SciELO - Scientific Electronic Library Online

 
vol.5 issue4Coercive powers in peace and family courts to guarantee effective compliance with maintenance obligationsChallenges and opportunities in the oil Industry in Ecuador author indexsubject indexarticles search
Home Pagealphabetic serial listing  

Services on Demand

Journal

Article

Indicators

Related links

  • Have no similar articlesSimilars in SciELO

Share


Revista InveCom

On-line version ISSN 2739-0063

Revista InveCom vol.5 no.4 Maracaibo Dec. 2025  Epub June 20, 2025

https://doi.org/10.5281/zenodo.14715038 

Artículos

Dependencia emocional y procrastinación en estudiantes de una universidad privada de Lima

Emotional dependence and procrastination in students of a private university in Lima

Luz Marina Lara Tapia1 
http://orcid.org/0009-0003-7458-5902

Jessica Ross Audureau2 
http://orcid.org/0000-0002-2876-303X

Edgard Román Gálvez3 
http://orcid.org/0009-0002-4107-042X

Adrián Guillermo Arce Holgado4 
http://orcid.org/0009-0008-8916-2976

Daniel Sumire-Qquenta5 
http://orcid.org/0000-0002-4212-7267

Rebeca Sumire Qquenta6 
http://orcid.org/0000-0002-8297-0929

Zaida Liliana Espichan Espinoza7 
http://orcid.org/0000-0002-5489-4471

1Universidad Tecnológica del Perú, Lima-Perú, E-mail: C20940@utp.edu.pe

2Universidad Tecnológica del Perú, Lima-Perú, E-mail: audureau66@hotmail.com

3Universidad Tecnológica del Perú, Lima-Perú, E-mail: edgardroman68@gmail.com

4Universidad Tecnológica del Perú, Lima-Perú, E-mail: adarhol@hotmail.com

5Universidad Peruana Unión, Lima-Perú, E-mail: danielsumire@upeu.edu.pe

6Universidad Peruana Unión, Lima-Perú, E-mail: rebecasumire@upeu.edu.pe

7Universidad Tecnológica del Perú, Lima-Perú, E-mail: c19296@utp.edu.pe


Resumen

El estudio tuvo por propósito determinar la relación entre dependencia emocional y procrastinación en estudiantes de una universidad privada de Lima. La metodología fue de enfoque cuantitativo, correlacional, descriptivo y transversal. La población fue de 350 alumnos y la muestra de 183, a lo cuales se practicó los cuestionarios de la variable dependencia emocional conformado por 18 ítems y la variable procrastinación con 30 ítems con escala de Likert. Los hallazgos subrayan que niveles más altos de dependencia emocional se vinculan estrechamente con un incremento en los comportamientos de procrastinación, destacando la influencia de las emociones en la gestión del tiempo y las actividades. Se determinó que, se evidencia una relación directa, favorable y relevante entre las variables, con un coeficiente rho = 0.872 y un p-valor por debajo del 5%, lo que valida estadísticamente la Hi planteada.

Palabras clave: dependencia emocional; procrastinación; ansiedad por separación; expresión afectiva; modificación de planes; miedo a la soledad; expresión limite

Abstract

The purpose of this study was to determine the relationship between emotional dependence and procrastination in students from a private university in Lima. The methodology was quantitative, correlational, descriptive and cross-sectional. The population was 350 students and the sample was 183, to which questionnaires were administered for the emotional dependence variable consisting of 18 items and the procrastination variable with 30 items with a Likert scale. The findings underline that higher levels of emotional dependence are closely linked to an increase in procrastination behaviors, highlighting the influence of emotions on time management and activities. It was determined that there is a direct, favorable and relevant relationship between the variables, with a rho coefficient = 0.872 and a p-value below 5%, which statistically validates the proposed Hi.

Keywords: emotional dependence; procrastination; separation anxiety; emotional expression; modification of plans; fear of loneliness; borderline expression

Introducción

A nivel internacional, la dependencia emocional y la procrastinación son una problemática que afecta a diversos sectores, especialmente el educativo. La Asociación Estadounidense de Psicología (APA) asegura que la procrastinación impacta entre el 80% y el 95% de los estudiantes, lo que afecta su rendimiento y bienestar. La dependencia emocional, caracterizada por una necesidad excesiva de afecto, está vinculada a la procrastinación debido a la baja autoestima y la falta de habilidades emocionales (Altamirano y Rodríguez, 2021).

En Latinoamérica, el 60% de los estudiantes tiene dificultades para gestionar el tiempo y las emociones, influenciado por factores como presión social e inseguridad personal en un entorno que no siempre prioriza el apoyo psicológico. Estos problemas están exacerbados por las desigualdades económicas y el acceso limitado a programas de bienestar estudiantil, según el Banco Interamericano de Desarrollo (BID) (Planés, 2022).

En el ámbito peruano, más del 40% de los universitarios sufre estrés por sobrecarga académica y estrés económico, lo cual puede estar asociado a ambas variables de estudio (Defensoría del Pueblo, 2023). En una universidad de Lima, estas dinámicas adquieren relevancia debido al contexto urbano acelerado y las exigencias académicas competitivas (Cassaretto et al., 2021). La dependencia emocional y la procrastinación afectan al 35% y 39% de los estudiantes, respectivamente, impactando negativamente en su desarrollo académico y social (Silva et al., 2020; Chumbiauca, 2024).

