión y porosidad cuya relación a/c = 0,45 y a/c=0,60 a edades de 28 días. El título de los trabajos seleccionados se refleja en la Tabla 1.
Tabla 1 Títulos de los trabajos de grado recolectados.
| Autores | Título | Año |
|---|---|---|
| Casanova, Carmen | Comparación del comportamiento mecánico y físico del concreto para diferentes métodos de diseño de mezclas, variando la relación agua / cemento (4). | 2009 |
| Alvarado Mileidys y Oropeza Karlew | Evaluación de las propiedades físico-mecánicas y electroquímicas del concreto elaborado con cemento adicionado cpca2 expuesto a un ambiente marino acelerado (5). | 2012 |
| Dávila G, Verónica M. y Romero D, Lexys G. | Evaluación de la durabilidad de elementos de concreto armado, elaborados con cemento tipo cpca1, expuesto a un ambiente marino acelerado por la técnica del rociado (6). | 2012 |
| Kathiusca Conde y Francis Guedez | Evaluación de las propiedades electroquímicas de concreto elaborado con cemento adicionado expuesto a un ambiente marino acelerado (7). | 2012 |
| Mata Aquiles y Salas Paola | Evaluación de las propiedades físicas y mecánicas en mezclas de concreto elaborado con cemento portland tipo cpca1 con diferente relación agua-cemento (8). | 2012 |
| Mujica Greys | Caracterización físico-mecánica de concretos elaborados con cementos adicionados CPCA1 (9). | 2012 |
| Terán D., Wuillimar K. | Evaluación de la durabilidad de concretos elaborados con cementos adicionados tipo CPCAI mediante ensayo de difusión rápida del ion cloruro cr (10). | 2012 |
| Venegas Widmar, Francisco Javier | Evaluación del efecto de la adición del 20% de resina de silicona sobre la porosidad y resistencia mecánica en probetas de concreto (11). | 2012 |
| Imanuel Figueira & Eduardo Meléndez | Evaluación de las propiedades físico-mecánicas de mezclas de concreto elaboradas con cemento adicionado portland tipo cpca1 con relaciones agua/cementante y agua/cemento de 0,45 y 0,60 (12). | 2014 |
| Maryeliz Páez y Richar Garcés | Evaluación de la durabilidad de concretos elaborados con cemento adicionado tipo cpca1, en un ambiente natural (13). | 2014 |
| Carrillo B. Katherine C. y Pérez L. Gabriela C. | Evaluación de la resistencia a la penetración por difusión del ion Clˉ de concretos elaborado con cementos adicionados tipo CPCA1 (14). | 2014 |
| Duran Francis y Freitez Jorge | Evaluación de la corrosión del concreto armado en probetas elaboradas con cemento adicionado CPCA expuesto a un ambiente marino acelerado (15). | 2015 |
| Indoménico A., Verónica C. y Reverón L. José A. | Evaluación de la carbonatación en concretos elaborados con cementos adicionados tipo CPCA, a través de métodos acelerados (16). | 2015 |
| Meza P, Danny E. & Peña C, Liliana M. | Análisis comparativo de la resistencia a la compresión y la porosidad de concretos elaborados con cemento PORTLAND tipo i y cemento portland tipo CPCA1 (17). | 2015 |
| Tovar L, Suyen A. & Montero L, Rosalinda D. | Evaluación de la durabilidad de concretos elaborados con cemento adicionado CPCA2 en ambiente urbano natural (evaluación a un año de exposición) (18). | 2016 |
| Lovera Altuna, Donato Pastor | Evaluación de la resistencia a la penetración por difusión del ion cloruro (Ci) en concretos elaborados con cemento PORTLAND tipo i (19). | 2016 |
| Bosco Barreto, Ricardo Antonio | Evaluación físico-mecánica de mezclas de concreto diseñada por el método de porrero, utilizando un aditivo plastificante de algo rango (20). | 2017 |
| Carrillo Castellanos, Maria Gabriela | Evaluación de las variaciones en las propiedades mecánicas y porosidad en mezclas de concreto, elaboradas con sustitución parcial del agregado fino por arena de sílice de gradación 20/40 (21). | 2017 |
| Orozco G., Luis G. | Evaluación de mezclas de concreto modificando la dosis de cemento y del agregado fino por sílice (22) | 2017 |
| Colmenarez Deviez, Carla Dayana | Evaluación de las propiedades físicas mecánicas en concretos elaborados con sustitución parcial del agregado grueso por residuos de cilindros normalizados de concreto (23). | 2017 |
| De Flavis Rodriguez, Franchesca María | Evaluación de la durabilidad del concreto elaborado con mezclas modificadas con polvo de sílice expuestas en ambiente agresivo natural (24). | 2017 |
| Almao A. Wilfred R. y Medina M. Enyelber J. | Comparación de las propiedades físico-mecánicas de concretos elaborados con cemento tipo portland adicionado utilizando el método de diseño del manual de concreto estructural (25). | 2018 |
| Querales Cordero, Diego Alberto | Evaluación de las propiedades físico-mecánicas de concretos elaborados con cemento portland adicionado incorporando aditivo reductor de agua y adición de arena de sílice (26). | 2018 |
| Carrillo Melendez, Luis Carlos | Evaluación de mezclas de concreto en estado fresco y endurecido utilizando aditivo plastificante como reductor de agua (27). | 2018 |
| Bombace Godoy, Luis Fernando | Evaluación de las propiedades físico-mecánicas de un concreto elaborado con aditivo impermeabilizante de marca comercial (28). | 2018 |
| Mosquera Peñuela, Mizraim Pastora | Evaluación de las propiedades físicas y mecánicas de una mezcla de concreto con sustitución parcial del 10 % y 12.5 % y 15 % de cemento por vidrio molido (29). | 2019 |
| Camacho Rivas, Geraldin | Evaluación de las propiedades físico-mecánicas de concretos elaborados con cemento portland adicionado, con diferentes relaciones agua/cementante y cantidades de cemento, empleando el método del A.C.I. (30). | 2021 |
Fuente: los autores
Para analizar los datos recolectados se plantearon dos escenarios, uno para comparar tres tratamientos en conjunto, y otro para tratamientos en pareja, tanto para resistencia a la compresión como para la porosidad total. Se generarán 4 análisis para el primer escenario y 8 para el segundo.
Escenario 1. El primer tratamiento es la mezcla patrón realizada con cemento Portland tipo 1, el segundo tratamiento concretos elaborados con cemento CPCA1, y tercer tratamiento con CPCA2. Este análisis general permite probar las hipótesis de igualdad de medias versus la alternativa de que al menos dos de ellos sean diferentes, para la resistencia a la compresión a los 28 días con una relación a/c = 0,45. Igualmente, se procedió para el análisis de los datos con resistencia a la compresión a los 28 días con relación a/c = 0,60. Del mismo modo, con la variable porosidad: se compararán los tres tratamientos, la mezcla patrón, CPCA1 y CPCA2, tanto para a/c = 0,45 como para a/c = 0,60 a los 28 días respectivamente.
