SciELO - Scientific Electronic Library Online

 
vol.5 issue4Leadership 4.0 and endomarketing in job satisfaction in private universitiesLeadership and teacher performance in educational institutions author indexsubject indexarticles search
Home Pagealphabetic serial listing  

Services on Demand

Journal

Article

Indicators

Related links

  • Have no similar articlesSimilars in SciELO

Share


Revista InveCom

On-line version ISSN 2739-0063

Revista InveCom vol.5 no.4 Maracaibo Dec. 2025  Epub June 25, 2025

https://doi.org/10.5281/zenodo.14835269 

Artículos

Disfuncionalidad familiar y su evolución durante la pandemia

Family dysfunction and its evolution during the pandemic

Angee Lissette Cortez Mercado1 
http://orcid.org/0000-0003-1209-8714

Ana María Silva Castillo2 
http://orcid.org/0000-0002-3770-1906

Andrea Mariana Guachamboza Ramírez3 
http://orcid.org/0009-0007-9904-2858

1Universidad César Vallejo. Piura-Perú E-mail: acortezme8@ucvvirtual.edu.pe

2Universidad César Vallejo. Piura-Perú E-mail: anamariasc@cvvirtual.edu.pe

3Universidad César Vallejo. Piura-Perú E-mail: aguachamboza@ucvvirtual.edu.pe


Resumen

Este articulo tiene como objetivo abordar la problemática de la disfuncionalidad familiar, caracterizada por tensiones y falta de comunicación. Además, de resaltar el efecto de la pandemia en las familias, abarcando el incremento del estrés, la depresión y la violencia en el hogar, resaltando la manera en que la pandemia de COVID-19 ha desarrollado este problema debido al incremento de las disputas y también se puede destacar como dicha problemática afecta negativamente el bienestar mental de los integrantes de una familia. La finalidad de esta investigación es buscar y analizar la evolución de la disfuncionalidad familiar y sus consecuencias en el bienestar mental. El articulo enfatiza la importancia de estudiar este fenómeno para comprender sus causas, identificar factores de riesgo y desarrollar estrategias de intervención y apoyo. Para ello, se empleó la metodología de revisión sistemática, la cual permitió revisar estudios sobre la disfuncionalidad familiar en diferentes países latinoamericanos, destacando la alta prevalencia en Ecuador, Colombia, Cuba y México, y la posible relación con la pobreza y la violencia juvenil. La conclusión enfatiza la necesidad de mayor investigación y capacitación para afrontar los desafíos que plantea la disfuncionalidad familiar en el contexto actual.

Palabras clave: Covid-19; disfuncionalidad familiar; salud mental

Abstract

This article aims to address the problem of family dysfunction, characterized by tensions and lack of communication. In addition, it highlights the effect of the pandemic on families, including the increase in stress, depression and violence in the home, highlighting the way in which the COVID-19 pandemic has developed this problem due to the increase in disputes and it can also be highlighted how this problem negatively affects the mental well-being of the members of a family. The purpose of this research is to seek and analyze the evolution of family dysfunction and its consequences on mental well-being. The article emphasizes the importance of studying this phenomenon to understand its causes, identify risk factors, and develop intervention and support strategies. To this end, the systematic review methodology was used, which allowed reviewing studies on family dysfunction in different Latin American countries, highlighting the high prevalence in Ecuador, Colombia, Cuba and Mexico, and the possible relationship with poverty and youth violence. The conclusion emphasizes the need for further research and training to address the challenges posed by family dysfunction in the current context.

