INTRODUCCIÓN
La inteligencia artificial (IA) se ha consolidado como una de las disciplinas más transformadoras de las últimas décadas, redefiniendo sectores clave de la sociedad, incluida la educación. En la década de 1950, se buscaba emular procesos cognitivos humanos y realizar tareas de razonamiento lógico, donde la IA experimentó una evolución notable. La introducción del aprendizaje automático en las décadas de 1980 y 1990 permitió a las máquinas identificar patrones y mejorar su rendimiento sin programación explícita (Cheng, 2022). El aprendizaje profundo genera avances significativos, con modelos para reconocer imágenes, traducir idiomas y producir contenido original (Gao et al., 2020). También se integra la IA en la vida cotidiana, así como en áreas de la medicina, la industria y la educación innovando métodos y técnicas de aprendizaje (Huang et al., 2021).
A partir del año 2022, en el ámbito educativo, los universitarios utilizan la IA en mayor medida para la resolución de tareas, debido a que tienen recursos adaptados a sus necesidades individuales y a métodos innovadores que eran impensables en entornos educativos tradicionales (Orji & Vassileva, 2022). Los chatbots educativos y las simulaciones avanzadas fomentan un enfoque más experimental y creativo, transformando la relación de los estudiantes con el conocimiento (Chan & Hu, 2023). Sin embargo, estas innovaciones también plantean desafíos, como la dependencia tecnológica, el posible desplazamiento de los docentes y las implicaciones éticas asociadas a datos no corroborados científicamente en plataformas de esta índole. En este contexto, la IA no debe considerarse un reemplazo de la educación tradicional, sino una herramienta complementaria del aprendizaje y sobre todo buscar una legislación adecuada enfocada hacia la IA en las herramientas digitales (Huerta & Zavala, 2023).
Estudios recientes han identificado una amplia gama de opiniones: mientras algunos estudiantes valoran la personalización, la retroalimentación inmediata y el acceso a conocimientos avanzados, otros expresan preocupaciones sobre los riesgos de una dependencia excesiva (Chan & Hu, 2021). Comprender cómo los estudiantes perciben la utilidad, los beneficios, efectividad y limitaciones de estas herramientas es esencial para diseñar estrategias pedagógicas que aprovechen al máximo su potencial (Martínez, 2025) mientras abordan sus desafíos (Wang, 2024). El análisis de sentimientos (AS) identifica y extrae información subjetiva de textos, clasificando los sentimientos expresados como positivos, negativos o neutros (Liu, 2012). El AS ofrece una herramienta poderosa para identificar actitudes estudiantiles hacia la IA, pero requiere de supervisión humana para interpretaciones precisas (Cambria et al., 2013).
Esta investigación tiene como objetivo explorar la percepción de sentimientos de los estudiantes de la Universidad Tecnológica de Nezahualcóyotl (UTN) sobre el uso de herramientas de IA en su aprendizaje. Esto permite una evaluación detallada de su aceptación y percepción de estas tecnologías. Por lo tanto, la pregunta de investigación de este estudio es ¿cómo los estudiantes de licenciatura de la UTN perciben el uso de IA en su educación? La relevancia de este estudio radica en su contribución al entendimiento de cómo la IA puede consolidarse como un pilar del progreso educativo en una institución pública situada en límites territoriales donde existen problemas socioeconómicos.
METODOLOGÍA
Para responder al objetivo planteado se realizó una investigación enmarcada en el paradigma positivista debido a que busca la obtención de conocimiento a través de métodos cuantitativos para garantizar la objetividad y confiabilidad de los resultados. Bernal, (2010) bajo el método hipotético-deductivo en el que existe un supuesto que va a responder una pregunta de investigación (Popper, 2019). Utilizando un enfoque cuantitativo por el análisis numérico que se realizará sobre la percepción de los estudiantes y un diseño no experimental de tipo descriptivo, es decir, una metodología que se caracteriza por observar y describir fenómenos en su contexto natural (Arias & Covinos, 2021). Adicionalmente, el estudio tiene un corte transversal, dado que los datos se recopilaron en un momento específico. (Hernández, & Mendoza, 2018).
La población para la realización del estudio se conformó por 2350 alumnos que cursan carreras pertenecientes a cinco áreas de conocimiento de la UTN. La División de Ciencias de la Salud, Ciencias Básicas y de Ingeniería, Ciencias Informáticas y de Computación, Ciencias Ambientales y Ciencias Sociales y Administrativas, pertenecientes al Estado de México (EdoMex). Incluyendo alumnos de diferentes edades que se encuentran inscritos en estas carreras y de ambos géneros la población final se describe en los criterios de inclusión y exclusión.