Escenario 2. El tratamiento de mezcla patrón elaborado con cemento Portland tipo 1 compararlo con los CPCA1, para resistencia a la compresión a los 28 días con relación a/c = 0,45 y a/c = 0,60. El mismo procedimiento para concreto elaborado con mezcla patrón y CPCA2, con relación a/c = 0,45 y a/c = 0,60. Para la porosidad, se comparó la mezcla patrón con respecto a CPCA1, y lo mismo para la mezcla patrón con CPCA2 ambas para relaciones a/c = 0,45 y 0,60 a los 28 días.
En el sentido de enmarcar este trabajo de investigación y comparar datos muestrales respecto a los parámetros mundialmente aceptados se recurre a la norma ACI 211-91 (31) para resistencias de diseño y al Manual DURAR para porosidad (3). Los valores de resistencia de diseño fueron elegidos interpolando los de resistencia según la relación agua/cemento de acuerdo en la Norma ACI 211-91: f ’c (0,45) = 380kgf/cm² y f’ c = (0,60) = 264,29kgf/cm². A cada uno de los escenarios se le realizó análisis descriptivo e inferencial a través del diseño de experimentos, y del ANOVA de un solo factor con cero factores de bloque.
4. RESULTADOS Y DISCUSIÓN
4.1. Escenario 1. Análisis General de Todos los Tratamientos (k = 3) de Resistencia a la Compresión (f’c) con a/c = 0,45.
Análisis descriptivo. Para este análisis se obtuvieron 67 datos de mezclas de concreto con cemento CPCA1, 22 de CPCA2 y 51 de mezcla patrón, generando así una muestra total (n) igual a 140 datos de resistencia con relación agua/cemento igual a 0,45 analizados obteniendo como resultado los valores de la siguiente tabla:
Tabla 2 Tabla de datos descriptivos para (F’ c ) con a/c = 0,45.
| Mezclas | Recuento | Promedio (kgf/cm²) | Mediana (kgf/cm²) | Desviación Estándar | Coeficiente de variación |
|---|---|---|---|---|---|
| CPCA 1 | 67 | 328,052 | 345,56 | 61,1799 | 18,6494% |
| CPCA 2 | 22 | 270,971 | 249,25 | 72,1631 | 26,6313% |
| Patrón | 51 | 343,414 | 329,0 | 59,6964 | 17,3832% |
| Total | 140 | 324,679 | 333,42 | 66,6085 | 20,5152% |
Fuente: los autores
Al compararse con la resistencia de diseño f’ c = 380kgf/cm², se observa que la media aritmética de los tratamientos no cumple con el valor de diseño esperado. El valor posicional total es de 333,42kgf/cm². En cuanto a las desviaciones se observaron dispersiones relativamente bajas, con coeficiente de variación total intermedio, lo que quiere decir que el promedio de resistencia total no necesariamente representa al grupo.
Análisis inferencial. Para considerar la dispersión presentada en el análisis descriptivo se procedió con la varianza ANOVA que utiliza los cocientes de varianzas para probar la hipótesis de igualdad de medias 𝐻o= 𝜇1 = 𝜇2 = … =𝜇3 contra la alternativa Ha de que al menos una sea diferente, separando la variación total con cada fuente de variación, la variabilidad debida al tratamiento y la variabilidad debida al error (ver Tabla 3).
Tabla 3 Tabla ANOVA para (f’ c ) con a/c = 0,45.
| Fuente | Suma de Cuadrados | GI | Cuadrado Medio | Razón-F | Valor-P |
|---|---|---|---|---|---|
| Tratamientos | 82122,9 | 2 | 41061,5 | 10,52 | 0,0001 |
| Error | 534577,0 | 137 | 3902,03 | ||
| Total | 616700,0 | 139 |
Fuente: los autores
Se puede observar que la variabilidad debida a los tratamientos es de 82122,9kgf/cm² mientras que para el error es de 534577kgf/cm². La razón-F, que en este caso es igual a 10,52, es el cociente entre el estimado de variación entre tratamientos y el estimado del error. El Valor-P es el área bajo la curva de la distribución “F” de Fisher a la derecha de Fo = 10,52 en vista que el valor-P es menor que 0,01, existe una diferencia estadísticamente significativa entre las medias de los tratamientos, con un nivel de confianza de 0,99 rechazando la igualdad de medias e indicando que si hay efecto de tratamiento. En general se observa que el tratamiento CPCA2 es diferente, es decir, no se traslapa con CPCA1 ni patrón, por otra parte, se evidencia que la variabilidad de CPCA2 es mayor a la de CPCA1 y patrón, presentando la existencia de diferencias estadísticamente significativas.
Pruebas de rangos múltiples (LSD) con 99% de confiabilidad. Una vez rechazada la hipótesis nula del análisis de varianza y analizando los gráficos de caja y bigote y de medias (LSD) para los tratamientos en estudio, se investigó cuáles son diferentes por medio del método LSD (diferencia mínima significativa) que compara parejas de tratamientos. En la Tabla 4 se puede observar que los tratamientos CPCA1 y patrón pertenecen al grupo homogéneo, lo que quiere decir que poseen características similares o igualdad de medias, mientras que el tratamiento CPCA2 no comparte las mismas características que los otros tratamientos.
Tabla 4 Tabla de homogeneidad para (f’ c ) con a/c = 0,45.
| Mezclas | Casos | Media | Grupos Homogéneos |
|---|---|---|---|
| CPCA2 | 22 | 270,971 | X |
| CPCA1 | 67 | 328,052 | X |
| Patrón | 51 | 343,414 | X |
Fuente: los autores
Mientras que en la Tabla 5 el asterisco indica que el tratamiento CPCA2 presenta diferencias estadísticamente significativas respecto a los demás con un nivel de confianza del 99%.
Tabla 5 Tabla de LSD para (f’ c ) con a/c = 0,45.
| Contraste | Sig. | Diferencia | +/- Límites |
|---|---|---|---|
| CPCA1-CPCA2 | * | 57,081 | 40,0956 |
| CPCA1-PATRÓN | -15,3617 | 30,3228 | |
| CPCA2-Patrón | * | -72,4428 | 41,6213 |
Fuente: los autores
Pruebas gráficas de residuos para comprobar los supuestos (generalizado). Para darle validez a los resultados del ANOVA se verifican los supuestos de normalidad, varianza constante e independencia, ya que la variable respuesta se debe distribuir normalmente con la misma varianza en cada tratamiento y las mediciones deben ser independientes, utilizando para ello las pruebas gráficas de residuos.