Key words: Covid-19; family dysfunction; mental health

Introducción

La disfuncionalidad familiar es un patrón de interacciones problemáticas y no saludables entre los miembros de una familia que se manifiestan mediante la tensión, el conflicto, la falta de comunicación y el apoyo mutuo (Minuchin, 2000). Convirtiéndolo en algo contagioso, que se identifica al inicio internamente con vigor en una familia en particular y más tarde llega a presentarse entre familias, sociedades y naciones

De ese modo, la disfuncionalidad puede presentarse de diversas formas, tales como roles rígidos en la familia, carecer de límites claros, evitar el conflicto o no poseer un liderazgo y una jerarquía adecuados. La familia disfuncional se encuentra representada en diferentes tipos de disfuncionalidad, pero su reflejo no se da únicamente de forma superficial, sino que también tiene un impacto en la salud de quién es la experimentan. El nivel de violencia que un individuo ejerza sobre su cónyuge e hijos no solamente es resultado de la capacitación recibida dentro del seno materno y paterno, sino también recae sobre nuestra cultura social, ya que cuanto más violentamente se comporte, será menos aceptado por otros miembros de la comunidad.

Actualmente, la disfuncionalidad familiar ha evolucionado debido a la pandemia por covid-19, siendo este tema sumamente importante, porque se considera la familia como el eje céntrico de la sociedad y su buen funcionamiento posee efectos directos sobre el bienestar emocional, psicológico y social de sus integrantes. Por otro lado el estrés psicológico y la depresión a consecuencia del confinamiento, han aumentado notablemente en los últimos meses, esto junto con la exposición obligatoria y los problemas económicos, han agudizado sus niveles de sufrimientos sin precedentes. Según evidencian datos recién anunciados por la organización mundial de la salud (OMS, 2020), hubo un aumento del 25% a nivel mundial con relación a incidentes de mentalidad dentro del año en curso.

A partir de esto, se distingue principalmente por la ausencia de vínculo en la comunicación. la desatención y el distanciamiento, provocando una relación escasa o inexistente entre los miembros del núcleo familiar. Esto genera conflictos, límites poco claros y un liderazgo ineficaz que afecta significativamente a todos los integrantes. Según García (2021), al hablar de disfunción en el marco de un sistema familiar, nos referimos a un escenario donde a lo largo del tiempo, la familia no opera de manera adecuada, lo que provoca una disminución en su funcionalidad con ausencia de armonía y cambios en su funcionamiento global. En esta atmósfera, uno o varios miembros manifiestan comportamientos inapropiados que impactan a los demás miembros del sistema, tal como indican (Luna y Maldonado 2021).

De acuerdo con Cuervo Martínez 2021, es fundamental comprender cómo se ha visto afectada la disfuncionalidad familiar y su evolución con el objetivo de desarrollar estrategias de intervención y prevención que fortalezcan a las familias y mitiguen los efectos negativos. Desde la óptica de la psicología, es esencial investigar este asunto y generar conocimientos que promuevan el progreso en la estabilidad mental y familiar.

Con base en lo anterior mencionado, podemos determinar la importancia del análisis desde la necesidad del entorno mismo que se justifica por su relevancia, y que a pesar de que existe una amplia literatura sobre disfuncionalidad familiar, son escasas las investigaciones que hayan abordado específicamente los cambios y desafíos que han enfrentado las familias durante la pandemia. Comprender este fenómeno es crucial para diseñar políticas públicas y programas de apoyo psicológico, que ayuden a las familias a fortalecer sus vínculos y afrontar de manera saludable las dificultades. Además, los hallazgos de esta investigación contribuirán a expandir el campo de la psicología familiar, ofreciendo herramientas valiosas para futuros estudios.

Es imprescindible realizar más investigaciones para entender de manera más profunda los mecanismos subyacentes, los elementos de peligro y los elementos de amparo. La disfuncionalidad familiar se manifiesta de manera diferente en distintas culturas y contextos socioeconómicos, por eso mismo es importante investigar cómo las normas culturales y las condiciones sociales influyen en la dinámica familiar y en los resultados.

Por esta razón, el propósito principal de esta investigación es examinar datos acerca de la progresión de la disfuncionalidad familiar en tiempos de pandemia y sus consecuencias en el bienestar mental de los integrantes de la familia. Por lo tanto, se definen como metas específicas determinar los factores clave vinculados a la disfunción familiar en el marco de la pandemia, analizar las modificaciones en la dinámica y los vínculos familiares debido a las acciones de confinamiento y finalmente el efecto de la disfunción familiar en la salud.