Los estudiantes universitarios serán los principales beneficiarios, ya que adquirirán recursos para manejar sus emociones y organizar su tiempo. Indirectamente, la universidad se beneficiará con menos deserciones y mayor satisfacción estudiantil, fortaleciendo la salud mental y mejorando las relaciones académicas.

En cuanto a los antecedentes internacionales y nacionales, Félix et al. (2022) concluyeron que los jóvenes universitarios tienden a idealizar excesivamente a sus parejas, buscando preservar la relación a toda costa. Paredes y Patarón (2024) destacaron que la regulación emocional es esencial para el bienestar psicológico, y su falta puede impactar el rendimiento académico y predecir la procrastinación. Núñez (2023) encontró que no existe una evaluación significativa entre dependencia emocional y adaptación social estudiantil (rho = 0.049, p = 0.0688). Alvarado y Calle (2024) señalan la falta de estudios significativos sobre estas variables. Gómez (2021) destacó la necesidad de intervenciones sociales para reducir la procrastinación académica, y Guaman y Ticsalema (2022) encontraron una fuerte relación entre abuso de internet y baja autorregulación en varones.

Asimismo, en los antecedentes nacionales, Jaimes (2021) concluyó que quienes presentan mayor dependencia emocional tienden a procrastinar con mayor frecuencia. Del mismo modo, Luque y Mamani (2023) concluyeron que hay una relación favorable, aunque débil, entre las variables, lo que sugiere que niveles más altos de dependencia emocional se asocian con un aumento en la procrastinación. En relación con este tema, Sanga y Ramírez (2023) concluyeron que existe una relación desfavorable moderada entre las variables con un rho equivalente a 0.390. Por su parte, Gutiérrez (2023) concluyó que existe una relación favorablemente baja y relevante entre ambas variables (R = 0.365; p = 0.002), indicando que una mayor dependencia al teléfono móvil está asociada con una alta probabilidad de procrastinar en labores académicas. Finalmente, Bravo y Huaman (2023) concluyeron que existe una asociación leve entre la dependencia emocional y la violencia de pareja en estudiantes universitarios de Puno en 2022.

La dependencia emocional se caracteriza por un apego intenso que genera ansiedad ante la pérdida (Laestadius et al., 2024). Seo et al. (2016) la relacionan con adolescentes cuya estabilidad emocional depende de factores externos, como dispositivos móviles, lo que afecta su rendimiento. Yonelinas y Ritchey (2015) destacan la relación con la modulación emocional, donde está involucrada la amígdala. Kalmuss y Straus (2017) señalan que en las relaciones de pareja, la falta de autonomía y la necesidad de aprobación afectan el bienestar. En el ámbito educativo, Baltes y Silverberg (2019) enfatizan la importancia de la autonomía, mientras que Immordino-Yang et al. (2019) vinculan el desarrollo cerebral con experiencias emocionales.

En referencia a los modelos teóricos de la variable de dependencia emocional, la teoría de autorregulación de Bandura, según Barboza y Miranda (2017), explica cómo los individuos controlan su comportamiento a través de procesos cognitivos y motivacionales. La autorregulación implica establecer metas, monitorear el progreso y hacer ajustes, incluyendo planificación, evaluación y autoobservación para corregir desviaciones del rendimiento.

Las dimensiones de la dependencia emocional incluyen: Ansiedad por separación, que describe la angustia ante la distancia de figuras de apego (Bowlby, 1969, 1983); expresión afectiva de la pareja, es decir, la capacidad para validar emociones y fortalecer el apego (Johnson, 2020); modificación de planes, que se refiere a la habilidad para adaptarse a cambios gracias a la autoeficacia (Bandura, 2001); miedo a la soledad, es decir, el temor asociado a la falta de cercanía o integración (Van Tilburg y Dykstra, 2009); expresión límite, que implica emociones extremas propias de crisis identitarias (Kernberg, 1996); y búsqueda de atención, que se vincula con conductas ligadas a la necesidad de validación social (Baumeister y Leary, 1995).

La variable procrastinación, según Hen y Goroshit (2020), se refiere al hábito de postergar decisiones académicas importantes, lo cual genera ansiedad y culpa. Se vincula con la falta de autorregulación y la evasión de tareas. Saplavska y Jerkunkova (2018) la asocian con niveles altos de ansiedad, los cuales afectan negativamente el rendimiento académico. Por otro lado, Koppenborg y Klingsieck (2022) destacan que factores sociales, como el trabajo en grupo, pueden disminuir la procrastinación al mejorar la planificación y ejecución de actividades. Saputri et al. (2020) resaltan que la autorregulación emocional es clave en este comportamiento, mientras que Niazov et al. (2022) la vinculan con una baja autoeficacia y la sensación de incapacidad para finalizar tareas.

Steel y Ferrari (2013) proponen el Modelo de Regulación Temporal, que vincula la procrastinación con la preferencia por recompensas inmediatas y la percepción del tiempo. Solomon y Rothblum (1984) explican este fenómeno en su Modelo de Evitación del Miedo al Fracaso, donde la procrastinación se ve como una estrategia para evitar juicios negativos, a menudo relacionados con el perfeccionismo y la ansiedad. Tuckman (1991) lo aborda desde el Modelo de Deficiencia de Autorregulación, destacando la falta de control de impulsos y motivación intrínseca, lo que lleva a priorizar distracciones sobre tareas.

