Introducción
La gestión administrativa es el proceso de planificar, organizar, dirigir y controlar los recursos de una organización para alcanzar sus metas de manera eficiente y efectiva (Mendoza-Fernández & Moreira-Chóez, 2021). Según Rojas et al. (2020), este proceso involucra diversas funciones que los líderes deben ejecutar, desde la toma de decisiones hasta la comunicación con los equipos de trabajo. Esta visión resalta la importancia de la gestión como un conjunto de actividades interrelacionadas esenciales para el éxito organizacional (Peña et al., 2022). En los centros de salud, es crucial garantizar la eficiencia, calidad y accesibilidad de los servicios médicos que reciben los ciudadanos.
Mientras que el control interno se refiere al conjunto de políticas, procedimientos y prácticas adoptadas por una organización para garantizar que sus operaciones se realicen de manera eficiente, eficaz y conforme a las normativas y regulaciones aplicables (Pacheco, 2023). Su principal objetivo es asegurar que los recursos se utilicen adecuadamente, prevenir fraudes, detectar errores, y proporcionar información financiera confiable (Álava et al., 2023). Además, el control interno no solo se refiere al cumplimiento de normas y la prevención de estafas, sino también a la mejora continua de los procesos, asegurando que los estándares de atención se mantengan elevados y que se maximicen los recursos disponibles para ofrecer atención de calidad a los pacientes (Cumbicos et al., 2023). En el contexto de los centros de salud, el control interno abarca tanto la gestión administrativa como la atención clínica, protegiendo tanto los recursos materiales como los humanos, y garantizando la calidad en el servicio prestado a los pacientes (Díaz, 2021).
La información y comunicación también son esenciales en cualquier organización, especialmente en los centros de salud, ya que permiten una gestión eficiente de los procesos y la toma de decisiones (Álamo & Chu, 2022). Por esto, la correcta circulación de información asegura que todos los miembros del personal estén al tanto de los procedimientos y normativas vigentes, lo que facilita la coordinación y la ejecución de las actividades diarias (Ramírez et al., 2021). Además, la comunicación efectiva es clave para evitar errores y garantizar que todos los niveles jerárquicos trabajen hacia los mismos objetivos, donde la precisión y rapidez son vitales (Díaz, 2021). Por lo tanto, deben recibir información clara y comprensible sobre su diagnóstico, tratamiento y derechos, para mejorar la confianza entre los profesionales y su experiencia general (Maza et al., 2023).
En síntesis, la información y comunicación deben ser entendidas como procesos bidireccionales, donde no solo se transmite, sino que también se recibe retroalimentación. Esto permite identificar áreas de mejora, ajustar los procedimientos y adaptarse a las necesidades cambiantes del entorno (Pezo-Ávila et al., 2020). De esta manera, una comunicación eficaz dentro del centro de salud contribuye directamente a la calidad de la atención, la eficiencia operativa y la satisfacción de los pacientes (Gutiérrez & López, 2022).
Y La supervisión en los centros de salud es un proceso esencial para garantizar que se cumplan los estándares de calidad y seguridad en todos los aspectos de la atención y la gestión. Según Santos et al. (2023), implica el seguimiento de actividades para asegurar que los objetivos se alcancen de manera eficiente, abarcando tanto las áreas clínicas como administrativas. En consecuencia, esto permite la resolución de conflictos, la motivación del personal y la promoción del bienestar laboral, lo que a su vez, influye directamente en la calidad de la atención (Gómez et al., 2020). Por eso, una supervisión integral no solo asegura el cumplimiento de normativas, sino que también contribuye a la creación de un entorno positivo y productivo.
En este contexto, el control interno y las prácticas de supervisión, información y comunicación juegan un papel fundamental para optimizar los recursos disponibles, asegurando el cumplimiento de las normativas vigentes y mejorando la toma de decisiones en la gestión de los servicios de salud (Cordova, 2022).
Según un informe de Guevara (2022), las organizaciones que priorizan la sostenibilidad y el bienestar de sus trabajadores no solo mejoran su imagen, sino que también experimentan un aumento en la productividad y una mayor retención de talento. Así, la gestión administrativa moderna se caracteriza no sólo por la optimización de recursos, sino también por su capacidad para crear un ambiente laboral positivo y socialmente responsable (Soledispa-Rodríguez et al., 2022).
Sin embargo, la falta de supervisión eficaz, la insuficiencia de información precisa y actualizada, y las fallas en la comunicación interna pueden generar inconsistencias en la gestión administrativa, afectando la calidad del servicio y la eficiencia en el uso de los recursos (Catagua et al., 2023). Esto se ve reflejado en la tardanza en la atención, el mal manejo de los expedientes clínicos, la escasa rendición de cuentas y, en muchos casos, el desorden en la asignación de tareas. En consecuencia, estos problemas no solo afectan a los trabajadores del sistema de salud, sino que repercuten negativamente en la experiencia y bienestar de los pacientes (Iza-Mayorga et al., 2023).