La técnica para la obtención de datos consistió en proporcionar el instrumento a un grupo de alumnos donde se impartían clases. A este grupo se les indicó que apliquen el instrumento a otros estudiantes de la misma casa de estudio. Esta técnica es conocida como bola de nieve en estadística, de esta manera se puede acceder a un número de estudiantes más amplio y a poblaciones de estudiantes a los cuales los investigadores tienen poco acceso (Kirchherr & Charles, 2018), (Naderifar, 2017). Adicionalmente, se solicitó a los profesores de diversas áreas que usaran la misma técnica para la recolección de datos. Asimismo, se instruye a los estudiantes a que realicen el cuestionario de manera cómoda, sin prisas y con el tiempo necesario para contestar el instrumento de recolección de datos. Éste se aplicó después de qué se realizaron los exámenes para no alterar la objetividad en las respuestas debido a estrés.
En este estudio se utilizó un cuestionario como instrumento de investigación para obtención de información, diseñado para cuantificarla y universalizarla, (Arribas, 2004), diseñado para evaluar las percepciones de los estudiantes sobre el uso de la IA en la educación, asegurando que las preguntas no revelaran explícitamente el sentimiento investigado para evitar sesgos en las respuestas (Suh & Ahn, 2022). Las preguntas se formularon con tres opciones de respuesta como se utiliza en escala Likert (Likert, 1932) (1. Positivo, 2. Neutro, 3. Negativo), lo que permitió obtener respuestas homogéneas por ítem y capturar de manera equilibrada las actitudes de los participantes hacia la IA.
El instrumento fue validado mediante un proceso riguroso en dos etapas, en la primera se realizó la revisión del instrumento por expertos de la materia y en la segunda se hizo su validación y confiabilidad. La primera etapa: se sometió a la revisión de cinco expertos con grado de doctorado y experiencia en diseño de instrumentos de evaluación (González, 2022). Estos expertos evaluaron si los ítems que están en el instrumento son claros, precisos, relevantes, coherentes, la redacción, el estilo y exhaustivos (López, 2019) de las preguntas en relación con el tema de la IA en la educación, así como su capacidad para capturar los sentimientos de los estudiantes. La validación se realizó a través de una aplicación web que facilitó la recolección de retroalimentaciones, con ajustes basados en las recomendaciones, para garantizar su calidad y relevancia.
Se realizaron 2 cuestionarios, uno para los usuarios que han utilizado IA y el otro para los que no han utilizado. Ambos constan de 10 preguntas cuidadosamente formuladas para capturar actitudes sin revelar explícitamente el sentimiento investigado, minimizando sesgos en las respuestas. Cada pregunta ofrece las tres opciones de respuesta mencionadas, acompañadas de descripciones que clarifican el significado de cada opción, asegurando que los estudiantes comprendan y seleccionen la respuesta que mejor refleja su perspectiva. A continuación, se muestra el cuestionario, con las preguntas y las descripciones asociadas, (en el cuestionario no aparecen Positivo, Neutro ni negativo) proporcionando una representación clara del instrumento utilizado.
Los criterios de inclusión para aplicar el instrumento son los siguientes: Se incluyeron estudiantes activos matriculados en las carreras de UTN en el EdoMex durante el primer cuatrimestre de 2025, con edades comprendidas entre 17 a 30 años quienes proporcionaron consentimiento informado para participar. Inicialmente se consideró una población de 2350 estudiantes, para la validación inicial de este método se seleccionó una submuestra de 92 participantes que cumplen con los mismos criterios, con el fin de realizar una prueba piloto. Los criterios de exclusión son los siguientes: Se excluyeron estudiantes que no estaban activos en el periodo de recolección de datos, aquellos fuera de rango de edad establecido, quienes no otorgaron su consentimiento informado y los que decidieron no participar, lo que resultó en la exclusión de 68 estudiantes de la población inicial.
¿Consideras que las inteligencias artificiales son útiles para el desarrollo de tus tareas?
Positivo: Considero que son muy útiles.
Neutro: Algunas veces son útiles, pero no siempre.
Negativo: No considero que sean útiles.
¿Crees que las inteligencias artificiales solo te sirven para entregar tareas, sin aportar valor adicional?
Positivo: Estoy de acuerdo, solo me ayudan a entregar.
Neutro: A veces me sirven para entregar, pero también me aportan valor.
Negativo: No, me aportan mucho más que solo para entregar tareas.
¿Consideras que las inteligencias artificiales limitan tu aprendizaje al proporcionar información automáticamente?
Positivo: Sí, siento que limitan mi aprendizaje.
Neutro: A veces limitan mi aprendizaje, pero no siempre.
Negativo: No, no considero que limiten mi aprendizaje.
¿Confías plenamente en las respuestas de las inteligencias artificiales o las cuestionas?
Positivo: Confío plenamente en sus respuestas.
Neutro: Depende de la situación, a veces confío y a veces cuestiono.
Negativo: Siempre cuestiono las respuestas de la inteligencia artificial.
¿Las inteligencias artificiales te proporcionan los recursos detallados que necesitas para tus tareas?
Positivo: Sí, siempre me proporcionan los recursos detallados.
Neutro: A veces me proporcionan los recursos detallados.
Negativo: No, no me proporcionan los recursos detallados.
¿Repasas el contenido proporcionado por la inteligencia artificial para mejorar tu comprensión, o solo lo aceptas cómo está?
Positivo: Siempre repaso y pido más explicaciones para entender mejor.
Neutro: A veces repaso el contenido, pero no siempre.