Las dimensiones de la procrastinación incluyen: la procrastinación académica, que implica el aplazamiento consciente de tareas escolares debido a una baja autorregulación y motivación (Garzón Umerenkova y Gil, 2017; Medina et al., 2023); la procrastinación familiar, que consiste en postergar responsabilidades o decisiones en el hogar, lo cual genera conflictos (Fuentes, 2018); y la procrastinación emocional, que se centra en la evitación de la gestión de emociones difíciles, afectando el bienestar personal y profesional por falta de regulación emocional (Herrera Mora, 2019).

Metodología

Este estudio es cuantitativo, pues analiza la relación entre variables a través de datos numéricos. Su diseño es no experimental, correlacional y transversal, ya que no existe manipulación de variables, y la recolección de datos ocurre en un solo momento. Se clasifica como descriptivo y correlacional, ya que describe las características de las variables y determina la relación entre ellas (Hernández et al., 2010). El enfoque no experimental busca observar y analizar las variables en su entorno natural, sin establecer causalidad, y resulta útil para identificar patrones y vínculos entre factores. Según Hernández et al. (2014), el diseño correlacional mide la relación entre variables a través de la observación y el análisis estadístico, lo cual sienta las bases para futuras investigaciones experimentales. Un ejemplo claro de su aplicación es su uso en estudios educativos que exploran la conexión entre rendimiento académico y factores como la motivación o la autoeficacia.

Dónde:

  • M: Estudiantes de administración.

  • O1: Variable 1: Dependencia emocional.

  • O2: Variable 2: Procrastinación.

  • r: Relación entre las variables: Dependencia emocional y procrastinación en estudiantes de una universidad privada de Lima.

La población está conformada por 350 alumnos de una universidad privada de Lima en el periodo académico actual. En línea con Tamayo y Tamayo (2003), esta se define como el conjunto de individuos que comparten una característica común objeto de investigación. Hernández y Mendoza (2018) señalan que la muestra es un subconjunto representativo de la población. En este estudio, la muestra consistirá en 183 alumnos. Dado que no se cuenta con una muestra exacta, esta se calculará mediante la fórmula para poblaciones finitas.

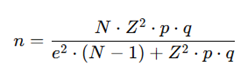
Figura 1 Proceso de muestra 

Donde:

N: Tamaño de la población (350)

Z: Nivel de confianza (1.96 para un 95%)

p: Proporción esperada de éxito (0.5)

q: Proporción complementaria (1−p=0.51-p = 0.51−p=0.5)

e: Margen de error (5% = 0.05)

Sustituyendo valores:

n= 183

Las estrategias de obtención de información, como las encuestas, son métodos que permiten indagar sobre aspectos subjetivos y obtener datos relevantes de una amplia muestra de individuos. (Duque, 2005). Se empleó la técnica del cuestionario, definido como un documento que reúne de forma organizada los indicadores de las variables involucradas en el objetivo de la encuesta (Casas et al., 2003). La variable "dependencia emocional" está conformada por seis dimensiones y sus respectivos ítems: Ansiedad y depresión (3), expresión afectiva (3), modificaciones de planes (3), miedo a la soledad (3), expresión límite (3) y búsqueda de atención (3). Esta variable fue evaluada con una escala de Likert: Totalmente en desacuerdo (1), En desacuerdo (2), Ni de acuerdo ni en desacuerdo (3), De acuerdo (4), Totalmente de acuerdo (5) (López y Terán, 2018). Por otro lado, la variable "procrastinación" (Arévalo y Polanco, 2019) cuenta con tres dimensiones: aspecto motivacional (10 ítems), aspecto ideacional (10 ítems) y aspecto evitativo (10 ítems). Esta variable también emplea una escala de Likert del 1 al 5: Nunca, Muy pocas veces, A veces, Muchas veces, Siempre (Banchón, 2020).

El análisis estadístico fue clave en este estudio. La validez de los instrumentos fue garantizada por la revisión de tres expertos, quienes evaluaron la claridad, coherencia y significancia de los ítems, logrando un 100% de validez. La confiabilidad se determinó usando el método Alfa de Cronbach con SPSS v25, tras realizar una prueba piloto con 25 estudiantes. El coeficiente obtenido fue 0.830 para dependencia emocional y 0.850 para procrastinación, lo que indica alta confiabilidad. El alfa de Cronbach mide la consistencia interna de los ítems que abordan un mismo constructo, como se observa en las tablas de variables (George y Mallery, 2003).

El análisis de datos se realizó de manera cuantitativa, empleando la estadística descriptiva y las tablas de frecuencias para mayor precisión. Luego, se aplicaron pruebas no paramétricas, incluyendo el cálculo de Rho. En cuanto a los aspectos éticos, se solicitó consentimiento informado para completar el cuestionario, el cual se indicó que podría ser usado con objetivos académicos y en el desarrollo de la educación superior.