Fuente: los autores
Figura 1 Probabilidad de: a) residuos para el supuesto de la normalidad, b) residuos/mezclas para el supuesto de varianza constante para (f’ c ) con a/c = 0,45y c) residuos para el supuesto de independencia para (f’c) con a/c=0,45
En la Figura 1a se puede observar cómo los residuos siguen una línea recta, de tal manera, se afirma que se ajustan a una distribución normal; mientras que en la Figura 1b se aprecia una amplitud considerable entre los residuos del tratamiento CPCA2, mientras que los otros dos tratamientos no,puesto que no refleja un patrón en epecífico se cumple el supuesto de varianza constante. Mientras que, en 1c muestra la aleatoriedad de los datos, es decir, no siguen un patrón en específico, por lo que se cumple el supuesto de independencia.
Pruebas analíticas para la verificación del supuesto de normalidad (individual). Debido a que el valor-P de la prueba realizada es mayor a 0,01, se acepta la idea de que el tratamiento patrón proviene de una distribución normal con 99% de confianza (ver Tabla 6). Por otro lado, debido a que el valor-P de la prueba realizada es menor a 0,01, se rechaza la idea de que tratamiento CPCA1 proviene de una distribución normal con 99% de confianza (ver Tabla 7). Por este motivo, es necesario realizar la Prueba de Bondad de ajuste de Kolmogorov-Smirnov, en la Tabla 8 de resultados mostrada se puede observar que el valor más pequeño obtenido es mayor a 0,01, el cual indica que se acepta la normalidad de los datos a través del Método de Kolgomorov-Smirnov con una confianza del 99%.
Tabla 6 Prueba de Shapiro Wilks para el tratamiento patrón para (f’c) con a/c = 0,45.
| Estadístico | Valor-P |
|---|---|
| 0,946813 | 0,0232475 |
Fuente: los autores
Tabla 7 Prueba de Shapiro Wilks para el tratamiento CPCA1 para (f’c) con a/c = 0,45.
| Estadístico | Valor-P |
|---|---|
| 0,92595 | 0,000655928 |
Fuente: los autores
Tabla 8 Prueba de Kolmogorov Smirnov para el tratamiento CPCA1 para (f’ c ) con a/c = 0,45.
| Normal | |
|---|---|
| DMAS | 0,0910574 |
| DMENOS | 0,134091 |
| DN | 0,134091 |
| Valor-P | 0,179811 |
Fuente: los autores
Por otro lado, debido a que el valor-P de la prueba realizada es menor a 0,01, se rechaza la idea de que tratamiento CPCA2 provenga de una distribución normal con 99% de confianza. Por este motivo es necesario realizar la Prueba de Bondad de ajuste de Kolmogorov- Smirnov (ver Tabla 9). En la Tabla 10 de resultados mostrada se puede observar que el valor más pequeño obtenido es mayor a 0,01, el cual indica que se acepta la normalidad de los datos a través del método de Kolmogorov Smirnov con una confianza del 99%.
Tabla 9 Prueba de Shapiro Wilks para el tratamiento CPCA2 para (f’c) con a/c = 0,45.
| Estadístico | Valor-P |
|---|---|
| 0,833007 | 0,0017245 |
Fuente: los autores
Tabla 10 Prueba de Kolmogorov Smirnov para el tratamiento CPCA1 para (f’ c ) con a/c = 0,45.
| Normal | |
|---|---|
| DMAS | 0,246183 |
| DMENOS | 0,199434 |
| DN | 0,246183 |
| Valor-P | 0,13899 |
Fuente: los autores
Verificación del supuesto de varianza constante . Para la verificación del supuesto de varianza constante de forma analítica se procede a calcular el estadístico de prueba Levene con los tres tratamientos conjuntamente (ver Tabla 11). Puesto que el valor-P es mayor que 0,01, no existe una diferencia estadísticamente significativa entre las desviaciones estándar, lo que significa que se acepta la igualdad de varianza entre tratamientos y se cumple este supuesto, con un nivel del 99,0% de confianza.
Tabla 11 Prueba de Levene para (f’ c ) con a/c = 0,45.
| Estadístico | Valor-P |
|---|---|
| 0,725038 | 0,4862 |
Fuente: los autores
4.2. Escenario 1. Análisis General de Todos los Tratamientos (k = 3) de Resistencia a la Compresión (f’ c ) con a/c = 0,60.
Análisis descriptivo. Para este análisis se obtuvieron 69 datos de mezclas de concreto con cemento CPCA1, 22 de CPCA2 y 19 de mezcla patrón, generando así una muestra total (n) igual a 110 datos de resistencia con relación agua/cemento igual a 0,60 visualizados en la Tabla 12.
Tabla 12 Tabla de datos descriptivos para (f’ c ) con a/c = 0,45.
| Mezclas | Recuento | Promedio (kgf/cm²) | Mediana (kgf/cm²) | Desviación Estándar | Coeficiente de variación |
|---|---|---|---|---|---|
| CPCA1 | 69 | 251,084 | 244,28 | 59,1709 | 23,5661% |
| CPCA2 | 22 | 187,314 | 210,33 | 45,5783 | 24,3326% |
| Patrón | 19 | 273,674 | 266,41 | 30,3285 | 11,082% |
| Total | 110 | 242,232 | 242,5 | 59,7245 | 24,6559% |
Fuente: los autores
Se puede observar que la media aritmética de los tratamientos presenta valores similares entre los concretos con CPCA1 y patrón, con una media total de 242,232kgf/cm², de estos se obtuvo que el tratamiento de mayor resistencia fue el patrón y detallándose que CPCA2 < CPCA1 < patrón. Al compararse con la resistencia de diseño f’ c = 264,29kgf/cm², se observa que la media aritmética del tratamiento con mezcla patrón cumple, por lo que se considera aceptable, sin embargo, la media de los tratamientos CPCA1 y CPCA2, no cumplen con el valor de diseño esperado. El valor posicional total es de 242,5kgf/cm²; en cuanto a las desviaciones, se observaron dispersiones relativamente bajas, con coeficiente de variación total intermedio, lo que significa que el promedio total no necesariamente representa al grupo.
Análisis inferencial. Al igual que en el caso anterior se realizará el análisis de varianza ANOVA que, separa la variación total con cada fuente de variación, la variabilidad debida al tratamiento y la variabilidad debida al error.