Metodología

La pandemia ha tenido una marca inolvidable en todos los aspectos de la existencia circunscribiendo la dinámica familiar. Las medidas de confinamiento, el estrés económico y el aislamiento social han exacerbado las tensiones existentes en muchos hogares, lo que ha llevado a un aumento de la disfuncionalidad familiar. En este artículo analizaremos la evolución de la disfuncionalidad familiar durante la pandemia

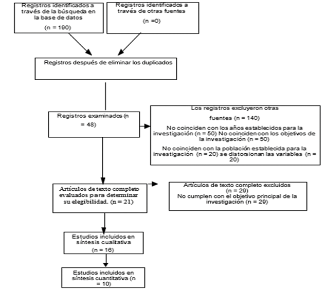
Para este estudio, se empleó la metodología documental de tipo revisión sistemática, donde se empleó el método prisma para la selección de la variable a estudiar. La muestra de los artículos consistió en aproximadamente 87 publicaciones científicas extraídas de bases de datos proporcionadas mediante librería virtual de la Academia Nacional de Loja. Hacia la elección del modelo se emplearon criterios de selección y se aplicó el esquema PRISMA, resultando en más o menos 42 publicaciones científicas. (Pardal-Refoyo. & Pardal-Peláez, 2020)

Se incluyeron estudios cuantitativos y cualitativos que examinaron la disfuncionalidad familiar durante la pandemia de COVID-19, además de incluir estudios que involucraran a familias con niños o adolescentes. También se incluyeron articulos publicados en los últimos 3 años (2021 a 2024) los cuales algunos se encuentran en español y otros en inglés. Asimismo, se llevaron a cabo indagaciones en las bases de datos de Scopus, PubMed, PsycINFO y Google Académic. Finalmente, se exploraron las listas de informes de los estudios seleccionados para identificar estudios adicionales relevantes.

Con esto, se detectaron un total de 120 investigaciones que cumplian los requisitos de selección se examinaron los abstractos de estas investigaciones y se escogieron 45 estudios para su revisión integral las investigaciones escogidas se valoraron en términos de su calidad metodológica y pertinencia al tema de estudio.

Se ejecutó un análisis temático de los datos obtenidos extraídos de las erudiciones electas se identificaron los consecutivos temas principales:

  1. Aumento de los conflictos familiares: La pandemia ha llevado a un incremento en las disputas entre progenitores e hijos, así como entre cónyuges.

  2. Empeoramiento de las dificultades en salud mental: El estrés y la ansiedad vinculados a la pandemia han agravado la degradación de los desórdenes de salud mental en los individuos incluyendo depresión ansiedad y trastornos de estrés postraumático

  3. Dificultades en la comunicación: Las acciones de confinamiento y aislamiento social han complicado la interacción entre los integrantes de la familia, intensificando así las tensiones previas.

  4. Disminución del apoyo social: La pandemia ha limitado el acceso al apoyo social de familiares y amigos, lo que ha dejado a muchas familias sintiéndose aisladas y sin apoyo.

  5. Aumento de la violencia doméstica: La pandemia ha provocado un incremento en la violencia en el hogar en particular hacia las mujeres y los niños.

Los hallazgos de este análisis sistemático corroboran que la pandemia ha generado un efecto negativo considerable en la dinámica familiar. Las medidas de confinamiento, el estrés económico y el aislamiento social han exacerbado las tensiones existentes en muchos hogares, lo que ha llevado a un aumento de la disfuncionalidad familiar. Es crucial resaltar que no todas las familias han atravesado la pandemia de la misma forma, mientras algunas familias lograron adaptarse a las nuevas circunstancias y fortalecer sus lazos, otras dan un aumento significativo de las dificultades

Esto se ha presentado un desafío sin precedentes para las familias de todo el mundo, por eso es importante contar con psicólogos que estén preparados para identificar y abordar la disfuncionalidad familiar y para brindar apoyo a las familias que están luchando.