Resultados

Tabla 1 Prueba de normalidad de las variables dependencia emocional y procrastinación 

Kolmogorov-Smirnova
Estadístico gl Sig.
Ansiedad por separación 0.172 183 0.000
Expresión afectiva 0.146 183 0.000
Modificación de planes 0.103 183 0.000
Miedo a la soledad 0.213 183 0.000
Expresión Límite 0.182 183 0.000
Búsqueda de Atención 0.187 183 0.000
DEPENDENCIA EMOCIONAL 0.118 183 0.000
Motivacional 0.126 183 0.000
Ideacional 0.150 183 0.000
Evitativo 0.159 183 0.000
PROCRASTINACION 0.128 183 0.000

Nota: la correlación es significativa en el nivel 0,01 (bilateral)

Ho: La variable y/o dimensiones se distribuye de manera normal

Hi: La variable y/o dimensiones no se distribuyen de manera normal

La Tabla 1 muestra la prueba de normalidad Kolmogorov-Smirnov, aplicable a muestras superiores a 50 participantes. Los p-valores de las variables se ubican por debajo del 5%, por lo que se desestima la Ho y se usa la prueba no paramétrica Rho de Spearman para medir la correlación.

Tabla 2 Dependencia emocional y procrastinación en estudiantes de una universidad privada en Lima. 

Rho de Spearman DEPENDENCIA EMOCIONAL PROCASTINACIÓN
DEPENDENCIA EMOCIONAL Coeficiente de correlación 1.000 ,872**
Sig. (bilateral) 0.000
N 183 183
PROCRASTINACION Coeficiente de correlación ,872** 1.000
Sig. (bilateral) 0.000
N 183 183

Nota: la correlación es significativa en el nivel 0,01 (bilateral)

La Tabla 2 expone la relación rho = 0.872 entre las variables, mediante una correlación directa, favorable con un p-valor por debajo del 5% es significativa, desestimando la Ho y admitiendo la Hi.

Tabla 3 Dependencia emocional según la dimensión ansiedad por separación y procrastinación 

Rho de Spearman PROCRASTINACIÓN Ansiedad por separación
PROCRASTINACION Coeficiente de correlación 1.000 ,617**
Sig. (bilateral) 0.000
N 183 183
Ansiedad por separación Coeficiente de correlación ,617** 1.000
Sig. (bilateral) 0.000
N 183 183

Nota: la correlación es significativa en el nivel 0,01 (bilateral)

La Tabla 3 expone la correlación rho = 0.617 favorable moderada y p-inferior a 5%, siendo significativo. Por ello, se evidencia que existe relación significativa entre estas variables.

Tabla 4 Dependencia emocional según la dimensión expresión afectiva y procrastinación 

Rho de Spearman PROCRASTINACION Expresión Afectiva
PROCRASTINACION Coeficiente de correlación 1.000 ,809**
Sig. (bilateral) 0.000
N 183 183
Expresión afectiva Coeficiente de correlación ,809** 1.000
Sig. (bilateral) 0.000
N 183 183

Nota: la correlación es significativa en el nivel 0,01 (bilateral)

La Tabla 4 expone la correlación rho = 0.809 favorable alta para un p-valor ubicándose por debajo del 5%, siendo significativo. Por ello, se evidencia que existe relación relevante entre estas variables.

Tabla 5 Dependencia emocional según la dimensión modificación de planes y procrastinación 

Rho de Spearman PROCRASTINACION Modificación de planes
PROCRASTINACION Coeficiente de correlación 1.000 ,701**
Sig. (bilateral) 0.000
N 183 183
Modificación de planes Coeficiente de correlación ,701** 1.000
Sig. (bilateral) 0.000
N 183 183

Nota: la correlación es significativa en el nivel 0,01 (bilateral)

La Tabla 5 expone la correlación rho = 0.701 favorable y moderada para un p-valor ubicándose por debajo del 5%, siendo significativo. Por ello, se evidencia que existe relación relevante entre estas variables.

Tabla 6 Dependencia emocional según la dimensión miedo a la soledad y procrastinación 

Rho de Sperman PROCRASTINACION Miedo a la soledad
PROCRASTINACION Coeficiente de correlación 1.000 ,763**
Sig. (bilateral) 0.000
N 183 183
Miedo a la soledad Coeficiente de correlación ,763** 1.000
Sig. (bilateral) 0.000
N 183 183

Nota: la correlación es significativa en el nivel 0,01 (bilateral)

La Tabla 6 expones la correlación rho = 0.763 favorable moderada para un p-valor ubicándose por debajo del 5%, siendo significativo. Por ello, se evidencia que existe relación relevante entre estas variables.

Tabla 7 Dependencia emocional según la dimensión expresión límite y procrastinación 

Rho de Spearman PROCRASTINACION Expresión Limite
PROCRASTINACION Coeficiente de correlación 1.000 ,807**
Sig. (bilateral) 0.000
N 183 183
Expresión Límite Coeficiente de correlación ,807** 1.000
Sig. (bilateral) 0.000
N 183 183

Nota: la correlación es significativa en el nivel 0,01 (bilateral)

La Tabla 7 expone la correlación rho = 0.807 favorable alta para un p-valor ubicándose por debajo del 5%, siendo significativo. Por ello, se puede evidenciar que existe relación relevante entre estas variables.

Tabla 8 Dependencia emocional según la dimensión búsqueda de atención y procrastinación 

Rho de Spearman PROCRASTINACION Búsqueda de Atención
PROCRASTINACION Coeficiente de correlación 1.000 ,818**
Sig. (bilateral) 0.000
N 183 183
Búsqueda de Atención Coeficiente de correlación ,818** 1.000
Sig. (bilateral) 0.000
N 183 183

Nota: la correlación es significativa en el nivel 0,01 (bilateral)

La Tabla 8 expone la correlación rho = 0.818 favorable alta para un p-valor ubicándose por debajo del 5%, siendo significativo. Por ello, se evidencia que existe relación relevante entre estas variables.