Tabla 13 Tabla ANOVA para (f´c) con a/c = 0,60.
| Fuente | Suma de Cuadrados | GI | Cuadrado Medio | Razón-F | Valor-P |
|---|---|---|---|---|---|
| Tratamientos | 90542,2 | 2 | 45271,1 | 16,24 | 0,0000 |
| Error | 298263 | 107 | 2787,5 | ||
| Total | 616700 | 109 |
Fuente: los autores
En la Tabla 13 se puede observar que la variabilidad debida a los tratamientos es de 90542,2kgf/cm² mientras que para el error es de 298263 kgf/cm². La razón-F, que en este caso es igual a 16,24, es el cociente entre el estimado de variación entre tratamientos y el estimado del error. El Valor-P es el área bajo la curva de la distribución “F” de Fisher a la derecha de Fo = 16,24 en vista que el valor-p de la prueba-F es menor que 0,01, se observa que existe una diferencia estadísticamente significativa entre las medias de los tratamientos, con un nivel de confianza de 0,99 rechazando la igualdad de medias e indicando que si hay efecto de tratamiento.
Pruebas de rangos múltiples (LSD) con 99% de confiabilidad . En la Tabla 14 se puede observar que los tratamientos CPCA1 y patrón pertenecen al mismo grupo homogéneo, lo que quiere decir que poseen características similares o igualdad de medias, mientras que el tratamiento CPCA2 no comparte las mismas características que los otros tratamientos. Para la Tabla 15 el asterisco indica que el tratamiento CPCA2 presenta diferencias estadísticamente significativas con los demás con un nivel de confianza del 99%.
Tabla 14 Tabla de homogeneidad para (f’ c ) con a/c = 0,60.
| Mezclas | Casos | Media | Grupos Homogéneos |
|---|---|---|---|
| CPCA2 | 22 | 187,314 | X |
| CPCA1 | 69 | 251,084 | X |
| Patrón | 19 | 273,674 | X |
Fuente: los autores
Tabla 15 Tabla de LSD para (f’ c ) con a/c = 0,60.
| Contraste | Sig. | Diferencia | +/- Límites |
|---|---|---|---|
| CPCA 1 - CPCA 2 | * | 63,7703 | 33,9015 |
| CPCA 1 - patrón | -22,5899 | 35,8735 | |
| CPCA 2 - patrón | * | -86,3601 | 43,3648 |
Fuente: los autores
Pruebas gráficas de residuos para comprobar los supuestos (generalizado). Para darle validez a los resultados del ANOVA se verifican los supuestos de normalidad, varianza constante e independencia. En la Figura 2a se puede observar como no todos los residuos se ajustan a la línea recta, por lo que no está muy claro gráficamente si se cumple el supuesto, por lo tanto, se comprobará de manera analítica a través de la prueba de Shapiro-Wilks posteriormente. En la Figura 2b se aprecia amplitud en la variabilidad de residuos del tratamiento CPCA2, mientras que la amplitud de los otros tratamientos no es tan significativa, los datos observados no presentan ningún patrón en forma de embudo ni de corneta, lo que significa que los tratamientos presentan igualdad de varianzas cumpliendo con el supuesto. Mientras que, 2c muestra la aleatoriedad de los datos, es decir, no siguen un patrón en específico, por lo que se cumple el supuesto de independencia.

Fuente: los autores
Figura 2 Probabilidad de: a) residuos para el supuesto de la normalidad, b) residuos/mezclas para el supuesto de varianza constante para (f’ c ) con a/c = 0,60, y c) residuos para el supuesto de independencia para (f’c) con a/c=0,60
Pruebas analíticas para verificación de supuestos. Verificación del supuesto de normalidad (individual). Se realizó la Prueba de Shapiro Wilks para el tratamiento Patrón para (f’ c ) con a/c = 0,60 (ver Tabla 16). Debido a que el valor-P de la prueba realizada es mayor a 0,01, se acepta la idea de que el tratamiento Patrón proviene de una distribución normal con 99% de confianza. Posteriormente se realiza la Prueba de Shapiro Wilks para el tratamiento CPCA1 para (f’c) con a/c = 0,60 (ver Tabla 17). Debido a que el valor-P de la prueba realizada es menor a 0,01, se rechaza la idea de que tratamiento CPCA1 proviene de una distribución normal con 99% de confianza. Por este motivo es necesario realizar la Prueba de Bondad de ajuste de Kolmogorov-Smirnov (ver Tabla 18). En esta tabla se observa que el valor más pequeño obtenido es mayor a 0,01, el cual indica que se acepta la normalidad de los datos a través del método de Kolmogorov Smirnov con una confianza del 99%.
Tabla 16 Prueba de Shapiro Wilks para el tratamiento patrón para (f’c) con a/c = 0,60.
| Estadístico | Valor-P |
|---|---|
| 0,910493 | 0,0755854 |
Fuente: los autores
Tabla 17 Prueba de Shapiro Wilks para el tratamiento CPCA1 para (f’c) con a/c = 0,60.
| Estadístico | Valor-P |
|---|---|
| 0,921377 | 0,000336057 |
Fuente: los autores
Tabla 18 Prueba de Kolmogorov Smirnov para el tratamiento CPCA1 para (f’ c ) con a/c = 0,60.
| Normal | |
|---|---|
| DMAS | 0,147014 |
| DMENOS | 0,0805177 |
| DN | 0,147014 |
| Valor-P | 0,101328 |
Fuente: los autores
De igual forma se realizó Prueba de Shapiro Wilks para el tratamiento CPCA2 para (f’ c ) con a/c = 0,60 (ver Tabla 19). Debido a que el valor-P de la prueba realizada es menor a 0.01, se rechaza la idea de que el tratamiento CPCA2 provenga de una distribución normal con 99% de confianza. Por este motivo es necesario realizar la Prueba de Bondad de ajuste de Kolmogorov- Smirnov (ver Tabla 20). En esta tabla se puede observar que el valor más pequeño obtenido es mayor a 0,01, el cual indica que se acepta la normalidad de los datos a través del método de Kolmogorov Smirnov con una confianza del 99%.
Tabla 19 Prueba de Shapiro Wilks para el tratamiento CPCA2 para (f’c) con a/c = 0,60.
| Estadístico | Valor-P |
|---|---|
| 0,845927 | 0,00287837 |
Fuente: los autores
Tabla 20 Prueba de Kolmogorov Smirnov para el tratamiento CPCA2 para (f’ c ) con a/c = 0,60.
| Normal | |
|---|---|
| DMAS | 0,244412 |
| DMENOS | 0,218988 |
| DN | 0,244412 |
| Valor-P | 0,144409 |
Fuente: los autores
Verificación del supuesto de varianza constante. Para esta verificación de forma analítica se procede a calcular el estadístico de prueba Levene con los tres tratamientos conjuntamente. Puesto que el valor-P es mayor que 0,01, no existe una diferencia estadísticamente significativa entre las desviaciones estándar, lo que significa que se acepta la igualdad de varianzas entre los tratamientos de este supuesto, con un nivel del 99,0% de confianza (ver Tabla 21).