Negativo: No repaso el contenido, lo acepto como está.
¿Consideras que la inteligencia artificial resuelve las tareas complejas en el primer intento?
Positivo: Sí, normalmente lo resuelve en el primer intento.
Neutro: A veces lo resuelve al primer intento, pero no siempre.
Negativo: No, casi nunca lo resuelve al primer intento.
¿Crees que necesitas una preparación previa para utilizar inteligencias artificiales de manera efectiva?
Positivo: Sí, considero que es necesario prepararse previamente.
Neutro: Depende de la situación, a veces es necesario prepararse.
Negativo: No, no creo que necesite preparación previa.
¿Recomendarías el uso de inteligencias artificiales a personas cercanas para mejorar sus competencias educativas?
Positivo: Sí, las recomendaría.
Neutro: Tal vez las recomendaría, depende de la persona.
Negativo: No, no las recomendaría.
¿Crees que las inteligencias artificiales son una buena alternativa para el desarrollo tecnológico, social y cultural de la humanidad?
Positivo: Sí, definitivamente creo que son una buena alternativa.
Neutro: A veces sí, pero tengo algunas dudas.
Negativo: No, no considero que sean una buena alternativa.
Este diseño del cuestionario permite capturar una amplia gama de percepciones estudiantiles, desde la utilidad y confianza en la IA hasta su impacto en el aprendizaje y su relevancia social. La estructura de las preguntas y las opciones de respuesta con tres ítems facilita el AS, alineándose con los objetivos del estudio de informar estrategias para la integración efectiva de la IA en la educación superior.
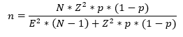
En la segunda etapa: para el análisis estadístico se llevó a cabo una prueba piloto para evaluar la confiabilidad y validez estadística del cuestionario. La muestra piloto (García, 2013) se determinó utilizando la fórmula de muestreo para poblaciones finitas:
Donde:
N = 2350 (tamaño de la población),
Z = 1.96 (valor Z para un nivel de confianza del 95 %),
p = 0.5 (proporción esperada, asumiendo máxima variabilidad),
E = 0.1 (margen de error del 10 %, adecuado para pruebas piloto).
Sustituyendo los valores:
Por lo tanto, se seleccionaron 92 estudiantes de nivel licenciatura para la prueba piloto, un tamaño adecuado para pruebas psicométricas de un instrumento de 10 ítems, representando la población de 2350 estudiantes. Para evaluar la confiabilidad del cuestionario utilizado en el estudio, las respuestas de la submuestra de 92 participantes se organizaron en una matriz de datos de 92 filas (participantes) y 10 columnas (ítems), correspondientes a las preguntas de la escala Likert de tres puntos (1 = Positivo, 2 = Neutro, 3 = Negativo) sobre las actitudes hacia la inteligencia artificial (IA). Se calcularon las varianzas de cada ítem para determinar la dispersión de las respuestas individuales y las covarianzas entre todos los pares de ítems para evaluar la consistencia de las respuestas entre las preguntas (Aiken, 2003). A partir de estos valores, se obtuvo el promedio de las covarianzas y se aplicó la fórmula del Alfa de Cronbach, que mide la consistencia interna del instrumento (Cronbach, 1951).
El resultado fue un valor de 0.83, indicando una alta confiabilidad según criterios estándar, donde valores superiores a 0.7 son considerados aceptables en investigaciones educativas (Ventura, 2017). Este valor valida la idoneidad del cuestionario para determinación de factores, debido a que refleja una fuerte correlación entre los ítems, asegurando que miden de manera coherente el constructo de actitudes hacia la IA. La alta confiabilidad permite confiar en la estabilidad de los datos para identificar factores subyacentes, como percepciones positivas o negativas, que contribuyen al análisis descriptivo del estudio (Arias & Covinos, 2021).
Para evaluar la fiabilidad del cuestionario de 10 ítems, se empleó el método de mitades equivalentes, dividiendo los ítems en dos subgrupos equivalentes: ítems impares (Statologos, 2022) (1, 3, 5, 7, 9) y pares (2, 4, 6, 8, 10). Se calculó la correlación de Pearson entre las puntuaciones de ambas mitades en una muestra de 2350 estudiantes, obteniendo un coeficiente de (r12 = 0.75), lo que indica una buena consistencia interna inicial. Este resultado valida la coherencia de los ítems para medir el constructo de actitudes hacia la IA, asegurando que el cuestionario es confiable para la determinación de factores en el análisis descriptivo, en línea con el diseño no experimental de corte transversal (Arias & Covinos, 2021). El AS aplicado en este estudio se diseñó para clasificar las percepciones de los estudiantes sobre el uso de IA en su formación académica, la clasificación de los sentimientos se realizó según los siguientes criterios:
Sentimiento Positivo: Se asignó a estudiantes que respondieron Positivo en todos los ítems (puntuación total = 30) o cuya suma de respuestas estuvo en el rango de 21 a 30. Este rango refleja una percepción altamente favorable hacia la IA, indicando utilidad, confianza o impacto positivo en el aprendizaje.