Discusión

El análisis del OG muestra una relación favorable y relevante que respalda la hipótesis inicial. Paredes y Patarón (2024) confirman que las dificultades emocionales influyen en la procrastinación, destacando la importancia de manejar las emociones para evitar conductas evitativas. En contraste, Núñez (2023) no encontró una evaluación relevante entre la dependencia emocional y la adaptación social (rho = 0.049, p = 0.0688). Las diferencias en los enfoques y la intensidad de las relaciones son evidentes: el análisis específico muestra una ponderación moderada (rho = 0.617), mientras que Luque y Mamani (2023) reportan una relación más débil (rho = 0.309), y Paredes y Patarón se centran en la conexión emocional con la procrastinación, mientras que Luque y Mamani analizan la dependencia emocional de manera más general.

El OE 1 muestra una relación moderada y significativa, mientras que Luque y Mamani (2023) encuentran una relación positiva pero débil (rho = 0.309, p = 0.000). Ambos estudios coinciden en que una mayor dependencia emocional se asocia con una mayor procrastinación, con p-valores inferiores al 5%. La principal diferencia es la intensidad de la relación: el OE reporta una calificación moderada, mientras que Luque y Mamani reportan una más débil. Además, el OE se enfoca en la ansiedad por separación, mientras que Luque y Mamani analizan la dependencia emocional de forma más general.

El OE 2 muestra una relación significativa, enfocada en la expresión afectiva, lo que resalta la importancia de intervenciones para reducir la procrastinación académica, como sugiere Gómez (2021). Por otro lado, Luque y Mamani (2023) encuentran una relación positiva pero débil (rho = 0.309, p = 0.000), indicando que una mayor dependencia emocional se asocia con una mayor procrastinación. Mientras el OE 2 resalta una conexión fuerte en la expresión afectiva, Luque y Mamani abordan la dependencia emocional de manera más general, evidenciando diferencias en la intensidad y enfoque de los resultados.

En el OE 3, se encontró una relación significativa y moderada, similar a la de Sanga y Ramírez (2023), quienes hallaron una relación negativa significativa entre la dependencia al celular y la procrastinación (rho = -0.390). Gutiérrez (2023) reportó una relación positiva baja (R = 0.365, p = 0.002). A pesar de las diferencias en la dirección de la relación, todos los estudios concuerdan en la existencia de una conexión relevante, resaltando que el tipo de dependencia y el contexto pueden influir en la magnitud y naturaleza de la relación.

En el OE 4, se observó una relación significativa y moderada. Guamán y Ticsalema (2022) hallaron una fuerte relación entre la dependencia emocional, mayor dependencia de internet y menor autorregulación académica, mientras que Jaimes (2021) destacó que la dependencia emocional está vinculada a una mayor procrastinación.

En el OE 5, Alvarado y Calle (2024) destacan la ausencia de investigaciones sobre procrastinación y motivación en alumnos ecuatorianos, y cómo la dependencia emocional influye en la búsqueda de aprobación externa. Comparado con el OE 6, que muestra una relación alta (rho = 0.818) entre la dependencia emocional y la procrastinación, Félix et al. (2022) enfocan la dependencia emocional en las dinámicas de pareja, mientras que el OE 5 aborda este fenómeno de forma general.

En el OE 6, Félix et al. (2022) destacan que los jóvenes idealizan excesivamente a su pareja, priorizando la relación incluso a costa de consecuencias negativas. Ambos estudios coinciden en que la dependencia emocional influye en las decisiones personales y en la procrastinación, con la búsqueda de aprobación externa retrasando actividades, similar a cómo la idealización de las relaciones afecta las prioridades personales.

Conclusiones

Primero. Dependencia emocional y procrastinación: se observa una alta orientación positiva (rho = 0.872, p < 0.05), destacando la necesidad de estrategias psicológicas para mitigar sus efectos negativos.

Segundo. Ansiedad por separación: se evidencia una correlación moderada y significativa con procrastinación (rho = 0.617, p < 0.05), indicando que una mayor ansiedad por separación incrementa la procrastinación.

Tercero. Expresión afectiva: se presenta una correlación fuerte (rho = 0.809, p < 0.05), mostrando que una mayor expresión afectiva está asociada con un aumento en la procrastinación.

Cuarto. Expresión afectiva (reiteración): se confirma una correlación alta (rho = 0.809, p < 0.05), confirmando que la mayor expresión afectiva se vincula con mayor procrastinación.

Quinto. Miedo a la soledad: se establece una relación moderada con procrastinación (rho = 0.763, p < 0.05), resaltando cómo el aumento del miedo a la soledad incrementa la procrastinación.

Sexto. Expresión límite: se observa una alta limitación (rho = 0.807, p < 0.05), indicando que una mayor expresión límite aumenta la procrastinación.

Séptimo. Búsqueda de atención: se encuentra una fuerte promoción (rho = 0.818, p < 0.05), mostrando que una mayor búsqueda de atención está asociada con una mayor procrastinación.

Se recomienda implementar intervenciones psicológicas centradas en la autorregulación emocional para mitigar la dependencia emocional y la procrastinación. Es clave incluir la gestión de la ansiedad por separación, la expresión afectiva, el miedo a la soledad y la expresión límite en los programas de apoyo, ya que todos están relacionados con la procrastinación. Además, se debe trabajar en reducir la búsqueda de atención, que también impulsa a la procrastinación. Estas estrategias pueden optimizar el rendimiento académico y el bienestar de los alumnos.