4.3. Escenario 1. Análisis General de Todos los Tratamientos (k = 3) de Porosidad (%P) con a/c = 0,45.
Análisis descriptivo . Para este análisis se obtuvieron 60 datos de mezclas de concreto con cemento CPCA1, 16 de CPCA2 y 35 de mezcla patrón, generando así una muestra total (n) igual a 111 datos de porosidad total con relación agua/cemento igual a 0,45, en el cual, fueron analizados obteniendo como resultado los valores de la Tabla 22.
Tabla 22 Tabla de datos descriptivos para (%P) con a/c = 0,45.
| Mezclas | Recuento | Promedio (kgf/cm²) | Mediana (kgf/cm²) | Desviación Estándar | Coeficiente de variación |
|---|---|---|---|---|---|
| CPCA 1 | 60 | 16,7822 | 16,707 | 2,30286 | 13,7221% |
| CPCA 2 | 16 | 17,6088 | 17,265 | 1,26605 | 7,18988% |
| PATRÓN | 35 | 14,8489 | 15,88 | 2,32273 | 15,6425% |
| TOTAL | 111 | 16,2917 | 16,47 | 2,40343 | 14,7525% |
Fuente: los autores
Según se puede observar la media aritmética de los tratamientos CPCA1, CPCA2 y patrón iguales a 16,78, 17,61 y 14,85 % respectivamente, presentando valores variados entre sí, con una media total de 16,29 %, de estos se obtuvo que el tratamiento que presenta menor (%P) fue el Patrón , donde se tiene que Patrón < CPCA1 < CPCA2, al compararse con el valor referencial del Manual DURAR (3), donde se estipula que los concretos con Porosidad > 15% son concretos con durabilidad inadecuada, se puede estimar que los tratamientos son concretos porosos con durabilidad inadecuada, exceptuando en patrón que su vez se aproxima a 15%. El valor posicional de porosidad total es de 16,47 %. En cuanto a las desviaciones se observaron dispersiones bajas, con coeficiente de variación total intermedio, lo que significa que el promedio de porosidad total no necesariamente representa al grupo.
Análisis inferencial. En la Tabla 23 de ANOVA se puede observar que la variabilidad debida a los tratamientos es de 115,049 %, mientras que para el error es de 520,362 %. La razón-F, que en este caso es igual a 11,94, es el cociente entre el estimado de variación entre tratamientos y el estimado del error.
Tabla 23 Tabla ANOVA para (%P) con a/c = 0,45.
| Fuente | Suma de Cuadrados | GI | Cuadrado Medio | Razón-F | Valor-P |
|---|---|---|---|---|---|
| Tratamientos | 115,049 | 2 | 57,5246 | 11,94 | 0,0000 |
| Error | 520,362 | 108 | 4,81816 | ||
| Total | 635,411 | 110 |
Fuente: los autores
El Valor-P es el área bajo la curva de la distribución “F” de Fisher a la derecha de Fo = 11,94 en vista que el valor-p de la prueba-F es menor que 0,01, existe una diferencia estadísticamente significativa entre las medias de los tratamientos, con un nivel de confianza de 0,99 rechazando la igualdad de medias e indicando que si hay efecto de tratamiento.
Pruebas de rangos múltiples (LSD) con 99% de confiabilidad . Una vez rechazada la hipótesis nula del análisis de varianza, se procede a investigar cuáles tratamientos son diferentes, por medio del método LSD (diferencia mínima significativa) que compara parejas de tratamientos. En la Tabla 24 se puede observar que los tratamientos CPCA1 y CPCA2 pertenecen al grupo homogéneo, lo que quiere decir que poseen características similares, mientras que el tratamiento patrón no comparte las mismas características que los otros tratamientos. Mientras que para la Tabla 25 el asterisco indica que el tratamiento patrón presenta diferencias estadísticamente significativas con los demás con un nivel de confianza del 99%.
Tabla 24 Tabla de homogeneidad para (%P) con a/c = 0,45.
| Mezclas | Casos | Media | Grupos Homogéneos |
|---|---|---|---|
| Patrón | 35 | 14,8489 | X |
| CPCA1 | 60 | 16,7822 | X |
| CPCA2 | 16 | 17,6088 | X |
Fuente: los autores
Tabla 25 Tabla de LSD para (%P) con a/c = 0,45.
| Contraste | Sig. | Diferencia | +/- Límites |
|---|---|---|---|
| CPCA 1 - CPCA 2 | -0,8266 | 1,61944 | |
| CPCA 1 - Patrón | * | 1,93329 | 1,22418 |
| CPCA 2 - Patrón | * | 2,75989 | 1,73694 |
Fuente: los autores
Pruebas analíticas para verificación de supuestos. Verificación del supuesto de normalidad (individual). Se realiza la prueba de Shapiro Wilks para el tratamiento patrón para (%P) con a/c = 0,45. Debido a que el valor-P de la prueba realizada es menor a 0,01, se rechaza la idea de que tratamiento con mezcla patrón proviene de una distribución normal con 99% de confianza (ver Tabla 26). Por tal motivo es necesario realizar la Prueba de Bondad de ajuste de Kolmogorov-Smirnov. En la Tabla 27 se puede observar que el valor más pequeño obtenido es mayor a 0,01, el cual indica que se acepta la normalidad de los datos a través del método de Kolmogorov Smirnov con una confianza del 99%.
Tabla 26 Prueba de Shapiro Wilks para el tratamiento patrón para (%P) con a/c = 0,45.
| Estadístico | Valor-P |
|---|---|
| 0,816501 | 0,0000437233 |
Fuente: los autores
Tabla 27 Prueba de Kolmogorov Smirnov para el tratamiento patrón para (%P) con a/c = 0,45.
| Normal | |
|---|---|
| DMAS | 0,143081 |
| DMENOS | 0,248834 |
| DN | 0,248834 |
| Valor-P | 0,0262221 |
Fuente: los autores
De igual forma se procede con la Prueba de Shapiro Wilks para el tratamiento CPCA1 para (%P) con a/c = 0,45. Debido a que el valor-P de la prueba realizada es menor a 0,01, se rechaza la idea de que tratamiento CPCA1 provenga de una distribución normal con 99% de confianza (ver Tabla 28). Por este motivo es necesario realizar la Prueba de Bondad de ajuste de Kolmogorov- Smirnov, en la Tabla 29 de resultados mostrada se puede observar que el valor más pequeño obtenido es mayor a 0,01, el cual indica que se acepta la normalidad de los datos a través del método de Kolmogorov Smirnov con una confianza del 99%.