Sentimiento Neutro: Se asignó a estudiantes con una puntuación total entre 13 y 20, reflejando percepciones mixtas o moderadas sobre la utilidad y efectividad de la IA (Liu, 2012).
Sentimiento Negativo: Se asignó a estudiantes con una puntuación total entre 10 y 12, indicando una percepción predominantemente desfavorable hacia la IA.
Para manejar casos de empate en los rangos limítrofes (por ejemplo, una puntuación de 13, que puede clasificarse como neutro o negativo, o de 20, que puede ser neutro o positivo), se estableció un criterio basado en la prevalencia de respuestas por individuo. Específicamente, se analizó la distribución de respuestas (Positivo, Neutro, Negativo) para determinar el sentimiento dominante. Por ejemplo, un estudiante con una puntuación total de 13, obtenida con 1 respuesta Positivo (1×3 = 3), 2 Neutro (2×2 = 4) y 7 Negativo (7×1 = 7), totalizando 3 + 4 + 7 = 13, se clasificaría como negativo debido a la predominancia de respuestas Negativo, lo que sugiere una percepción desfavorable. En contraste, un estudiante con 0 Positivo, 5 Neutro (5×2 = 10) y 5 Negativo (5×1 = 5), totalizando 10 + 5 = 13, se clasificaría como neutro por la mezcla equilibrada de Neutro y Negativo, reflejando una percepción moderada. Si la distribución incluyera más respuestas Positivo (por ejemplo, 5 Positivo, 5 Neutro, 0 Negativo = 5×3 + 5×2 = 15 + 10 = 25), la puntuación caería en el rango positivo, indicando una percepción favorable.
El cuestionario evaluó las percepciones de los estudiantes sobre la utilidad, efectividad y confianza en la IA, utilizando tres opciones de respuesta por ítem: Positivo, Neutro y Negativo. Las respuestas se almacenan de manera autónoma en una base de datos en tiempo real de Firebase (Realtime Database), seleccionada por su capacidad para gestionar datos de forma segura y eficiente. Cada respuesta se registró de forma individual con un identificador anónimo, protegiendo la privacidad de los participantes en cumplimiento con los principios éticos de la investigación.
La aplicación web integró el algoritmo que calculaba de manera autónoma las puntuaciones totales de cada estudiante y clasificaba sus percepciones como positivas, neutras o negativas, según los criterios establecidos en la sección de AS. Estas clasificaciones, junto con las respuestas individuales que se almacenan directamente en la base de datos, permitiendo un procesamiento inmediato y facilitando el análisis estadístico posterior. Este enfoque automatizado optimizó la recolección de datos y aseguró la consistencia en la categorización de las percepciones, contribuyendo a los objetivos del estudio de informar de las percepciones de los estudiantes del uso de las IA en la educación superior.
Para la realización de los análisis estadísticos, se utilizó el programa GraphPad Prism 9, con el que se analizaron las diferencias de los sentimientos positivos, negativos y neutros de todos los encuestados, respecto a los factores de edad, género y áreas del conocimiento, mediante un análisis de varianza de una sola vía (ANOVA) seguido de una prueba complementaria (post hoc) Tukey Kramer. Para determinar las diferencias significativas entre las áreas de conocimiento y las percepciones de sus sentimientos.
RESULTADOS
Se determinó el análisis global de las percepciones de los estudiantes de la UTN hacia la IA en la educación mediante un ANOVA que resultó significativa (F= 186.8; gl= 2/2279; p= 0.0002) seguido de post hoc Tukey Kramer (diferencia de medias= 0.4; p= 0.0001) en la muestra total de 2,282 alumnos. Se demostró una tendencia predominante hacia actitudes positivas comparado con los sentimientos negativos y neutros Tabla 1. Es decir, un 61.26 % (1,398 estudiantes) expresó sentimientos favorables hacia la IA, superando el 34.88 % (796 estudiantes) que adoptó posturas neutrales y el 3.85 % (88 estudiantes) que manifestó visiones negativas.
Tabla 1 Porcentaje de Sentimientos Generales Determinados en el Estudio.
| Sentimiento | Cantidad | Porcentaje (%) |
|---|---|---|
| negativo | 88 | 3.86 |
| neutro | 796 | 34.88 |
| positivo | 1398 | *61.26 |
Nota. Percepción de sentimientos determinados como positivos, negativos y neutros. *Existen diferencias significativas de las percepciones positivas en comparación con las negativas respecto a la IA, ANOVA post hoc Tukey Kramer, p=0.0001, elaboración propia (2025).
AS por Género
En el análisis de los sentimientos manifestados por los estudiantes según su género sobre la (IA) en el ámbito educativo Tabla 2 muestra que los resultados obtenidos entre ambos géneros en cuanto a actitudes negativas (4.03 % en hombres vs. 3.67% en mujeres), neutrales (35.94 % vs. 33.73 %) y las actitudes positivas (62.60 % vs. 60.03 %) no presenta diferencias significativas (p ( 0.05).