Referencias

Altamirano Chérrez, C. E., y Rodríguez Pérez, M. L. (2021). Procrastinación académica y su relación con la ansiedad. Revista Eugenio Espejo, 15(3), 16-28. https://doi.org/10.37135/ee.04.12.03 [ Links ]

Alvarado Cevallos, P. I., y Calle Torres, K. P. (2024). Motivación y procrastinación académica en estudiantes universitarios de tercer ciclo de la Facultad de Psicología de la Universidad de Cuenca en el periodo septiembre 2023 - febrero 2024 [Tesis de Pregrado, Universidad de Cuenca]. https://rest-dspace.ucuenca.edu.ec/server/api/core/bitstreams/7c3d3393-afa5-4aa2-93c4-cc6a49ff2470/contentLinks ]

Baltes, M. M., y Silverberg, S. B. (2019). The Dynamics Between Dependency and Autonomy: Illustrations Across the Life Span. In Life-Span Development and Behavior. https://doi.org/10.4324/9781315789255-2 [ Links ]

Bandura, A. (2001). La Teoría Cognitiva Social: Un perspectiva agencial. Revisión Anual de Psicología, 1-28. https://www.academia.edu/3797435/BANDURA_Social_Cognitive_Theory_TaduccionLinks ]

Barboza, E., y Miranda, L. (2017). Aprendizaje autorregulado en la teoría sociocognitiva: Marco conceptual y posibles líneas de investigación. Revista Ensayos Pedagógicos, 12(2), 47. https://www.revistas.una.ac.cr/index.php/ensayospedagogicos/article/view/10099/12284Links ]

Baumeister, R. F., y Leary, M. R. (1995). The need to belong: Desire for interpersonal attachments as a fundamental human motivation. Psychological Bulletin, 117(3), 497-529. https://doi.org/10.1037/0033-2909.117.3.497 [ Links ]

Bowlby, J. (1983). Attachment: Attachment and Loss Volume One. https://mindsplain.com/wpcontent/uploads/2020/08/ATTACHMENT_AND_LOSS_VOLUME_I_ATTACHMENT.pdfLinks ]

Bravo, J., y Huaman, J. (2023). Dependencia emocional y violencia de pareja en estudiantes universitarios de Puno-2022 [Tesis de Pregrado, Universidad Autónoma de Ica]. https://repositorio.autonomadeica.edu.pe/bitstream/20.500.14441/2377/1/JACKELIN ISABEL BRAVO COAQUIRA - JOSEPH JEANPIERE HUAMAN QUISPE.pdfLinks ]

Cassaretto, M., Vilela, P., y Gamarra, L. (2021). Estrés académico en universitarios peruanos: importancia de las conductas de salud, características sociodemográficas y académicas. LIBERABIT. Revista Peruana de Psicología, 27(2). https://doi.org/10.24265/liberabit.2021.v27n2.07 [ Links ]

Chumbiauca, G. (2024). Dependencia emocional y bienestar universidad privada de lima metropolitana, 2023 [Tesis de Pregrado, Universidad Privada de Lima Metropolitana]. https://repositorio.usmp.edu.pe/bitstream/handle/20.500.12727/15438/chumbiauca_mga.pdf?sequence=1&isAllowed=yLinks ]

Defensoría del Pueblo. (2023). Reporte de conflictos sociales N° 233. https://cdn.www.gob.pe/uploads/document/file/4963602/Reporte Mensual de Conflictos Sociales N° 233 - Julio 2023.pdfLinks ]

Félix, D., Gómez, J., y Infante, K. (2022). Dependencia emocional en estudiantes de la facultad de Derecho de la Universidad Cooperativa de Colombia sede Villavicencio[Tesis de Pregrado, Universidad Cooperativa de Colombia]. https://repository.ucc.edu.co/server/api/core/bitstreams/9680c72e-019c-4899-8447 119b6e474b23/contentLinks ]

Fuentes, W. (2018). Funcionamiento familiar y procrastinación académica en estudiantes de una Universidad privada de Lima Sur [Tesis de Pregrado, Universidad Autónoma de Perú]. https://repositorio.autonoma.edu.pe/bitstream/handle/20.500.13067/531/WEMDY FUENTES FLORES.pdf?sequence=2&isAllowed=yLinks ]

Garzón Umerenkova, A., y Gil, J. (2017). El papel de la procrastinación académica como factor de la deserción universitaria. Revista Complutense de Educacion, 28(1), 307-324. https://doi.org/10.5209/rev_RCED.2017.v28.n1.49682 [ Links ]

Gómez, B. (2021). Frecuencia y causas de la procrastinación académica en estudiantes de BGU de la Unidad Educativa Fiscomisional Monseñor Oscar Arnulfo Romero, ubicada en la ciudad de Joya de los Sachas, en el periodo lectivo 2021-2021 Trabajo [Tesis de Pregrado, Universidad Central del Ecuador]. https://www.dspace.uce.edu.ec/server/api/core/bitstreams/a77b73d9-9571-47ca-8855-0e66e24ee7e7/contentLinks ]