Figura 1 Diagrama de Prisma 

Resultados y Discusión

De acuerdo con (Minuchin 2000) la familia no es una entidad inmutable, sino que se encuentra en permanente cambio, por lo tanto, la evaluación debe enfocarse en la interacción dentro de la familia y en el marco de la estructura familiar, siendo un aspecto crucial para tener en cuenta, la observación de los límites.

Durante el procedimiento de análisis, se aplicó en las 21 investigaciones, donde es evidente que Colombia es el país con el mayor número de estudios relacionados con la disfuncionalidad familiar, sumando un total de 6 investigaciones, seguido de China, con cuatro publicaciones, México tiene tres y finalmente Perú, Albania, España, Noruega, Cuba, Puerto Rico y Ecuador tienen una única publicación.

Basado en las 21 investigaciones realizadas, aproximadamente el 42,85% está vinculado con la subcategoría cohesión, el 9,52% con la armonía y otro 9,52% con la permeabilidad. Además, cerca del 28,57% se relaciona con la efectividad, el 47,62% con la comunicación, aproximadamente el 23,8% con los roles y casi el 28,57% con la habilidad de adaptación. Se evidencia que tanto las subcategorías como la categoría de depresión mantienen una relación mutua, especialmente en términos de conexión con la comunicación, sentimiento con la permeabilidad y habilidad para adaptarse.

Asimismo, existe un porcentaje donde cerca del 85,71% de los estudios estudiados se concentraron en elementos cuantitativos (afectividad, comunicación, adaptabilidad), mientras que por otro lado también hay un posible porcentaje del 9,52% que se centró en elementos cualitativos (cohesión, armonía y permeabilidad), y también se detectó un enfoque combinado del 4,76%. Se aprecia que las subcategorías esenciales de la disfunción familiar incluyen la cohesión la armonía la permeabilidad la afectividad la comunicación los roles y la adaptabilidad. Estas subcategorías contribuirán a examinar de forma consistente el objetivo y propósito del estudio en el contexto de la disfuncionalidad familiar tema que se abordará a continuación.

Según los hallazgos sobre disfuncionalidad familiar, Ecuador tiene el porcentaje más alto alrededor de 83,03%, seguido por Colombia con un 62,66%, mientras que Cuba cuenta con cerca un 62% y México con casi 55,76%, lo que contrasta con Viteri 2019 en su estudio titulado funcionalidad familiar y apoyo social percibido indicar lo que Viteri determina. Desde la perspectiva de la intervención comunitaria en Ecuador, y de acuerdo con López 2020, un estudio realizado a 100 familias indica que únicamente una minoría percibe disfuncionalidad familiar en un porcentaje superior al 28,8%. Esta discrepancia podría deberse a factores como el tamaño de la muestra, el procedimiento empleado, el tiempo de estudio y la variación en la percepción de la disfuncionalidad familiar, influenciada por aspectos culturales y regionales.

Es esencial una sana coexistencia familiar con un entorno de aceptación y paciencia, sin restricciones que favorezcan la convivencia y la reciprocidad entre los integrantes (Ruiz Cárdenas, 2020). Sin embargo, la diferencia en la percepción entre los jóvenes con trastorno depresivo y sus padres podría utilizarse para determinar el origen de los conflictos desde la perspectiva de la relación parental. Según Chen 2020, la terapia familiar requiere la exploración de problemas sin resolver en el sistema familiar lo que en realidad presenta algunas dificultades.