Tabla 2 Porcentaje de Sentimientos Determinados por Género.
| Género | Sentimientos Negativos (%) | Sentimientos Neutros (%) | Sentimientos Positivos (%) |
|---|---|---|---|
| masculino | 4.03 | 35.94 | 60.03 |
| femenino | 3.67 | 33.73 | 62.60 |
Nota. Porcentaje de la percepción de sentimientos positivos, negativos y neutros dependiendo del género, elaboración propia (2025).
AS según Uso de IA
La evaluación de los sentimientos expresados por los estudiantes en función de su experiencia con la IA Tabla 3, donde se muestra que los alumnos que han utilizado IA, el 60.94 % mostró percepciones positivas, superando el 35.53 % de opiniones neutrales y el 3.53 % de sentimientos negativos. Por otro lado, entre los estudiantes que no han empleado IA, el 63.03 % expresó actitudes positivas, mientras que el 31.37 % mostró opiniones neutrales y el 5.60 % sentimientos negativos. No se encontraron diferencias estadísticamente significativas (p ( 0.005) respecto a las percepciones del grupo de estudiantes que utiliza la IA, en comparación con el grupo de estudiantes que no la ha utilizado.
Tabla 3 Porcentaje de Sentimientos Determinados por el Uso de IA.
| Uso de IA | Sentimientos Negativos (%) | Sentimientos Neutros (%) | Sentimientos Positivos (%) |
|---|---|---|---|
| si | 3.53 | 35.53 | 60.94 |
| no | 5.60 | 31.37 | 63.03 |
Nota. Porcentaje de la percepción de los sentimientos positivos, negativos y neutros sobre los estudiantes que utilizan IA y los que no la utilizan, elaboración propia (2025).
AS por Rango de Edad
El ANOVA resultó significativa (F= 18; gl= 13/2268; p= 0.0004) en la exploración de los sentimientos manifestados por los estudiantes entre su rango de edades, esto pone en evidencia que existen variaciones notables en su aprecio por la IA en el entorno educativo. Para conocer en qué grupo de edades existían las diferencias, se realizó un post hoc Tukey Kramer (diferencia de medias= 0.04; p= 0.022) que determinó diferencias significativas entre estudiantes de 17 años comparando un 43.90 % de actitudes positivas contra un 4.88 % de percepción de sentimientos negativos. En el caso de las posturas neutras (51.22 %) no se encontraron diferencias significativas Tabla 4.
Tabla 4 Porcentaje de Sentimientos Determinados en Diferentes Grupos de Edades.
| Rango de Edad | Sentimientos Negativos (%) | Sentimientos Neutros (%) | Sentimientos Positivos (%) | |
|---|---|---|---|---|
| 17 | 4.88 | 51.22 | 43.90* | |
| 18-25 | 3.82 | 35.19 | 61.00* | |
| 26-30 | 4.24 | 23.73 | 72.03* |
Nota. *p<0.05 Comparando los sentimientos positivos respecto a la percepción de sentimientos neutros y negativos en los grupos de edades, con una prueba de ANOVA post hoc Tukey Kramer, elaboración propia (2025).
En el grupo de 18 a 25 años, la Tukey kramer resultó significativa (diferencia de medias= 0.035; p= 0.025) en donde el 61.00 % expresó actitudes positivas, superando el 35.19 % de opiniones neutrales y el 3.82 % de sentimientos negativos. Por su parte, la Tukey kramer resultó significativa (diferencia de medias= 0.036; p= 0.014) para la comparación de los estudiantes de 26 a 30 años que mostraron la proporción más alta de actitudes positivas, con un 72.03 %, frente a un 23.73 % de posturas neutrales y un 4.24 % de sentimientos negativos, sugiriendo una percepción cada vez más favorable a medida que aumenta la edad Tabla 4.
AS por División Académica
La revisión de los sentimientos expresados por los estudiantes según su División académica Tabla 5 pone de manifiesto diferencias marcadas en su valoración de la IA dependiendo de su área de estudio. El ANOVA resultó significativo (F= 4.12; gl= 2/2279; p= 0.0035), post hoc Tukey Kramer (diferencia de medias= 7; p= 0.00001) demuestra que, en la División de Ciencias de la Salud de 39 estudiantes encuestados, 31 (79.49 %) manifestaron actitudes positivas, superando los 6 (15.38 %) que adoptaron posturas neutrales y comparado también con los 2 (5.13 %) que expresaron visiones negativas. Adicionalmente, en esta División se observaron la menor cantidad de percepciones neutras comparado con las demás áreas del conocimiento.
El post hoc Tukey Kramer resultó significativo (diferencia de medias= 6.33; p=0.00001) para la comparación de sentimientos positivos respecto a negativos en la División de Ciencias Básicas y de Ingeniería. De los 328 estudiantes evaluados, 161 (49.09 %) exhibieron actitudes positivas superando a los 14 (4.27 %) que expresaron visiones negativas. Por otro lado, las posturas neutrales (153;46.65 %) no presentaron diferencias significativas respecto a las posturas positivas. Por otro lado, en esta División se observa la menor cantidad de percepciones positivas comparado con las demás áreas del conocimiento.