Guamán, E., y Ticsalema, M. (2022). Relación entre la adicción al internet y la procrastinación académica en los y las adolescentes de 15 a 18 años, de la Unidad Educativa Municipal “Calderón”, en la ciudad de Quito, durante el año 2021 [Tesis de Pregrado, Universidad Central del Ecuador]. https://www.dspace.uce.edu.ec/server/api/core/bitstreams/fb6e1733-506c-4266-a50e-a2db928ffa8d/contentLinks ]

Gutierrez, J. (2023). Dependencia al teléfono móvil y procrastinación académica en estudiantes del quinto grado de secundaria, colegio adventista del Titicaca, Juliaca 2022 [Tesis de Pregrado, Universidad Autónoma de Ica]. https://repositorio.autonomadeica.edu.pe/bitstream/20.500.14441/2347/1/JULIAGUTIERREZTICONA.pdfLinks ]

Händel, M., Stephan, M., Gläser-Zikuda, M., Kopp, B., Bedenlier, S., y Ziegler, A. (2020). Digital readiness and its effects on higher education students’ socio-emotional perceptions in the context of the COVID-19 pandemic. Journal of Research on Technology in Education, 54(2), 267-280. https://doi.org/10.1080/15391523.2020.1846147 [ Links ]

Hen, M., y Goroshit, M. (2020). The effects of decisional and academic procrastination on students’ feelings toward academic procrastination. Current Psychology, 39(2), 556-563. https://doi.org/10.1007/s12144-017-9777-3 [ Links ]

Hernández-Sampieri, R., y Mendoza, C. (2018). Metodología de la investigación. Las rutas cuantitativa, cualitativa y mixta. Editorial Mc Graw Hill Education. https://virtual.cuautitlan.unam.mx/rudics/wp-content/uploads/2019/02/RUDICSv9n18p92_95.pdfLinks ]

Hernández, R., Fernández, C., y Baptista, M. (2010). Metodología de la investigación universidad naval (5th ed.). Mc Graw Hill. http://repositorio.ucsh.cl/bitstream/handle/ucsh/2792/metodologia-de-la-investigacion.pdf?sequence=1Links ]

Hernández, R., Fernández, C., y Baptista, P. (2014). Selección de la muestra. Metodología de La Investigación, 170-196. https://www.studocu.com/co/document/universidad-la-gran-colombia/metodologia-de-la-investigacion/hernandez-r-fernandez-c-y-baptista-p-2014-metodologia-de-la-investigacion-6a-ed-mc-grwall-hill-education-capitulo-7/36166706Links ]

Herrera Mora, M. E. del R. (2019). Influencia de la regulación emocional y procrastinación académica en estudiantes de primer año de psicología de la Universidad Católica de Santa María - 2018 [Tesis ed Maestría, Universidad Católica de Santa María]. https://repositorio.ucsm.edu.pe/server/api/core/bitstreams/90512ad7-93b0-4c37-a06f-a5339a77d19b/contentLinks ]

Immordino-Yang, M. H., Darling-Hammond, L., y Krone, C. R. (2019). Nurturing Nature: How Brain Development Is Inherently Social and Emotional, and What This Means for Education. Educational Psychologist, 54(3), 185-204. https://doi.org/10.1080/00461520.2019.1633924 [ Links ]

Jaimes, S. (2021). Dependencia emocional y procrastinación en estudiantes de psicología de la Universidad Peruana Unión, campus Tarapoto, 2020 [Tesis de Maestría, Universidad Peruana Unión]. https://repositorio.upeu.edu.pe/server/api/core/bitstreams/f2b35254-5486-45a9-8c0d-c2a4bee0b781/contentLinks ]

Johnson, S. M. (2020). Attachment Theory in Practice: Emotionally Focused Therapy (EFT) with Individuals, Couples, and Families. Guilford Publications. https://www.academia.edu/43529359/Attachment_Theory_in_Practice_Emotionally_Focused_Therapy_EFT_with_Individuals_Couples_and_Families_by_Susan_M_JohnsonLinks ]

Kalmuss, D. S., y Straus, M. A. (2017). Wife’s marital dependency and wife abuse. Physical Violence in American Families. https://doi.org/10.4324/9781315126401 [ Links ]

Koppenborg, M., y Klingsieck, K. B. (2022). Social factors of procrastination: group work can reduce procrastination among students. Social Psychology of Education, 25(1), 249-274. https://doi.org/10.1007/s11218-021-09682-3 [ Links ]

Laestadius, L., Campos-Castillo, C., y Bishop, A. (2024). Too human and not human enough: A grounded theory analysis of mental health harms from emotional dependence on the social chatbot Replika. New Media and Society, 26(10), 5923-5941. https://doi.org/10.1177/14614448221142007 [ Links ]

Lakritz, K. (2009). Kernberg’s Borderline Conditions and Pathological Narcissism. Encyclopedia of Environmental Health, 26(February), 499-508. https://www.academia.edu/86429580/Kernberg_s_Borderline_Conditions_and_Pathological_NarcissismLinks ]

Lee, Y. H. (2019). Emotional labor, teacher burnout, and turnover intention in high-school physical education teaching. European Physical Education Review, 25(1), 236-253. https://doi.org/10.1177/1356336X17719559 [ Links ]

Luque, J., y Mamani, M. (2023). Dependencia emocional y procrastinación en estudiantes de una universidad privada de la ciudad de Juliaca - 2022 [Tesis de Pregrado, Universidad Peruana Unión]. https://repositorio.upeu.edu.pe/server/api/core/bitstreams/dee01a0e-6359-4d15-856f-6915d94b195e/contentLinks ]