Por otro lado, Ordóñez 2020, en su investigación acerca de la tipología y disfunción familiar en jóvenes en México, realizada a cerca de 437 familias con jóvenes, con una edad aproximada de 13 años, hallaron que la disfunción parental se manifiesta en un casi 53%, un valor cercano al alcanzado en el estudio. Por otro lado, una investigación llevada a cabo por Higuita Cardona (2020) con 3460 estudiantes de 18 centros educativos, sobre la percepción de funcionalidad familiar en jóvenes inscritos en instituciones educativas públicas en Colombia. Dichos resultados indican que, entre los datos recogidos en comparación con comparación con otras naciones, Perú registra prevalencias de disfunción familiar cercanas al 35%, en Costa Rica al 31,4%, en Colombia al 30,6% y en Brasil al 35%. Estos son valores inferiores a los obtenidos en este estudio. Respecto a las conductas delictivas, se descubrió que México posee un 86,6%, mientras que Cuba tiene un 71,43%, Cuba un 64,5% y Colombia un 62,5%.

Esto coincide con la afirmación de (Leal y Orozco 2022), quienes indican que el comportamiento insociable y delictivo en jóvenes de entre quince y dieciocho años en México está ampliamente presente. De hecho, cerca del 72% de ellos reporta haber cometido algún tipo de acto delictivo. Mientras que, en Perú, los comportamientos delictivos en jóvenes han experimentado un aumento sostenido en años recientes llegando a alcanzar un 80%, lo que representa un problema social que necesita atención inmediata de acuerdo con lo que menciona un estudio realizado por Ccopa (2021). Respecto a la reaparición de disfunciones familiares en adolescentes de países como México, Colombia, Ecuador y Cuba, se sitúa en el 38,66%, con una desviación estándar del 0,17.

En un estudio sobre la disfunción familiar en adolescentes realizado por (Enrique et at. 2021) diversos países como Colombia, China, México, Asia, Perú, Albania, España, Noruega, Cuba, Puerto Rico y Ecuador señalan algunos problemas como: falta de límites, incorrecta distribución de roles, normas poco versátiles, problemas para ajustarse a las variaciones, falta de respeto a las emociones, incapacidad para manifestar.

Ante el actual cuadro económico y distributivo Latinoamérica, relativamente deteriorado, pueden señalarse desde una perspectiva cultural y social algunos rasgos alarmantes que generan privación diferencial de recursos a las familias, las grandes desigualdades sociales están estrechamente relacionadas con el diferente tipo de cuidado que una familia o sociedad proporciona lo que a su vez constituye un círculo vicioso real (2001)

De acuerdo con información del Barómetro de las Américas (2020 Arriagada), que evalúa el grado de violencia por acciones delictivas en la población, se registró una elevada incidencia de violencia juvenil en las Naciones de Venezuela, Perú, México, Ecuador Bolivia y República Dominicana, y a continuación Argentina y Colombia. En medio de las infracciones más comunes se encuentran el hurto de teléfonos móviles y hurto de patrimonio, lo que preocupa que estos tipos de transgresión hayan pasado de ser con arma blanca o con arma de fuego, estos hurtos suelen ser realizados por jóvenes.

Este grupo de delitos tiene una relación directa con los paralelismos de escasez presentes en la colectividad de los jóvenes procesados y decretados, y hace referencia a clases de delitos irrisorio o totalmente impulsivos, a excepción de aquellos cuyo agravante implica el uso de violencia física Morales (2021)

Conclusiones

La pandemia de COVID 19 ha planteado un reto nunca antes visto para las familias a nivel global. Es vital que los expertos en salud mental estén capacitados para detectar y tratar la disfunción familiar, así como para proporcionar respaldo a las familias que están batallando. Es necesario realizar más estudios para entender de manera más profunda los mecanismos ocultos, los factores de riesgo y los elementos de protección asociados a la disfunción familiar en el contexto de la pandemia.