El post hoc Tukey Kramer fue significativo (diferencia de medias= 7.54; p= 0.00001) para la comparación de los sentimientos positivos respecto a los negativos y neutros en la División de Ciencias Informáticas y Computación. El 62.84 % expresó actitudes positivas, superando el 33.41 % de opiniones neutrales y el 3.75 % de sentimientos negativos, destacando una aceptación amplia en el área donde la IA es central.
Para la División de Ciencias Ambientales, el post hoc Tukey Kramer mostró significancia (diferencia de medias= 15.53; p= 0.00002) para la comparación de los sentimientos positivos respecto a los negativos y neutros. La percepción de sentimientos positivos de los estudiantes es de un 63.48 %, (299 participantes), siendo superior a los sentimientos neutros con un 32.27 % y también con los sentimientos negativos con un 4.25% (20 participantes).
Por último, para la División de Ciencias Sociales y Administrativas el post hoc Tukey Kramer mostró significancia (diferencia de medias= 16.27; p= 0.00002) en el que se demostró que la percepción positiva con un 62.77 % (357 estudiantes) es mayor en comparación a su percepción de sentimientos neutros de un 33.87 % (191 participantes) y percepciones negativas que indica un 3.37 %. Es importante mencionar que, no hay diferencias significativas (p ( 0.005) en las percepciones de sentimientos negativos comparándolos con todas las Divisiones.
Tabla 5 Porcentaje de Sentimientos Determinados por Área de Conocimiento.
| División | Negativos (%) /cantidad | Neutros (%) /cantidad | Positivos (%) /cantidad |
|---|---|---|---|
| División de Ciencias de la Salud | 5.13/2 | +15.38/6 | 79.49/31 |
| División de Ciencias Básicas y de Ingeniería | 4.27/14 | 46.65/153 | 49.09/161* |
| División de Ciencias Informáticas y Computación | 3.75/33 | 33.41/294 | 62.84/553 |
| División de Ciencias Ambientales | 4.25/20 | 32.27/152 | 63.48/299 |
| División de Ciencias Sociales y Administrativas | 3.37/19 | 33.87/191 | 62.77/357 |
Nota. + p < 0.005, comparando únicamente los sentimientos positivos, negativos y neutros, respecto a la percepción de otras áreas del conocimiento. * p < 0.005, comparando únicamente los sentimientos positivos, respecto a la percepción de sentimientos negativos y neutros en cada una de las áreas del conocimiento. Prueba de ANOVA post hoc Tukey Kramer, elaboración propia (2025).
DISCUSIONES
En respuesta a la pregunta de investigación de este trabajo, los estudiantes de licenciatura de la UTN perciben el uso de IA adecuado para su uso en la educación destacando tendencias significativas según las divisiones académicas, no obstante, a pesar de que en cuatro Divisiones académicas convergen en las percepciones positivas con un amplio rango de más del 28 % de sentimientos positivos en comparación de los neutros, la División de Ciencias Básicas y de Ingeniería parece que es la que menos aprecia la IA en su educación, posiblemente porque aún desconocen las aplicaciones en sus áreas específicas. En cuanto al género, el rango de edad y el uso previo o no, de IA todos convergen en sentimientos positivos para el uso de estas tecnologías.
Un aspecto sobresaliente es la variación en las percepciones según las áreas de conocimiento. La División de Ciencias de la Salud mostró la proporción más alta de actitudes positivas (79.49 %, con 31 de 39 estudiantes), probablemente impulsada por aplicaciones específicas de la IA en la salud. Por ejemplo, el uso de sistemas de apoyo para las decisiones de diagnóstico y tratamientos en ataques cardiacos y cáncer apoyados por la IA, por mencionar algunas enfermedades (Dzobo et al., 2019), (Aragonés et al., 2017). Adicionalmente, la reciente creación de la asignatura llamada Informática biomédica introducida en el plan de estudios de la carrera de medicina.
En cuanto a los resultados obtenidos en esta investigación donde se menciona que tanto usuarios que no utilizan IA, como los usuarios que lo hacen, el 79 % de ellos consideran que la IA podría ser útil o extremadamente útil en su campo de trabajo lo que sugiere un sentimiento positivo hacia la IA, estos resultados coinciden con lo descrito por Castagno & Khalifa (2020). En este estudio se menciona que un 10 % no está de acuerdo con estas herramientas, siendo la minoría como en la investigación mostrada en este trabajo, en donde el 5.13 % de personas de esta área coinciden con el sentimiento negativo. En otro estudio desarrollado por Alowais et al., (2023) se menciona que en el área de la salud se tienen buenas percepciones y aceptación en la práctica clínica sobre todo para las aplicaciones médicas, lo que concuerda con los resultados del estudio realizado.
En Divisiones como Ciencias Informáticas y Computación (62.84 % positivos) y Ciencias Ambientales (63.48 % positivos), los estudiantes probablemente se benefician de un contacto directo con herramientas de IA durante su formación, ya sea mediante algoritmos de programación o análisis de datos ambientales. En estudios desarrollados por Tóala et al., (2024) se reporta que los estudiantes de segundo nivel de las carreras de comunicaciones y telemáticas perciben en un 80% de la IA como apoyo directo con la resolución de problemas y con la aplicación de herramientas orientadas a resolver problemas matemáticos.