Medina Ruíz, M. Y., Mera Mendoza, C. R., Montoya Zamora, A. J., Ruíz Tuarez, G. M., y Zambrano Mera, V. E. (2023). Motivación académica y procrastinación académica en estudiantes de una universidad pública de Guayaquil, 2020. Ciencia Latina Revista Científica Multidisciplinar, 7(1), 9421-9444. https://ciencialatina.org/index.php/cienciala/article/view/5068Links ]

Niazov, Z., Hen, M., y Ferrari, J. R. (2022). Online and Academic Procrastination in Students With Learning Disabilities: The Impact of Academic Stress and Self-Efficacy. Psychological Reports, 125(2), 890-912. https://doi.org/10.1177/0033294120988113 [ Links ]

Nuñez Venegas, B. I. (2023). La dependencia emocional y su relación con la adaptación social en estudiantes de bachillerato [Tesis de Pregrado, Universidad Técnica de Ambato]. https://repositorio.uta.edu.ec/server/api/core/bitstreams/ee2c0c90-7101-4851-a432-ea1d6b0a387f/contentLinks ]

Paredes, R., y Patarón, S. (2024). Regulación emocional y procrastinación académica en estudiantes universitarios [Tesis de Pregrado, Universidad Nacional de Chimborazo]. http://dspace.unach.edu.ec/bitstream/51000/13060/1/Paredes Paz%2C R. - Pataron Torres%2C S. %282024%29 Regulación emocional y procrastinación académica en estudiantes universitarios..pdfLinks ]

Planés, M. (2022). BID y Banco Mundial: No hay tiempo que perder para abordar la crisis de aprendizaje en América Latina y el Caribe, 6. https://www.iadb.org/es/noticias/bid-y-banco-mundial-no-hay-tiempo-que-perder-para-abordar-la-crisis-de-aprendizaje-enLinks ]

Sanga, E., y Ramirez, F. (2023). Dependencia al celular y procrastinación académica en los estudiantes de un instituto de educación superior pedagógico de Puno, 2022 [Tesis de Pregrado, Universidad Autónoma de Ica]. https://repositorio.autonomadeica.edu.pe/bitstream/20.500.14441/2515/1/SANGA CALAMULLO EDGAR - RAMIREZ NIETO FANIZOL.pdfLinks ]

Saplavska, J., y Jerkunkova, A. (2018). Academic procrastination and anxiety among students. Engineering for Rural Development, 17, 1192-1197. https://doi.org/10.22616/ERDev2018.17.N357 [ Links ]

Saputri, D., Ilyas, A., y Ardi, Z. (2020). The Relationship of Self Regulation with Academic Procrastination of Students. Jurnal Neo Konseling, 2(2), 1-7. https://doi.org/10.24036/00290kons2020 [ Links ]

Seo, D. G., Park, Y., Kim, M. K., y Park, J. (2016). Mobile phone dependency and its impacts on adolescents’ social and academic behaviors. Computers in Human Behavior, 63, 282-292. https://doi.org/10.1016/j.chb.2016.05.026 [ Links ]

Silva, M., López, J., y Meza, M. (2020). Estrés académico en estudiantes universitarios. Investigación y Ciencia, 28(79), 75-83. https://www.redalyc.org/journal/674/67462875008/html/Links ]

Solomon, L. J., y Rothblum, E. D. (1984). Academic procrastination: Frequency and cognitive-behavioral correlates. Journal of Counseling Psychology, 31(4), 503-509. https://doi.org/10.1037/0022-0167.31.4.503 [ Links ]

Steel, P., y Ferrari, J. (2013). Sex, Education and Procrastination: An Epidemiological Study of Procrastinators’ Characteristics from a Global Sample. European Journal of Personality, 27(1), 51-58. https://doi.org/10.1002/per.1851 [ Links ]

Suvilehto, J. T., Glerean, E., Dunbar, R. I. M., Hari, R., y Nummenmaa, L. (2015). Topography of social touching depends on emotional bonds between humans. Proceedings of the National Academy of Sciences of the United States of America, 112(45), 13811-13816. https://doi.org/10.1073/pnas.1519231112 [ Links ]

Tamayo y Tamayo. (2003). El proceso de la investigación científica. https://cucjonline.com/biblioteca/files/original/874e481a4235e3e6a8e3e4380d7adb1c.pdfLinks ]

Tuckman, B. W. (1991). The development and concurrent validity of the procrastination scale. Educational and Psychological Measurement, 51(2), 473-480. https://doi.org/10.1177/0013164491512022 [ Links ]

Van Tilburg, T., y Dykstra, P. (2009). Loneliness and Social Isolation. The Cambridge Handbook of Personal Relationships, January 2006, 485-500. https://doi.org/10.1017/cbo9780511606632.027 [ Links ]

Yonelinas, A. P., y Ritchey, M. (2015). The slow forgetting of emotional episodic memories: An emotional binding account. Trends in Cognitive Sciences, 19(5), 259-267. https://doi.org/10.1016/j.tics.2015.02.009 [ Links ]

Recibido: 14 de Octubre de 2024; Aprobado: 06 de Enero de 2025; Publicado: 21 de Enero de 2025

Creative Commons License Este es un artículo publicado en acceso abierto bajo una licencia Creative Commons