Por eso, es importante abordar la relación entre la supervisión, la información y la comunicación dentro del marco del control interno para mejorar la gestión administrativa de los centros de salud en Lima (Aquiño, 2024). De esta manera, la implementación efectiva de un sistema de control interno que incorpore estos factores puede transformar la manera en que los centros operan, asegurando que los procesos se lleven a cabo de manera transparente y eficiente (Ramírez-González et al., 2024).
Teniendo esto en cuenta, el objetivo de la investigación es determinar cómo los factores de supervisión, información y comunicación se relacionan en el control interno y en la gestión administrativa de los centros de salud en Lima, 2023.
Metodología
Para este estudio, se empleó un método cuantitativo, debido que se basa en la recopilación y el análisis de datos para apoyar o refutar hipótesis y abordar los retos de la investigación (Escudero & Cortez, 2018). Dado que las variables se examinan en su entorno natural y no se alteran, este estudio puede clasificarse como identificación de nivel explicativo causal (Hernández-Sampieri & Mendoza, 2018). De esta manera, se propone un modelo estructural de la relación entre el control interno y la gestión administrativa en las instituciones de salud de Lima que son: Hospital Edgardo Rebagliati Martins; Hospital Nacional Hipólito Unanue; Hospital Nacional Cayetano Heredia; Hospital Nacional Dos de Mayo.
Asimismo, la investigación es de corte transversal y diseño no experimental, ya que no se manipuló ninguna variable, solo se observó y analizó los hechos tal como ocurren en su hábitat natural (Díaz-Narváez & Calzadilla-Núñez, 2018). Además, toda la información se recopiló de un único momento durante la investigación.
Por otra parte, los individuos que forman parte del grupo objeto de estudio se denominan colectivamente población. El término población se refiere a todas las instancias de un fenómeno que comparten la característica que es el foco del estudio y el fundamento de los datos recogidos (Hernández-Sampieri & Mendoza, 2018).
Como se muestra en la Tabla 1, un total de 220 profesionales de la salud y administrativos de los centros de salud de Lima conformaron la población de estudio seleccionada para la investigación. Se eligieron mediante muestreo probabilístico estratificado, teniendo en cuenta la información facilitada anteriormente. Aplicando la siguiente fórmula se obtuvo la delimitación de la muestra:
Reemplazando los datos, se obtiene:
Donde:
N: Número total de la población = 220
Z
d: Precisión = 0.05
p: Prevalencia = 0.50
q: Complemento de p = 0.50
n: dimensión muestral = 140
Para calcular la estratificación de la muestra se utiliza la siguiente fórmula:
De esta manera se obtiene el tamaño de la muestra estratificada.
Como se evidencia en la tabla 2, se seleccionaron 140 trabajadores de salud y personal administrativo de establecimientos de salud en Lima - 2023,
En cuanto a la técnica de estudio, se utilizó una encuesta con el propósito de medir las variables. Según Hernández-Sampieri y Mendoza (2018) afirman que este método es una forma basada en cuestionarios para preguntar sobre las características, conocimientos, actitudes, etc. de un grupo. Además, se requieren métodos de revisión documental para recabar datos de los procesos de control interno de las operaciones de la gerencia de administración.
Para la investigación se utilizaron dos instrumentos: una primera encuesta, compuesta por 18 preguntas que evaluaba el componente de supervisión, información y comunicación, y las actividades de control interno y una segunda encuesta de 10 preguntas con el fin de evaluar los componentes de eficacia, el rendimiento y la responsabilidad (Cordova, 2022).
Con valores de 0.862 para la variable control interno y la variable información y comunicación, 0.785 para la variable supervisión y 0.900 para la variable gestión administrativa, demuestra una buena fiabilidad en los instrumentos.
Con relación a la prueba de hipótesis, por medio de inferencia estadística PLS-SEM (Modelación de ecuaciones estructurales con mínimos cuadrados parciales) (Martínez & Fierro, 2018), en función de si los datos siguen una distribución normal o no, utilizado en investigaciones complejas de las interacciones entre variables que generan efectos, con el objetivo de proporcionar una explicación a los datos observados y realizar análisis predictivos, que es el objetivo principal de la investigación. Además, la Figura 1 muestra un modelo de ecuaciones estructurales con dos variables mediadoras utilizando el enfoque PLS-SEM, tal y como establece (Hair et al., 2017). En este modelo, el efecto total (c’) se calcula mediante la siguiente fórmula:
Donde:
M1 y M2: Son las variables mediadoras.