Tabla 28 Prueba de Shapiro Wilks para el tratamiento CPCA1 para (%P) con a/c = 0,45.
| Estadístico | Valor-P |
|---|---|
| 0,885385 | 0,000040216 |
Fuente: los autores
Tabla 29 Prueba de Kolmogorov Smirnov para el tratamiento CPCA1 para (%P) con a/c = 0,45.
| Normal | |
|---|---|
| DMAS | 0,115486 |
| DMENOS | 0,167491 |
| DN | 0,167491 |
| Valor-P | 0,0690287 |
Fuente: los autores
También se procede con la Prueba de Shapiro Wilks para el tratamiento CPCA2 para (%P) con a/c = 0,45. Debido a que el valor-P de la prueba realizada es mayor a 0,01, se acepta la idea de que tratamiento CPCA2 provenga de una distribución normal con 99% de confianza (ver Tabla 30).
Tabla 30 Prueba de Shapiro Wilks para el tratamiento CPCA2 para (%P) con a/c = 0,45.
| Estadístico | Valor-P |
|---|---|
| 0,944582 | 0,408972 |
Fuente: los autores
Verificación del supuesto de varianza constante:
Para la verificación del supuesto de varianza constante de forma analítica se procede a calcular el estadístico de prueba Levene con los tres tratamientos conjuntamente (ver Tabla 31). Puesto que el valor-P es mayor que 0,01, no existe una diferencia estadísticamente significativa entre las desviaciones estándar, lo que significa que se acepta la igualdad de varianzas entre tratamientos con un nivel del 99% de confianza.
4.4. Escenario 1. Análisis General de Todos los Tratamientos (k = 3) de Porosidad (%P) con a/c = 0,60.
Análisis descriptivo . Para este análisis se obtuvieron 66 datos de mezclas de concreto con cemento CPCA1, 16 de CPCA2 y 21 de mezcla patrón , generando así una muestra total (n) igual a 103 datos de porosidad total con relación agua/cemento igual a 0,60 (ver Tabla 32) se puede observar la media aritmética de los tratamientos CPCA1, CPCA2 y patrón iguales a 17,73, 17,76 y 16,12 % respectivamente, presentando valores similares entre sí, lo que indica poca variabilidad, con una media total de 17,41 %, de estos se obtuvo que el tratamiento que presenta menor porosidad fue el Patrón , donde se tiene que patrón < CPCA1 < CPCA2, al compararse con el valor referencial del Manual DURAR donde se estipula que los concretos con porosidad > 15% son concretos con durabilidad inadecuada, se observa que estos concretos son porosos con durabilidad inadecuada. El valor posicional de porosidad total es de 17,33 %. En cuanto a las desviaciones se observaron dispersiones bajas, con coeficiente de variación total intermedio, lo que significa que el promedio de porosidad total no necesariamente representa al grupo.
Tabla 32 Datos descriptivos (%P) con a/c = 0,60.
| Mezclas | Recuento | Promedio (kgf/cm²) | Mediana (kgf/cm²) | Desviación Estándar | Coeficiente de variación |
|---|---|---|---|---|---|
| CPCA 1 | 66 | 17,7328 | 17,29 | 2,71513 | 15,3113% |
| CPCA 2 | 16 | 17,7581 | 17,875 | 0,819034 | 4,61216% |
| PATRÓN | 21 | 16,1205 | 16,8 | 2,52058 | 15,6359% |
| TOTAL | 103 | 17,408 | 17,33 | 2,54381 | 14,6129% |
Fuente: los autores
Análisis inferencial . Se puede observar en la tabla 33 que la variabilidad debida a los tratamientos es 43,74 %, mientras que para el error es de 616,30 %. La razón-F, que en este caso es igual a 3,55, es el cociente entre el estimado de variación entre tratamientos y el estimado del error. El Valor-P es el área bajo la curva de la distribución “F” de Fisher a la derecha de Fo = 3,55 en vista que el Valor-P de la prueba-F es mayor a 0,01 no existe diferencia estadísticamente significativa entre las medias de los tratamientos, con un nivel de confianza de 0,99 aceptando la hipótesis nula y con ello la igualdad de medias e indicando que no hay efecto entre los tratamientos.
Tabla 33 Tabla ANOVA para (%P) con a/c = 0,60.
| Fuente | Suma de Cuadrados | GI | Cuadrado Medio | Razón-F | Valor-P |
|---|---|---|---|---|---|
| Tratamientos | 43, 7356 | 2 | 21,8678 | 3,55 | 0,0325 |
| Error | 616,303 | 100 | 6,16303 | ||
| Total | 660,039 | 102 |
Fuente: los autores
Pruebas analíticas para verificación de supuestos . Verificación del supuesto de normalidad (individual). Prueba de Shapiro Wilks para el tratamiento patrón para (%P) con a/c = 0,60 (ver Tabla 34), debido a que el valor-P de la prueba realizada es menor a 0,01, se rechaza la idea de que tratamiento con mezcla patrón proviene de una distribución normal con 99% de confianza. Por tal motivo es necesario realizar la Prueba de Bondad de ajuste de Kolmogorov-Smirnov,
Tabla 34 Prueba de Shapiro Wilks para el tratamiento patrón para (%P) con a/c = 0,60.
| Estadístico | Valor-P |
|---|---|
| 0,810214 | 0,00094396 |
Fuente: los autores
En la Tabla 35 se puede observar que el valor más pequeño obtenido es mayor a 0,01, el cual indica que se acepta la normalidad de los datos a través del método de Kolmogorov Smirnov con una confianza del 99%.
Tabla 35 Prueba de Kolmogorov Smirnov para el tratamiento patrón para (%P) con a/c = 0,60.
| Normal | |
|---|---|
| DMAS | 0,149268 |
| DMENOS | 0,240159 |
| DN | 0,240159 |
| Valor-P | 0,177478 |
Fuente: los autores
De igual forma se procede para el tratamiento CPCA1 para (%P) con a/c = 0,60 y con conclusiones similares (ver Tabla 36 y 37).
Tabla 36 Prueba de Shapiro Wilks para el tratamiento CPCA1 para (%P) con a/c = 0,60.
| Estadístico | Valor-P |
|---|---|
| 0,906957 | 0,000117045 |
Fuente: los autores
Tabla 37 Prueba de Kolmogorov Smirnov para el tratamiento CPCA1 para (%P) con a/c = 0,60.
| Normal | |
|---|---|
| DMAS | 0,125468 |
| DMENOS | 0,0783382 |
| DN | 0,125468 |
| Valor-P | 0,250615 |
Fuente: los autores
Igualmente, para el tratamiento CPCA2 para (%P) con a/c = 0,60 y con conclusiones similares (ver Tabla 38).
Tabla 38 Prueba de Shapiro Wilks para el tratamiento CPCA2 para (%P) con a/c = 0,60.
| Estadístico | Valor-P |
|---|---|
| 0,922851 | 0,187452 |
Fuente: los autores
Para la verificación del supuesto de varianza constante de forma analítica se procede a calcular el estadístico de prueba Levene con los tres tratamientos conjuntamente (ver Tabla 39). Puesto que el valor-P es mayor o igual que 0,01, no existe diferencia estadísticamente significativa entre las desviaciones estándar, lo que significa que hay igualdad de varianza entre los tratamientos con un nivel del 99,0% de confianza.