Lo anterior demuestra que la exposición práctica podría explicar su alta aceptación, reforzada por un currículo que integra tecnologías emergentes, un aspecto que contrasta con la neutralidad más pronunciada en Ciencias Básicas e Ingeniería, donde la aplicación de la IA podría requerir mayor especialización técnica. La familiaridad tecnológica parece actuar como un puente hacia la confianza, alineándose con estudios que vinculan la experiencia práctica con actitudes positivas hacia la innovación (Clemente, 2024).
En contraste, la División de Ciencias Básicas y de Ingeniería exhibió una distribución más equilibrada, con un 49.09 % de actitudes positivas y un 46.65 % de posturas neutrales. En investigaciones desarrolladas por Carguacundo et al., (2024) se menciona que en la educación media superior y superior, se están explorando las implicaciones filosóficas, los beneficios para el aprendizaje y los desafíos futuros que se presentan. La IA como herramienta para las Ciencias Básicas e Ingeniería tiene el potencial de transformar la educación, la investigación actual se ha centrado principalmente en áreas de ingeniería, como el desarrollo de nuevos algoritmos y la mejora de técnicas de aprendizaje automático y profundo lo que podría indicar una reserva derivada de la complejidad técnica de la IA en este campo y el probable desconocimiento.
En esta investigación, la distribución de actitudes hacia la IA entre los 564 estudiantes de la División de Ciencias Sociales y Administrativas en Nezahualcóyotl revela una aceptación significativa, con un 62.77 % (354 estudiantes), parecido a las investigaciones reportadas por Niño et al. (2025). Aquí demuestran una tendencia pronunciada hacia el aprecio por la IA en el contexto educativo, posiblemente influenciada por la creciente integración de herramientas de IA, como chatbots, plataformas de aprendizaje adaptativo, y sistemas de análisis de datos, en disciplinas como la administración, el derecho y las ciencias sociales. Este resultado también se percibe en el estudio desarrollado en el presente artículo mostrando una aceptación alta hacia las herramientas de IA.
Estas herramientas facilitan tareas académicas clave, como la redacción de informes, el análisis de políticas sociales y la toma de decisiones estratégicas, lo que podría explicar la alta aceptación observada. En el contexto de Nezahualcóyotl, una zona con limitaciones socioeconómicas, la percepción positiva de la IA sugiere que los estudiantes ven estas tecnologías como una oportunidad para superar barreras educativas, como el acceso limitado a recursos o la falta de tutorías personalizadas, potenciando su autonomía y motivación en el aprendizaje. Esta aseveración coincide con el trabajo desarrollado por Ahmad, (2023) quién reportó qué estas herramientas facilitan las actividades de los estudiantes, sin embargo, esto provoca que se vuelvan perezosos y pierdan las capacidades de toma decisiones en algunas actividades y tareas relacionadas con las áreas de Ciencias Sociales.
Sin embargo, la presencia de un 33.87 % de posturas neutrales indica una aceptación no unánime, posiblemente por desconocimiento influenciado por preocupaciones éticas como la privacidad de datos, el riesgo de plagio, o la dependencia excesiva de la IA, así como por limitaciones de infraestructura tecnológica en la región. Lo que es muy similar a los reportados en los artículos de Ahmad, (2023) sobre disciplinas sociales y administrativas, donde el diálogo crítico y las habilidades interpersonales son fundamentales, la IA puede fomentar el aprendizaje autodirigido al ofrecer retroalimentación inmediata y recursos personalizados, pero debe equilibrarse con la interacción humana para preservar el pensamiento crítico y las competencias sociales.
En cuanto al rango de edad, los estudiantes de 26 a 30 años mostraron la mayor proporción de actitudes positivas (72.03 %), comparados con el 43.90 % de los menores de 18 años, sugiriendo que la madurez y la experiencia educativa fortalecen una percepción favorable, posiblemente debido a una mayor interacción con tecnologías avanzadas a lo largo de su trayectoria académica. Estos resultados son similares al estudio realizado por Musa, (2024) en donde se indica que en las edades de 26 a 30 años las personas tienen un amplio conocimiento de las herramientas tecnológicas y de las herramientas de IA, ya que en ese rango de edades la digitalización es de manera directa porque son nativos digitales (Foadi et al., 2022).
Lo anterior, también coincide con el resultado de mayor aceptación de la IA comparadas con la prevalencia de posturas neutrales, especialmente alta en Ciencias Básicas e Ingeniería (46.65%) y entre los menores de 18 años (51.22 %), reportadas en la presente investigación lo que apunta a una prudencia que podría estar ligada a la falta de capacitación o a inquietudes éticas, temas que requieren exploración adicional.