X: Es la variable control interno.
Y: Es la variable gestión administrativa.
a, b, c’: Coeficientes de ruta entre las variables planteadas.
Resultados y discusión
La tabla 3 muestra los resultados de la evaluación de los componentes del control interno, teniendo en cuenta los niveles de cumplimiento van desde a veces a casi siempre. Con referencia al control interno el 60.7% se cumple la ejecución de un buen control en la institución. En cuanto al control de gestión, el 64.3% de los trabajadores de salud y personal administrativo encuestados afirma que se siguen acciones como verificar las conciliaciones, obtener autorizaciones y realizar evaluaciones del rendimiento. Respecto a la comunicación e información, el 57.9% dijo que se cumple a veces o casi siempre con respecto a los canales de comunicación, la suficiencia, la calidad y la información oportuna. En cuanto a las indicaciones de supervisión, el 66.4% de los trabajadores afirma que existe una supervisión eficaz, que se fomenta la autoevaluación, se transmiten las deficiencias y debilidades y se exponen las insuficiencias para su mejora.
La tabla 4 muestra los resultados de la evaluación de la gestión administrativa y sus indicadores, considerando niveles de cumplimiento que van de regular a eficiente. El cumplimiento en la gestión administrativa oscila de regular a eficiente, con un 45%. En términos de eficacia, la mitad (50%) de los trabajadores de salud y personal administrativo encuestados considera que el centro de salud cumple con todas sus expectativas en cuanto a capacitación del personal, productividad y disponibilidad de información sobre su trabajo. Respecto al indicador de rendimiento, la mitad de los encuestados (50%) afirma que las actividades de planificación, programación e intervención se cumplen de forma eficiente o regular. Mientras que en los indicadores de responsabilidad, el 53.6% de los trabajadores afirman que reciben buen trato, alcanzan sus objetivos y son capaces de gestionar las dificultades, lo que mejora el compromiso institucional.
La tabla 5 muestra los resultados de la prueba estadística de normalidad de los datos. Es evidente que tanto la variable de gestión administrativa (0.183) como la de control interno (0.203) tienen valores p de 0.000, es decir, inferiores a 0.05. En consecuencia, se requieren pruebas no paramétricas para evaluar las hipótesis, ya que los datos de ambas variables no siguen una distribución normal. Según Hair et al. (2017), los métodos PLS-SEM se utilizan para la comprobación de hipótesis, ya que son pruebas estadísticas no paramétricas.
Prueba de hipótesis
En este apartado se comparan y validan las hipótesis investigadas, para determinar si se aceptan o no, en tal virtud se emplean las siguientes reglas y criterios de Prueba estadística: PLS-SEM.
Error = 0.05
Decisión:
El análisis estadístico que determinó los efectos indirectos de las variables mediadoras -supervisión e información y comunicación- se realizó mediante la prueba estadística de ecuaciones de mínimos cuadrados parciales (PLS-SEM), como se muestra en la Tabla 6. Con un coeficiente estandarizado de βt = 0.706 y una significancia de 0.000, los resultados del análisis estadístico permiten rechazar la hipótesis nula y aceptar la hipótesis alternativa (HG), es decir que existe relación directa y significativa entre la supervisión, información y comunicación en el control interno y la gestión administrativa de centros de Salud de Lima, 2023.
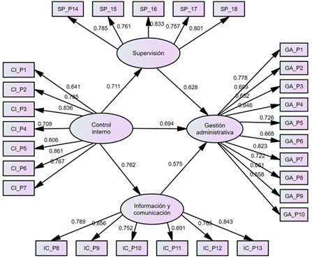
La figura 2 ilustra las interrelaciones de las variables de la investigación. El modelo muestra cómo la gestión administrativa y el control interno se ven afectados por dos variables mediadoras: la supervisión y la información y comunicación. De igual manera, se observa que todas las cargas factoriales de los indicadores deben ser superiores a 0,6. Además, se puede evaluar la fuerza y la dirección de los vínculos utilizando el modelo para estimar los coeficientes de trayectoria estandarizados (β), que son los efectos de cada variable mediadora sobre las demás variables.
En la Tabla 7 se presentan los resultados estadísticos que respaldan las hipótesis planteadas sobre la relación entre el control interno, la supervisión, la información y comunicación, y la gestión administrativa en los centros de salud de Lima, 2023. Para la primera hipótesis, se observó un coeficiente estandarizado positivo (β = 0.694, DS = 0.051, p < 0.05), permitiendo rechazar la Ho y aceptar la HE1, lo que confirma una relación directa positiva entre el control interno y la gestión administrativa. Además, el R² = 0.534 indica una fuerza de relación moderada (53%), con un efecto grande (f² = 0.799).