Referencias

American Psychological Association (2020). Publication manual of the American Psychological Association (7th ed.). https://doi.org/10.1037/0000165-000 [ Links ]

Barazorda, B. (2022). Disfuncionalidad familiar y rendimiento académico en la institución educativa primaria N° 54111/COPRODELI - PalTACC, Apurímac, 2021. Repositorio De La Universidad César Vallejo. https://hdl.handle.net/20.500.12692/81773Links ]

Codina, L. (2020). Cómo hacer revisiones bibliográficas tradicionales o sistemáticas utilizando bases de datos académicas de conducto auditivo externo: estudio de una serie de casos. Revista ORL, 11(2), 139-153. https://dx.doi.org/10.14201/orl.22977 [ Links ]

Van Buuren, S., Brand, J. P., Groothuis-Oudshoorn, C. G., & Rubin, D. B. (2020). Fully conditional specification in multivariate imputation.Journal of Statistical Computation and Simulation, 76(12),1049-1064.https://doi.org/10.1080/10629360600810434 [ Links ]

Chong, M., Leal, O., & Maldonado, M. (2022). Disfunción familiar y su afectación en el comportamiento escolar de los niños, Quevedo - ecuador. Redilat, 3(2), https://doi.org/10.56712/latam.v3i2.111 [ Links ]

Gracia, G. (2021). Características de las familias. DSpace Universidad Iberoamericana. http://repositorio.unibe.edu.ec/jspui/handle/123456789/357Links ]

Cuervo, C. (2021). Factores protectores y de riesgo en familias en situación de vulneración de derechos. Revista Científica Arbitrada En Investigaciones De La Salud GESTAR, 4(8). https://journalgestar.org/index.php/gestar/article/view/39Links ]

Enriquez, E. (2021). Disfuncionalidad familiar y depresión del adolescente: una revisión sistemática entre los años 2016-2020, Conrado, 7 (80). http://scielo.sld.cu/scielo.php?script=sci_arttext&pid=S1990-86442021000300277Links ]

López, L. (2020). La funcionalidad familiar como incidencia en el rendimiento escolar de los alumnos de primero bachillerato de la unidad educativa particular internacional puerto de manta. Revista Cognosis, 5, Edición especial. https://revistas.utm.edu.ec/index.php/Cognosis/article/view/2289 Links ]

Luna-Maldonado, L.-M. (2021). Deterioro cognitivo y su asociación con la funcionalidad familiar en pacientes adultos mayores del Centro de Salud Asistencia Social. Repositorio institucional universidad central del ecuador. https://www.dspace.uce.edu.ec/entities/publication/cc6fc765-020d-4be6-9942-05f7c4707aff Links ]

Minuchin, S. (2000). Modelo Terapéutico Estructural, Funcionalidad Familiar. Maestria Terapia Familiar Unam. https://maestriaterapiafamiliarunam.weebly.com/uploads/6/1/1/9/6119077/modelo_estructural_monografia.pdfLinks ]

Ordoñez, O. (2020). Tipología y disfunción familiar en jóvenes en México. National Library. https://pmc.ncbi.nlm.nih.gov/articles/PMC8054295/ Links ]

Organización Mundial De La Salud. (2020). Evolución de la disfuncionalidad familiar. Organización Mundial De La Salud. https://www.who.int/es Links ]

Pardal-Refoyo, J. & Pardal-Peláez, B. (2020). Anotaciones para estructurar una revisión sistemática. Revista ORL, 11(2), 155-160. https://dx.doi.org/10.14201/orl.22882 [ Links ]

Ruiz, R. (2020). Aceptación del entorno familiar fortalecimiento de la coexistencia.. Hola com Lifestyle. https://www.hola.com/estar-bien/20190903148140/claves-fortalecer-relaciones-familiares-gt/Links ]

Viteri, V. (2019). Funcionalidad familiar y apoyo social percibido. Abordaje desde la intervención comunitaria en Ecuador. Revista Venezolana De Gerencia, 24(88 ).https://www.redalyc.org/journal/290/29062051016/29062051016.pdfLinks ]

Recibido: 20 de Diciembre de 2021; Aprobado: 03 de Febrero de 2025; Aprobado: 07 de Febrero de 2025

Creative Commons License Este es un artículo publicado en acceso abierto bajo una licencia Creative Commons