4.2. Escenario 2
Los datos utilizados son los mismos que se utilizaron en el escenario uno. Para cumplirse la validez de los supuestos del modelo se debe cumplir la condición de que Valor-P > 0,01 por tanto, se acepta la hipótesis nula. En la Tabla 40 se observa el análisis descriptivo un promedio global de 334,69kgf/cm² con dispersión intermedia. En la parte inferencial se observó el valor-p de la prueba-F igual a 0,17 por lo que se acepta la igualdad de medias, indicando que no hay efectos entre los tratamientos. Se tiene en las siguientes tabas tratamientos para f’c.
Tabla 40 Tabla resumen (f’c) con a/c = 0,45 (CPCA1 y Patrón).
| Mezclas | Recuento | Promedio (kgf/cm²) | Mediana (kgf/cm²) | Desviación Estándar | Coeficiente de variación | ANOVA Valor-P | S-W Valor-P | K-S | Levene Valor-P |
|---|---|---|---|---|---|---|---|---|---|
| CPCA 1 | 67 | 328,052 | 345,56 | 61,1799 | 18,6494% | 0,0006 | Aceptado | ||
| Patrón | 51 | 343,414 | 329,0 | 59,6964 | 17,3832% | 0,1748 | 0,0232 | 0,9646 | |
| TOTAL | 118 | 334,692 | 341,035 | 60,7681 | 18,1564% |
Fuente: los autores
En la Tabla 41 se observa un promedio global de 321,58kgf/cm² con dispersión intermedia. El valor-p de ANOVA es igual a 0,00 por lo que se rechaza la igualdad de medias, indicando un efecto entre los tratamientos. La validez de los resultados de los supuestos es aceptada por ser valores mayores a 0,01.
Tabla 41 Tabla resumen (F’c) con a/c = 0,45 (CPCA2 y Patrón).
| Mezclas | Recuento | Promedio (kgf/cm²) | Mediana (kgf/cm²) | Desviación Estándar | Coeficiente de variación | ANOVA Valor-P | S-W Valor-P | K-S | Levene Valor-P |
|---|---|---|---|---|---|---|---|---|---|
| CPCA 2 | 22 | 270,971 | 249,25 | 72,1631 | 26,6313% | 0,0017 | Aceptado | ||
| Patrón | 51 | 343,414 | 329,0 | 59,6964 | 17,3832% | 0,0000 | 0,0232 | 0,2773 | |
| TOTAL | 73 | 321,582 | 317,0 | 71,5116 | 22,2374% |
Fuente: los autores
En la Tabla 42 para (f’ c ) con a/c = 0,60 para CPCA1 y patrón, el promedio global de 255,96 kg/cm² con dispersión intermedia. El valor-p de ANOVA es igual a 0,11 por lo que se acepta la igualdad de medias, indicando que no existe efecto entre tratamientos. La validez de los resultados de los supuestos es aceptada por ser valores mayores a 0,01.
Tabla 42 Tabla resumen (f’c) con a/c = 0,60 (CPCA1 y Patrón).
| Mezclas | Recuento | Promedio (kgf/cm²) | Mediana (kg/cm²) | Desviación Estándar | Coeficiente de variación | ANOVA Valor-P | S-W Valor-P | K-S | Levene Valor-P |
|---|---|---|---|---|---|---|---|---|---|
| CPCA 1 | 69 | 251,084 | 244,28 | 59,1709 | 23,5661% | 0,0003 | Aceptado | 0,0108 | |
| Patrón | 19 | 273,674 | 266,41 | 30,3285 | 11,082% | 0,1127 | 0,0755 | ||
| TOTAL | 88 | 255,962 | 249,78 | 54,9022 | 21,4494% |
Fuente: los autores
Se observa ahora en la Tabla 43 un promedio global de 227,33kgf/cm² con dispersión intermedia. El valor-p de ANOVA igual a 0,00 por lo que se rechaza la igualdad de medias, indicando que existe efecto entre los tratamientos. La validez de los resultados viene dada por el cumplimiento de los supuestos, el cual es rechazada por la prueba de igualdad de varianzas (Levene) lo que invalida este diseño (DCA)
Tabla 43 Tabla resumen (f’c) con a/c = 0,60 (CPCA2 y Patrón).
| Mezclas | Recuento | Promedio (kgf/cm²) | Mediana (kgf/cm²) | Desviación Estándar | Coeficiente de variación | ANOVA Valor-P | S-W Valor-P | K-S | Levene Valor-P |
|---|---|---|---|---|---|---|---|---|---|
| CPCA 2 | 22 | 187,314 | 210,33 | 45,5783 | 24,3326% | 0,0028 | Aceptado | ||
| Patrón | 19 | 273,674 | 266,41 | 30,3285 | 11,082% | 0,0000 | 0,0755 | 0,0002 | |
| TOTAL | 41 | 227,335 | 234,53 | 58,3562 | 25,6697% |
Fuente: los autores
Para observar la porosidad (%P), se tiene en la Tabla 44 un promedio global de 16,07% con dispersión intermedia. El valor-p de ANOVA es igual a 0,00 por lo que se rechaza la igualdad de medias, indicando un efecto entre los tratamientos. La validez de los resultados de los supuestos es aceptada por ser valores mayores a 0,01.
Tabla 44 Tabla resumen (%P) con a/c = 0,45 (CPCA1 y Patrón).
| Mezclas | Recuento | Promedio (kgf/cm²) | Mediana (kgf/cm²) | Desviación Estándar | Coeficiente de variación | ANOVA Valor-P | S-W Valor-P | K-S | Levene Valor-P |
|---|---|---|---|---|---|---|---|---|---|
| CPCA 1 | 60 | 16,7822 | 16,707 | 2,30286 | 13,7221% | 0,0004 | Aceptado | ||
| Patrón | 35 | 14,8489 | 15,88 | 2,32273 | 15,6425% | 0,0002 | 0,0004 | Aceptado | 0,3164 |
| TOTAL | 95 | 16,0699 | 16,36 | 2,48172 | 15,4433% |
Fuente: los autores
Mientras que la Tabla 45 un promedio global de 15,71% con dispersión intermedia. El valor-p de ANOVA es igual a 0,00 por lo que se rechaza la igualdad de medias, indicando que existe efecto entre los tratamientos. La validez de los resultados de los supuestos es aceptada por ser valores mayores a 0,01.