En la segunda hipótesis, el coeficiente estandarizado positivo (β = 0.711, DS = 0.063, p < 0.05) permitió rechazar la Ho y aceptar la HE2, confirmando una relación directa entre el control interno y la supervisión, con R² = 0.624, lo que representa una fuerza de relación moderada (62%) y un efecto muy grande (f² = 0.832). Respecto a la tercera hipótesis, el coeficiente estandarizado (β = 0.628, DS = 0.059, p < 0.05) respalda la relación directa entre supervisión y gestión administrativa, con R² = 0.561 (51%, moderado) y un efecto grande (f² = 0.761).
Para la cuarta hipótesis, se halló un coeficiente estandarizado positivo (β = 0.762, DS = 0.042, p < 0.05), permitiendo rechazar la Ho y aceptar la HE4, demostrando una relación directa entre el control interno y la información y comunicación. El R² = 0.723 sugiere una fuerza de relación alta (72%) con un efecto moderado (f² = 0.698). Finalmente, en la quinta hipótesis, el coeficiente estandarizado positivo (β = 0.575, DS = 0.068, p < 0.05) permite aceptar la HE5, indicando una relación directa positiva entre la información y comunicación y la gestión administrativa, con R² = 0.518 (52%, moderado) y un efecto moderado (f² = 0.653).
En ese orden de ideas, la hipótesis general y específicas planteadas, han sido aceptadas debido a que el modelo indica una correlación notable entre las variables, siendo el p-valor de estas correlaciones inferior al umbral de 0.05. Cabe destacar, que estas asociaciones son estadísticamente significativas, lo que indica que existe relación directa entre la supervisión, información y comunicación en el control interno y la gestión administrativa de centros de Salud de Lima, 2023 (βt = 0.706).
Según Cordova (2022), las actividades de control interno y el rendimiento de la gestión administrativa tienen efectos directos e indirectos a través del modelo de mediación, el coeficiente estandarizado fue βt = 0.217 y el valor p = 0.000, es decir, significativamente inferior a 0.05. Estos resultados demuestran que el rendimiento de la gestión administrativa se ve afectado indirectamente por variables mediadoras como las acciones de supervisión y los protocolos de información y comunicación cuando se trata de actividades y procedimientos de control interno.
De igual manera, los resultados concuerdan con el estudio de Ramírez-González et al. (2024), quienes afirman que la gestión administrativa está relacionada con el entorno de control y otros factores (evaluación de riesgo, actividades de control, la información y comunicaciones, supervisión), lo que sugiere una asociación muy fuerte. Según el estudio de Escobar-García et al. (2024) la capacidad de la organización para responder rápida y eficazmente a los nuevos acontecimientos y problemas se ve reforzada por la relación equilibrada entre la gestión administrativa y el control interno. Por lo tanto, para garantizar el uso eficaz y eficiente de los recursos, el control interno debe establecer procesos y procedimientos acordes; estas actividades deben ser implementadas y supervisadas por la gestión administrativa, y se complementan de manera fundamental para garantizar la sostenibilidad de una organización.
Además, los resultados guardan relación con el estudio de Acosta (2023), quien coincide que el sistema de control interno influye directamente con la administración de las empresas, lo que demuestra la presencia de un vínculo causal entre las dos variables, subrayando la importancia de cada una de las partes e incluyendo un entorno de control adecuado, una identificación minuciosa de los riesgos, una ejecución eficaz de las actividades de control, la gestión de la información y la comunicación, y una supervisión continua y minuciosa.
Conclusiones
El estudio evidenció relaciones directas y significativas entre las variables analizadas en los centros de salud de Lima, 2023.
Se encontró que la supervisión, información y comunicación influyen significativamente en el control interno y la gestión administrativa (βt = 0.706, p = 0.000). Asimismo, el control interno mostró una relación positiva con la gestión administrativa (β = 0.694, p = 0.000) con una fuerza del 53% y un efecto grande (f² = 0.799), y también con la supervisión (β = 0.711, p = 0.000), evidenciando una fuerza del 62% y un efecto muy grande (f² = 0.832). De manera similar, se observó una relación significativa entre la supervisión y la gestión administrativa (β = 0.628, p = 0.000), con una fuerza del 51% y un efecto grande (f² = 0.761). Además, el control interno se relacionó de manera positiva con la información y comunicación (β = 0.762, p = 0.000), mostrando una fuerza del 72% y un efecto moderado (f² = 0.698). Finalmente, la información y comunicación influyeron positivamente en la gestión administrativa (β = 0.575, p = 0.000), con una fuerza del 52% y un efecto moderado (f² = 0.653).
Estos resultados subrayan la importancia de estas dimensiones en la optimización del control interno y la gestión administrativa.



