Respecto al género, las alumnas presentaron un 62.60 % de actitudes positivas frente a los alumnos masculinos (60.03 %) que no mostró diferencias significativas sugiriendo que el género tiene un impacto limitado, tantos los hombres y mujeres perciben de igual forma la IA. Esto coincide con lo reportado por Chen, (2020) en donde describe que la adaptación de las tecnologías de inteligencia artificial y de herramientas con las cuales se genera aprendizaje, desarrollo, prácticas e implementaciones de manera autónoma e similar entre géneros. Del mismo modo, el uso previo de IA no mostró diferencias en ambos grupos (60.94 % para usuarios y 63.03% para no usuarios), lo que coincide con lo descrito por Zawacki et al. (2019) donde describe que ambos individuos que usen IA y los que no la usen, la perciben como una herramienta de mejora de apoyo y de resolución de problemas actualmente.
La elevada proporción de actitudes positivas (61.27 %) sugiere que los estudiantes perciben la IA como un recurso valioso para apoyar su aprendizaje y desarrollo profesional, coincidiendo con los reportes de Zawacki et al. (2019), Chen, (2020), un aspecto que podría estar influenciado por su exposición a tecnologías emergentes en sus respectivas Divisiones. La presencia notable de posturas neutrales (34.88 %) indica una cautela considerable, posiblemente relacionada con la necesidad de mayor familiaridad o capacitación práctica con la IA, mientras que la baja incidencia de sentimientos negativos (3.85 %) refuerza la idea de una recepción generalmente favorable, con escasos niveles de escepticismo en el conjunto de la población estudiantil.
Los resultados obtenidos en este estudio sugieren que la aplicación del instrumento es recomendable para que se realice sobre rangos de edades no mayores a una década. Debido a que la percepción cambia con la edad de los alumnos, principalmente por la toma de decisiones que presentan los individuos que nacieron con las tecnologías y aquellos que no hicieron. Sin embargo, en cuanto al uso de IA, se debe procurar que no se haga uso en entornos educativos sin validar autenticidad de los resultados que se obtienen principalmente en la realización de tareas.
Las limitaciones del estudio se presentaron el número no equitativo de estudiantes por división debido a que no existe una gran demanda estudiantes en divisiones como ciencias de la salud. Otro aspecto es el acceso a internet, que en esta institución no es abierto para todos los estudiantes debido a su infraestructura interna. A pesar de ello los resultados muestran una alta aceptación positiva para la IA.
Esta investigación se puede aplicar en otros niveles educativos para identificar las percepciones de la IA en edades más tempranas a las realizadas en este estudio. También se puede modificar el instrumento para detectar posibles puntos de interés donde se podría utilizar, ya sea para resolución de problemas, tareas, trabajos o presentaciones y motivar a una integración ética sin exceder la utilización para la mayoría de las obligaciones escolares de los estudiantes y priorizar el razonamiento de la información obtenida por la IA para su mejor aprovechamiento.
CONCLUSIONES
Este estudio revela que los estudiantes de la UTN perciben la IA en la educación de manera predominantemente positiva, con actitudes favorables en todos los análisis reportados, lo que concuerda con la literatura internacional sobre la creciente aceptación de la IA en la enseñanza superior. Esta inclinación refleja un reconocimiento amplio de su potencial para enriquecer el aprendizaje y las oportunidades profesionales, un aspecto consistente con investigaciones que destacan la integración de la IA como un impulsor de la innovación educativa. Dentro del campo educativo la integración de la IA es útil para ahorrar un tiempo importante al momento de buscar conocimiento, resolver dudas puntuales, gracias a la velocidad de búsqueda que tienen las plataformas, generando una mayor adopción tecnológica
De acuerdo con los objetivos de la investigación, este trabajo puede resultar valioso para otras investigaciones ya que la percepción de sentimientos de los estudiantes universitarios es positiva teniendo en cuenta el uso de herramientas de IA en su aprendizaje. En consecuencia, se podría proponer una asignatura que enseñe el aprovechamiento de la IA de manera más efectiva motivando a los estudiantes para tener una mayor conciencia de su uso profesional y ético a largo plazo. También con estos estudios se podría adoptar más fácilmente su uso para los docentes y optimizar el rendimiento académico en todas las áreas del conocimiento
En cuanto a las recomendaciones para investigaciones futuras de este estudio, se debería profundizar en las diferentes estrategias pedagógicas que se han desarrollado con el uso de IA. Otro elemento que se puede tomar en consideración dentro de esta investigación es la relacionada con los factores socioeconómicos culturales y geográficos, ya que la utilización de IA requiere de acceso a Internet y equipos que puedan permitir búsquedas adecuadas y rápidas de información y esto no ocurre en zonas donde no se tiene tecnología adecuada.
AGRADECIMIENTOS
Expresamos nuestro más sincero agradecimiento a la Universidad Tecnológica de Nezahualcoyotl por su valiosa participación y apoyo en el desarrollo de esta investigación. Su compromiso y su colaboración han sido fundamentales para el éxito de este proyecto. Asimismo, extendemos nuestra gratitud a los doctores que, con su experiencia y dedicación, validaron el instrumento aplicado en esta investigación. Su expertise y aportaciones fueron esenciales para garantizar la calidad y rigor del estudio.

