Tabla 45 Tabla resumen (%P) con a/c = 0,45 (CPCA2 y Patrón).
| Mezclas | Recuento | Promedio (kgf/cm²) | Mediana (kgf/cm²) | Desviación Estándar | Coeficiente de variación | ANOVA Valor-P | S-W Valor-P | K-S | Levene Valor-P |
|---|---|---|---|---|---|---|---|---|---|
| CPCA 2 | 16 | 17,6088 | 17,265 | 1,26605 | 7,18988% | 0,0001 | 0,4089 | Aceptado | |
| Patrón | 35 | 14,8489 | 15,88 | 2,32273 | 15,6425% | 0,00004 | 0,0380 | ||
| TOTAL | 51 | 15,7147 | 16,1 | 2,41294 | 15,3547% |
Fuente: los autores
Para el caso de a/c = 0,60 se tiene, en la Tabla 46 un promedio global de 17,34 % con dispersión intermedia. El valor-p de ANOVA es igual a 0,018 por lo que se acepta la igualdad de medias, indicando que no existe efecto entre tratamientos. La validez de los resultados de los supuestos es dada por ser valores mayores a 0,01. Por otro lado, en la Tabla 47 se tiene un promedio global de 16,83 % con dispersión intermedia. El valor-p de ANOVA igual a 0,02 por lo que se acepta la igualdad de medias, indicando que no existe efecto entre los tratamientos. La validez de los resultados viene dada por supuestos, el cual es rechazada por la prueba de igualdad de varianzas (Levene) lo que invalida el DCA con cero factores de bloque.
Tabla 46 Tabla resumen (%P) con a/c = 0,60 (CPCA1 y Patrón).
| Mezclas | Recuento | Promedio (kgf/cm²) | Mediana (kgf/cm²) | Desviación Estándar | Coeficiente de variación | ANOVA Valor-P | S-W Valor-P | K-S | Levene Valor-P |
|---|---|---|---|---|---|---|---|---|---|
| CPCA 1 | 66 | 17,7328 | 17,29 | 2,71513 | 15,3113% | 0,0181 | 0,0001 | Aceptado | |
| Patrón | 21 | 16,1205 | 16,8 | 2,52058 | 15,6359% | 0,0009 | Aceptado | 0,6963 | |
| TOTAL | 87 | 17,3436 | 17,25 | 2,74424 | 15,8228% |
Fuente: los autores
Tabla 47 Tabla resumen (%P) con a/c = 0,60 (CPCA2 y Patrón).
| Mezclas | Recuento | Promedio kgf/cm² | Mediana kgf/cm² | Desviación Estándar | Coeficiente de variación | ANOVA Valor-P | S-W Valor-P | K-S | Levene Valor-P |
|---|---|---|---|---|---|---|---|---|---|
| CPCA 2 | 16 | 17,7581 | 17,875 | 0,819034 | 4,61216% | 0,1874 | |||
| Patrón | 21 | 16,1205 | 16,8 | 2,52058 | 15,6359% | 0,0175 | 0,0009 | Aceptado | 0,0076 |
| TOTAL | 37 | 16,8286 | 17,55 | 2,11794 | 12,5853% |
Fuente: los autores
5. CONCLUSIONES
A continuación, se presentan las conclusiones en base a los resultados obtenidos del análisis estadístico de la resistencia a la compresión y porosidad de concretos elaborados con cemento Portland tipo 1, CPCA1 y CPCA2 de trabajos de grado realizados en el DIC.
Para el escenario 1, del análisis descriptivo los promedios que no cumplieron con los parámetros de diseño establecidos en la norma ACI (American Concrete Institute) (30) y en el Manual DURAR (3), es debido a que el concreto es un material muy variable, presentado dispersiones intermedias en todos los tratamientos. En el análisis de varianza para de resistencia a la compresión (f’ c ) con relación a/c = 0,45 y a/c = 0,60 y porosidad (%P) con a/c= 0,45 se rechazó la hipótesis nula de igualdad de medias por lo que se concluye que hay diferencias significativas entre los tratamientos. Mientras que en el análisis de porosidad (%P) con a/c=0,60 se aceptó la hipótesis de igualdad de media y se concluye que no existe diferencias significativas entre los tratamientos. Los supuestos del modelo del diseño experimental (DCA) con cero factores de bloque de normalidad, varianza constante e independencia se cumplieron de manera gráfica y analítica.
Para el escenario 2, de los análisis realizados todos los tratamientos presentan variabilidad intermedia. Cuatro presentaron efecto entre tratamientos mientras que para los otros cuatro no hubo efecto entre los tratamientos, aceptando la validez de los supuestos y con ello el diseño completamente al azar con cero factores de bloque para seis de los análisis, en los otros dos análisis de resistencia a la compresión y porosidad con a/c = 0,60 para tratamientos de mezcla patrón y CPCA2, se rechazó el supuesto de varianza constante invalidando el diseño completamente al azar con cero factores de bloque.
Concretos elaborados con cemento adicionado CPCA1 a pesar de no alcanzar la resistencia de diseño esperada, si se consideran concretos estructurales para usos específicos, aquellos elaborados con cemento adicionado CPCA2 no se consideran concretos estructurales. Los elaborados con cemento adicionado CPCA son altamente porosos con durabilidad inadecuada.
Por otro lado, el promedio de resistencia a la compresión y porosidad total de cada tratamiento con diferente relación agua/cemento se presenta a continuación:
La resistencia a la compresión para tratamiento Patrón con a/c= 0,45 fue 343,414 kgf/cm²
La resistencia a la compresión para tratamiento Patrón con a/c= 0,60 fue 273,674 kgf/cm²
La resistencia a la compresión para tratamiento CPCA1 con a/c= 0,45 fue 328,052 kgf/cm²
La resistencia a la compresión para tratamiento CPCA1 con a/c= 0,60 fue 251,084 kgf/cm²
La resistencia a la compresión para tratamiento CPCA2 con a/c= 0,45 fue 270,971 kgf/cm²
La resistencia a la compresión para tratamiento CPCA2 con a/c= 0,60 fue 187,314 kgf/cm²
La porosidad para tratamiento patrón con a/c = 0,45 fue 14,85%
La porosidad para tratamiento patrón con a/c = 0,60 fue 16,12%
La porosidad para tratamiento CPCA1 con a/c = 0,45 fue 16,78%
La porosidad para tratamiento CPCA1 con a/c = 0,60 fue 17,73%
La porosidad para tratamiento CPCA2 con a/c = 0,45 fue 17,61%
La porosidad para tratamiento CPCA2 con a/c = 0,60 fue 17,76%
Se evidencia que a pesar de que el concreto en cada tratamiento posee diferentes relaciones agua/cemento, la variabilidad de la porosidad no es significante, lo que indica que la porosidad del concreto no depende de la relación agua/cemento, sino de otros factores.















